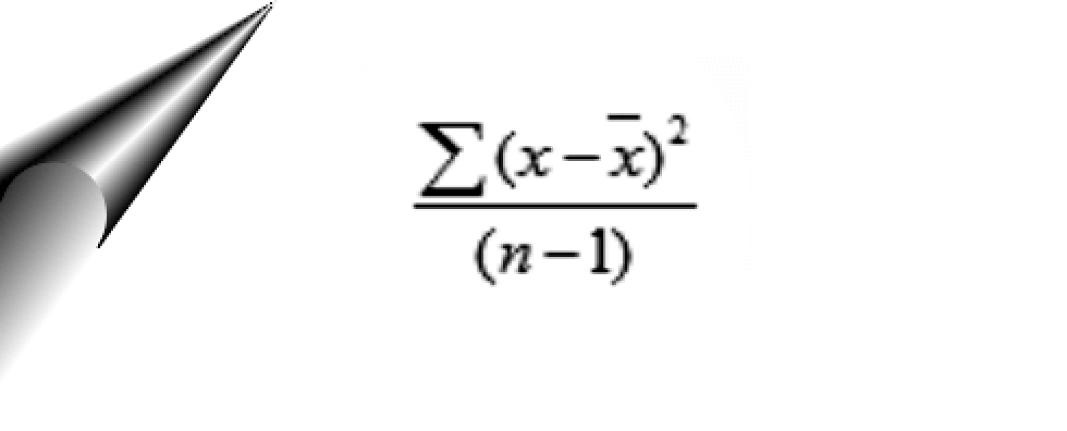
Excel Vara Explained . Calculating variance allows you to determine the spread of numbers in a data set against the mean. The syntax of vara formula is =vara(value1, [value2],.). Variance formula examples show how to use var, var.s, var.p,. It’s a formula which lets you handle data that’s arranged in an array format. See how to find variance in excel based on a sample or population. This is a great tool for data analysts, who can use excel to calculate the variance using functions like var.s and var.p. Vara is very similar to the var function. Unlike the var function, the vara function evaluates text values and logicals in references. You can calculate sample variance in excel using a var, var.s, or vara function. The excel vara function estimates the variance of a sample of data. The vara function [1] is categorized under excel statistical functions. What is the vara function? It will calculate the sample variance of a given set. Just put your the cell range containing your dataset in the formula, like var(b2:b12), and you'll get the calculated variance. Vara stands for varying array.
from www.pinterest.com
This is a great tool for data analysts, who can use excel to calculate the variance using functions like var.s and var.p. It’s a formula which lets you handle data that’s arranged in an array format. Vara is very similar to the var function. It will calculate the sample variance of a given set. What is the vara function? For population variance varp, var.p, or varpa. You can calculate sample variance in excel using a var, var.s, or vara function. Calculating variance allows you to determine the spread of numbers in a data set against the mean. Just put your the cell range containing your dataset in the formula, like var(b2:b12), and you'll get the calculated variance. Variance formula examples show how to use var, var.s, var.p,.
How to Use PRESENT VALUE (PV) Formula in Excel Microsoft excel, Excel
Excel Vara Explained What is the vara function? For population variance varp, var.p, or varpa. The excel vara function estimates the variance of a sample of data. Vara is very similar to the var function. It will calculate the sample variance of a given set. See how to find variance in excel based on a sample or population. You can calculate sample variance in excel using a var, var.s, or vara function. This is a great tool for data analysts, who can use excel to calculate the variance using functions like var.s and var.p. The vara function [1] is categorized under excel statistical functions. Unlike the var function, the vara function evaluates text values and logicals in references. Just put your the cell range containing your dataset in the formula, like var(b2:b12), and you'll get the calculated variance. The syntax of vara formula is =vara(value1, [value2],.). What is the vara function? It’s a formula which lets you handle data that’s arranged in an array format. Calculating variance allows you to determine the spread of numbers in a data set against the mean. Variance formula examples show how to use var, var.s, var.p,.
From www.youtube.com
How to Calculate Value at Risk (VaR) Using Excel Value at Risk Excel Vara Explained The vara function [1] is categorized under excel statistical functions. It’s a formula which lets you handle data that’s arranged in an array format. Vara is very similar to the var function. Variance formula examples show how to use var, var.s, var.p,. For population variance varp, var.p, or varpa. Vara stands for varying array. The excel vara function estimates the. Excel Vara Explained.
From www.youtube.com
How to Use the VARA Function in Excel YouTube Excel Vara Explained For population variance varp, var.p, or varpa. The vara function [1] is categorized under excel statistical functions. See how to find variance in excel based on a sample or population. Just put your the cell range containing your dataset in the formula, like var(b2:b12), and you'll get the calculated variance. The excel vara function estimates the variance of a sample. Excel Vara Explained.
From www.youtube.com
VAR.S vs VAR.P Statistical Function with Example in MS Office Excel Excel Vara Explained The syntax of vara formula is =vara(value1, [value2],.). The vara function [1] is categorized under excel statistical functions. This is a great tool for data analysts, who can use excel to calculate the variance using functions like var.s and var.p. Vara is very similar to the var function. The excel vara function estimates the variance of a sample of data.. Excel Vara Explained.
From www.wallstreetmojo.com
VAR.S Excel Function What Is It, Syntax, Examples, How To Use? Excel Vara Explained Vara stands for varying array. Variance formula examples show how to use var, var.s, var.p,. The vara function [1] is categorized under excel statistical functions. The syntax of vara formula is =vara(value1, [value2],.). Calculating variance allows you to determine the spread of numbers in a data set against the mean. You can calculate sample variance in excel using a var,. Excel Vara Explained.
From spreadsheetplanet.com
How to Calculate Variance in Excel? Excel Vara Explained It will calculate the sample variance of a given set. The syntax of vara formula is =vara(value1, [value2],.). The vara function [1] is categorized under excel statistical functions. Just put your the cell range containing your dataset in the formula, like var(b2:b12), and you'll get the calculated variance. For population variance varp, var.p, or varpa. What is the vara function?. Excel Vara Explained.
From blog.enterprisedna.co
What is Microsoft Excel? A Detailed Overview Master Data Skills + AI Excel Vara Explained You can calculate sample variance in excel using a var, var.s, or vara function. Just put your the cell range containing your dataset in the formula, like var(b2:b12), and you'll get the calculated variance. What is the vara function? Unlike the var function, the vara function evaluates text values and logicals in references. See how to find variance in excel. Excel Vara Explained.
From www.youtube.com
【Excel関数上級編】Excelのデータから分散を求めるVARA(バリアンス・エー)関数 YouTube Excel Vara Explained It will calculate the sample variance of a given set. Calculating variance allows you to determine the spread of numbers in a data set against the mean. For population variance varp, var.p, or varpa. Unlike the var function, the vara function evaluates text values and logicals in references. It’s a formula which lets you handle data that’s arranged in an. Excel Vara Explained.
From www.tudoexcel.com.br
Função VARA no Excel, para calcular variância Tudo Excel Excel Vara Explained See how to find variance in excel based on a sample or population. It will calculate the sample variance of a given set. For population variance varp, var.p, or varpa. Just put your the cell range containing your dataset in the formula, like var(b2:b12), and you'll get the calculated variance. The vara function [1] is categorized under excel statistical functions.. Excel Vara Explained.
From www.youtube.com
Microsoft Excel Tutorial Vara Formula YouTube Excel Vara Explained This is a great tool for data analysts, who can use excel to calculate the variance using functions like var.s and var.p. Unlike the var function, the vara function evaluates text values and logicals in references. It’s a formula which lets you handle data that’s arranged in an array format. The vara function [1] is categorized under excel statistical functions.. Excel Vara Explained.
From www.pinterest.com
How to Use PRESENT VALUE (PV) Formula in Excel Microsoft excel, Excel Excel Vara Explained It’s a formula which lets you handle data that’s arranged in an array format. It will calculate the sample variance of a given set. The excel vara function estimates the variance of a sample of data. The syntax of vara formula is =vara(value1, [value2],.). Vara is very similar to the var function. Calculating variance allows you to determine the spread. Excel Vara Explained.
From www.youtube.com
VARA VARPA EXCEL STATISTICAL FUNCTION 30.0 YouTube Excel Vara Explained Vara is very similar to the var function. What is the vara function? It will calculate the sample variance of a given set. It’s a formula which lets you handle data that’s arranged in an array format. Calculating variance allows you to determine the spread of numbers in a data set against the mean. See how to find variance in. Excel Vara Explained.
From www.pinterest.cl
Excel Variance Charts Making Awesome Actual vs Target Or Budget Graphs Excel Vara Explained The excel vara function estimates the variance of a sample of data. You can calculate sample variance in excel using a var, var.s, or vara function. For population variance varp, var.p, or varpa. See how to find variance in excel based on a sample or population. It will calculate the sample variance of a given set. Vara is very similar. Excel Vara Explained.
From www.youtube.com
Excel VARA Function How to use VARA Function YouTube Excel Vara Explained You can calculate sample variance in excel using a var, var.s, or vara function. See how to find variance in excel based on a sample or population. It’s a formula which lets you handle data that’s arranged in an array format. The vara function [1] is categorized under excel statistical functions. The excel vara function estimates the variance of a. Excel Vara Explained.
From excel-dashboards.com
VARA Master Google Sheets Formula Now! Excel Vara Explained Just put your the cell range containing your dataset in the formula, like var(b2:b12), and you'll get the calculated variance. Variance formula examples show how to use var, var.s, var.p,. The excel vara function estimates the variance of a sample of data. See how to find variance in excel based on a sample or population. What is the vara function?. Excel Vara Explained.
From exceljet.net
Excel VAR.S function Exceljet Excel Vara Explained Vara is very similar to the var function. The excel vara function estimates the variance of a sample of data. It will calculate the sample variance of a given set. Calculating variance allows you to determine the spread of numbers in a data set against the mean. This is a great tool for data analysts, who can use excel to. Excel Vara Explained.
From www.itechguides.com
What is Excel? Microsoft Excel Explained Excel Vara Explained For population variance varp, var.p, or varpa. It will calculate the sample variance of a given set. Variance formula examples show how to use var, var.s, var.p,. Calculating variance allows you to determine the spread of numbers in a data set against the mean. This is a great tool for data analysts, who can use excel to calculate the variance. Excel Vara Explained.
From www.youtube.com
VAR CALCULATION ON EXCEL YouTube Excel Vara Explained Vara stands for varying array. Just put your the cell range containing your dataset in the formula, like var(b2:b12), and you'll get the calculated variance. See how to find variance in excel based on a sample or population. It will calculate the sample variance of a given set. For population variance varp, var.p, or varpa. Unlike the var function, the. Excel Vara Explained.
From www.youtube.com
Value at Risk or VaR, a tool to master market risk, explained in clear Excel Vara Explained Vara is very similar to the var function. For population variance varp, var.p, or varpa. The syntax of vara formula is =vara(value1, [value2],.). Calculating variance allows you to determine the spread of numbers in a data set against the mean. It will calculate the sample variance of a given set. See how to find variance in excel based on a. Excel Vara Explained.
From statologos.com
VAR.P vs. VAR.S en Excel ¿Cuál es la diferencia? Statologos® 2024 Excel Vara Explained This is a great tool for data analysts, who can use excel to calculate the variance using functions like var.s and var.p. It will calculate the sample variance of a given set. The vara function [1] is categorized under excel statistical functions. For population variance varp, var.p, or varpa. See how to find variance in excel based on a sample. Excel Vara Explained.
From www.youtube.com
Función VARA Excel 2013 438 de 448 HD YouTube Excel Vara Explained The excel vara function estimates the variance of a sample of data. Calculating variance allows you to determine the spread of numbers in a data set against the mean. It will calculate the sample variance of a given set. The vara function [1] is categorized under excel statistical functions. For population variance varp, var.p, or varpa. Vara is very similar. Excel Vara Explained.
From www.youtube.com
Excel VARA Function YouTube Excel Vara Explained What is the vara function? Unlike the var function, the vara function evaluates text values and logicals in references. The excel vara function estimates the variance of a sample of data. Just put your the cell range containing your dataset in the formula, like var(b2:b12), and you'll get the calculated variance. Vara is very similar to the var function. See. Excel Vara Explained.
From www.youtube.com
How to use Var.s (Variance) within Subtotal Function in MS Excel Excel Vara Explained Unlike the var function, the vara function evaluates text values and logicals in references. You can calculate sample variance in excel using a var, var.s, or vara function. This is a great tool for data analysts, who can use excel to calculate the variance using functions like var.s and var.p. Calculating variance allows you to determine the spread of numbers. Excel Vara Explained.
From guidantech.com
How to Calculate Variance in Microsoft Excel Guidantech Excel Vara Explained Vara is very similar to the var function. Unlike the var function, the vara function evaluates text values and logicals in references. Vara stands for varying array. What is the vara function? The excel vara function estimates the variance of a sample of data. You can calculate sample variance in excel using a var, var.s, or vara function. See how. Excel Vara Explained.
From www.youtube.com
Value at Risk (VaR) Explained! YouTube Excel Vara Explained See how to find variance in excel based on a sample or population. The syntax of vara formula is =vara(value1, [value2],.). Unlike the var function, the vara function evaluates text values and logicals in references. This is a great tool for data analysts, who can use excel to calculate the variance using functions like var.s and var.p. It’s a formula. Excel Vara Explained.
From www.tudoexcel.com.br
Função VARA no Excel, para calcular variância Tudo Excel Excel Vara Explained What is the vara function? Vara is very similar to the var function. You can calculate sample variance in excel using a var, var.s, or vara function. This is a great tool for data analysts, who can use excel to calculate the variance using functions like var.s and var.p. Calculating variance allows you to determine the spread of numbers in. Excel Vara Explained.
From vidoport.com
Excel ‘de kaç hücre var? 5 Excel Kısayolu. Excel Vara Explained Calculating variance allows you to determine the spread of numbers in a data set against the mean. Vara is very similar to the var function. The syntax of vara formula is =vara(value1, [value2],.). For population variance varp, var.p, or varpa. The excel vara function estimates the variance of a sample of data. Vara stands for varying array. What is the. Excel Vara Explained.
From exceljet.net
Excel VARA function Exceljet Excel Vara Explained What is the vara function? The vara function [1] is categorized under excel statistical functions. Calculating variance allows you to determine the spread of numbers in a data set against the mean. Unlike the var function, the vara function evaluates text values and logicals in references. Just put your the cell range containing your dataset in the formula, like var(b2:b12),. Excel Vara Explained.
From excel-dashboards.com
Excel Tutorial What Is Var In Excel Excel Vara Explained See how to find variance in excel based on a sample or population. Calculating variance allows you to determine the spread of numbers in a data set against the mean. It will calculate the sample variance of a given set. For population variance varp, var.p, or varpa. Variance formula examples show how to use var, var.s, var.p,. What is the. Excel Vara Explained.
From www.youtube.com
Excel Rumus Var,Vara,Varp YouTube Excel Vara Explained Variance formula examples show how to use var, var.s, var.p,. It’s a formula which lets you handle data that’s arranged in an array format. Vara is very similar to the var function. The syntax of vara formula is =vara(value1, [value2],.). Just put your the cell range containing your dataset in the formula, like var(b2:b12), and you'll get the calculated variance.. Excel Vara Explained.
From www.youtube.com
Excel VAR Function How to use VAR Function YouTube Excel Vara Explained Unlike the var function, the vara function evaluates text values and logicals in references. Vara stands for varying array. Variance formula examples show how to use var, var.s, var.p,. What is the vara function? It’s a formula which lets you handle data that’s arranged in an array format. For population variance varp, var.p, or varpa. It will calculate the sample. Excel Vara Explained.
From www.vrogue.co
Var Explained What Is It And How Does It Work The Pfs vrogue.co Excel Vara Explained For population variance varp, var.p, or varpa. Vara is very similar to the var function. You can calculate sample variance in excel using a var, var.s, or vara function. Calculating variance allows you to determine the spread of numbers in a data set against the mean. Vara stands for varying array. The syntax of vara formula is =vara(value1, [value2],.). Unlike. Excel Vara Explained.
From www.youtube.com
Función VAR Excel 2013 435 de 448 YouTube Excel Vara Explained This is a great tool for data analysts, who can use excel to calculate the variance using functions like var.s and var.p. Vara stands for varying array. See how to find variance in excel based on a sample or population. The vara function [1] is categorized under excel statistical functions. Variance formula examples show how to use var, var.s, var.p,.. Excel Vara Explained.
From www.itechguides.com
How to Calculate Variance in Excel Itechguides Excel Vara Explained It’s a formula which lets you handle data that’s arranged in an array format. For population variance varp, var.p, or varpa. Vara is very similar to the var function. This is a great tool for data analysts, who can use excel to calculate the variance using functions like var.s and var.p. The excel vara function estimates the variance of a. Excel Vara Explained.
From limoseo.vn
Cách sử dụng hàm var trong excel ước tính phương sai Excel Vara Explained Vara stands for varying array. The vara function [1] is categorized under excel statistical functions. For population variance varp, var.p, or varpa. Unlike the var function, the vara function evaluates text values and logicals in references. This is a great tool for data analysts, who can use excel to calculate the variance using functions like var.s and var.p. Vara is. Excel Vara Explained.
From www.youtube.com
VAR.S Statistical Function with Examples in MS Office Excel Spreadsheet Excel Vara Explained It will calculate the sample variance of a given set. Variance formula examples show how to use var, var.s, var.p,. What is the vara function? For population variance varp, var.p, or varpa. See how to find variance in excel based on a sample or population. Just put your the cell range containing your dataset in the formula, like var(b2:b12), and. Excel Vara Explained.