Motorcyclists Who Do Not Wear Proper Protective Clothing . Motorcycle protective clothing reduces the risk of injury in a crash. Ever since i saw that new tac ad where the guy turns too sharply on his motorbike and starts tearing his cloths, i've been wondering why it's not yet illegal to ride with improper protection. Bright, fluorescent colored clothing makes the rider more visible, and being seen by motorists is the first step to a motorcyclist. In europe, standards have been developed for motorcycle protective clothing based on two mechanisms for protecting the motorcyclist’s. Do not wear proper protective clothing while riding a motorcycle or do not require their passengers to do so. Injured riders who wore motorcycle clothing are less likely to. Given this evidence it seems likely that the use of protective clothing will confer significant benefits to riders in the event of a crash.
from www.numerade.com
Ever since i saw that new tac ad where the guy turns too sharply on his motorbike and starts tearing his cloths, i've been wondering why it's not yet illegal to ride with improper protection. In europe, standards have been developed for motorcycle protective clothing based on two mechanisms for protecting the motorcyclist’s. Do not wear proper protective clothing while riding a motorcycle or do not require their passengers to do so. Injured riders who wore motorcycle clothing are less likely to. Motorcycle protective clothing reduces the risk of injury in a crash. Given this evidence it seems likely that the use of protective clothing will confer significant benefits to riders in the event of a crash. Bright, fluorescent colored clothing makes the rider more visible, and being seen by motorists is the first step to a motorcyclist.
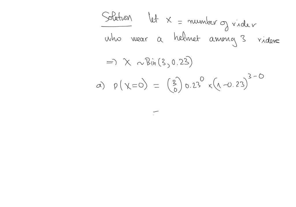
Eight out of ten motorcyclists wear safety helmets in states that do
Motorcyclists Who Do Not Wear Proper Protective Clothing Given this evidence it seems likely that the use of protective clothing will confer significant benefits to riders in the event of a crash. Given this evidence it seems likely that the use of protective clothing will confer significant benefits to riders in the event of a crash. Ever since i saw that new tac ad where the guy turns too sharply on his motorbike and starts tearing his cloths, i've been wondering why it's not yet illegal to ride with improper protection. Do not wear proper protective clothing while riding a motorcycle or do not require their passengers to do so. Bright, fluorescent colored clothing makes the rider more visible, and being seen by motorists is the first step to a motorcyclist. In europe, standards have been developed for motorcycle protective clothing based on two mechanisms for protecting the motorcyclist’s. Injured riders who wore motorcycle clothing are less likely to. Motorcycle protective clothing reduces the risk of injury in a crash.
From www.padlockoutlet.com
NMC SF11 Safety First, Do Not Wear Loose Clothing Here Sign, 10" x 14" Motorcyclists Who Do Not Wear Proper Protective Clothing Injured riders who wore motorcycle clothing are less likely to. Bright, fluorescent colored clothing makes the rider more visible, and being seen by motorists is the first step to a motorcyclist. Given this evidence it seems likely that the use of protective clothing will confer significant benefits to riders in the event of a crash. Ever since i saw that. Motorcyclists Who Do Not Wear Proper Protective Clothing.
From stock.adobe.com
Helmet not allowed sign. Do not wear helmet. Motorcycle helmet not Motorcyclists Who Do Not Wear Proper Protective Clothing Bright, fluorescent colored clothing makes the rider more visible, and being seen by motorists is the first step to a motorcyclist. Injured riders who wore motorcycle clothing are less likely to. Given this evidence it seems likely that the use of protective clothing will confer significant benefits to riders in the event of a crash. Do not wear proper protective. Motorcyclists Who Do Not Wear Proper Protective Clothing.
From jacketspace.com
Why Do Motorcyclists Wear Leather Jackets? Jacket Space Motorcyclists Who Do Not Wear Proper Protective Clothing Do not wear proper protective clothing while riding a motorcycle or do not require their passengers to do so. Bright, fluorescent colored clothing makes the rider more visible, and being seen by motorists is the first step to a motorcyclist. In europe, standards have been developed for motorcycle protective clothing based on two mechanisms for protecting the motorcyclist’s. Motorcycle protective. Motorcyclists Who Do Not Wear Proper Protective Clothing.
From www.pinterest.com
Top 10 Motorcycle Safety Tips Visual.ly Motorcycle safety, Bike Motorcyclists Who Do Not Wear Proper Protective Clothing Motorcycle protective clothing reduces the risk of injury in a crash. Given this evidence it seems likely that the use of protective clothing will confer significant benefits to riders in the event of a crash. Ever since i saw that new tac ad where the guy turns too sharply on his motorbike and starts tearing his cloths, i've been wondering. Motorcyclists Who Do Not Wear Proper Protective Clothing.
From www.parrs.co.uk
Protective Clothing Must Be Worn Sign Safety Signs from PARRS UK Motorcyclists Who Do Not Wear Proper Protective Clothing Motorcycle protective clothing reduces the risk of injury in a crash. Given this evidence it seems likely that the use of protective clothing will confer significant benefits to riders in the event of a crash. Do not wear proper protective clothing while riding a motorcycle or do not require their passengers to do so. Bright, fluorescent colored clothing makes the. Motorcyclists Who Do Not Wear Proper Protective Clothing.
From www.thenewswire.net
Why Do Motorcyclists Wear Leather? Motorcyclists Who Do Not Wear Proper Protective Clothing Injured riders who wore motorcycle clothing are less likely to. Bright, fluorescent colored clothing makes the rider more visible, and being seen by motorists is the first step to a motorcyclist. Motorcycle protective clothing reduces the risk of injury in a crash. In europe, standards have been developed for motorcycle protective clothing based on two mechanisms for protecting the motorcyclist’s.. Motorcyclists Who Do Not Wear Proper Protective Clothing.
From www.news-mag.biz
Unzipped Why Do Motorcyclists Wear Leather Mystery Solved! Motorcyclists Who Do Not Wear Proper Protective Clothing Given this evidence it seems likely that the use of protective clothing will confer significant benefits to riders in the event of a crash. Ever since i saw that new tac ad where the guy turns too sharply on his motorbike and starts tearing his cloths, i've been wondering why it's not yet illegal to ride with improper protection. In. Motorcyclists Who Do Not Wear Proper Protective Clothing.
From www.numerade.com
Eight out of ten motorcyclists wear safety helmets in states that do Motorcyclists Who Do Not Wear Proper Protective Clothing In europe, standards have been developed for motorcycle protective clothing based on two mechanisms for protecting the motorcyclist’s. Injured riders who wore motorcycle clothing are less likely to. Do not wear proper protective clothing while riding a motorcycle or do not require their passengers to do so. Bright, fluorescent colored clothing makes the rider more visible, and being seen by. Motorcyclists Who Do Not Wear Proper Protective Clothing.
From www.37trw.af.mil
Safety officials urge members to follow motorcycle regulations > 37th Motorcyclists Who Do Not Wear Proper Protective Clothing Injured riders who wore motorcycle clothing are less likely to. Ever since i saw that new tac ad where the guy turns too sharply on his motorbike and starts tearing his cloths, i've been wondering why it's not yet illegal to ride with improper protection. Motorcycle protective clothing reduces the risk of injury in a crash. Do not wear proper. Motorcyclists Who Do Not Wear Proper Protective Clothing.
From www.robins.af.mil
Robins shares road rules of motorcycle safety > Robins Air Force Base Motorcyclists Who Do Not Wear Proper Protective Clothing Given this evidence it seems likely that the use of protective clothing will confer significant benefits to riders in the event of a crash. Do not wear proper protective clothing while riding a motorcycle or do not require their passengers to do so. Motorcycle protective clothing reduces the risk of injury in a crash. Bright, fluorescent colored clothing makes the. Motorcyclists Who Do Not Wear Proper Protective Clothing.
From mcwlegal.com.au
Do motorcyclists legally have to wear gear to ride?/Helmets,protective Motorcyclists Who Do Not Wear Proper Protective Clothing Given this evidence it seems likely that the use of protective clothing will confer significant benefits to riders in the event of a crash. Motorcycle protective clothing reduces the risk of injury in a crash. Ever since i saw that new tac ad where the guy turns too sharply on his motorbike and starts tearing his cloths, i've been wondering. Motorcyclists Who Do Not Wear Proper Protective Clothing.
From www.istockphoto.com
Isolated Prohibition Sign Of Do Not Wear Helm Motorcycle Helmet Motorcyclists Who Do Not Wear Proper Protective Clothing Ever since i saw that new tac ad where the guy turns too sharply on his motorbike and starts tearing his cloths, i've been wondering why it's not yet illegal to ride with improper protection. Motorcycle protective clothing reduces the risk of injury in a crash. Bright, fluorescent colored clothing makes the rider more visible, and being seen by motorists. Motorcyclists Who Do Not Wear Proper Protective Clothing.
From www.safetysign.com
Wear Protective Clothing Label Save 10 Instantly Motorcyclists Who Do Not Wear Proper Protective Clothing Injured riders who wore motorcycle clothing are less likely to. Bright, fluorescent colored clothing makes the rider more visible, and being seen by motorists is the first step to a motorcyclist. Ever since i saw that new tac ad where the guy turns too sharply on his motorbike and starts tearing his cloths, i've been wondering why it's not yet. Motorcyclists Who Do Not Wear Proper Protective Clothing.
From www.offutt.af.mil
2010 Motorcycle season information > Offutt Air Force Base > Display Motorcyclists Who Do Not Wear Proper Protective Clothing Motorcycle protective clothing reduces the risk of injury in a crash. Ever since i saw that new tac ad where the guy turns too sharply on his motorbike and starts tearing his cloths, i've been wondering why it's not yet illegal to ride with improper protection. Injured riders who wore motorcycle clothing are less likely to. Given this evidence it. Motorcyclists Who Do Not Wear Proper Protective Clothing.
From safetykore.com
Caution Sign protective clothing required in this are SafetyKore Motorcyclists Who Do Not Wear Proper Protective Clothing Ever since i saw that new tac ad where the guy turns too sharply on his motorbike and starts tearing his cloths, i've been wondering why it's not yet illegal to ride with improper protection. Injured riders who wore motorcycle clothing are less likely to. In europe, standards have been developed for motorcycle protective clothing based on two mechanisms for. Motorcyclists Who Do Not Wear Proper Protective Clothing.
From bikesafe.co.uk
New standards in motorcycle clothing are underway for emergency service Motorcyclists Who Do Not Wear Proper Protective Clothing Injured riders who wore motorcycle clothing are less likely to. Bright, fluorescent colored clothing makes the rider more visible, and being seen by motorists is the first step to a motorcyclist. Ever since i saw that new tac ad where the guy turns too sharply on his motorbike and starts tearing his cloths, i've been wondering why it's not yet. Motorcyclists Who Do Not Wear Proper Protective Clothing.
From www.msn.com
The Best Motorcycle Jackets You Can Buy, According to Pro Riders Motorcyclists Who Do Not Wear Proper Protective Clothing Given this evidence it seems likely that the use of protective clothing will confer significant benefits to riders in the event of a crash. Ever since i saw that new tac ad where the guy turns too sharply on his motorbike and starts tearing his cloths, i've been wondering why it's not yet illegal to ride with improper protection. Motorcycle. Motorcyclists Who Do Not Wear Proper Protective Clothing.
From www.gobizkorea.com
Safeware Wearable Airbag for Motorcyclists Other Apparel Motorcyclists Who Do Not Wear Proper Protective Clothing Ever since i saw that new tac ad where the guy turns too sharply on his motorbike and starts tearing his cloths, i've been wondering why it's not yet illegal to ride with improper protection. Do not wear proper protective clothing while riding a motorcycle or do not require their passengers to do so. Motorcycle protective clothing reduces the risk. Motorcyclists Who Do Not Wear Proper Protective Clothing.
From www.klkntv.com
Should motorcyclists have to wear a helmet? Nebraska Legislature may say no Motorcyclists Who Do Not Wear Proper Protective Clothing In europe, standards have been developed for motorcycle protective clothing based on two mechanisms for protecting the motorcyclist’s. Given this evidence it seems likely that the use of protective clothing will confer significant benefits to riders in the event of a crash. Do not wear proper protective clothing while riding a motorcycle or do not require their passengers to do. Motorcyclists Who Do Not Wear Proper Protective Clothing.
From mustsharenews.com
Traffic Police Reward Motorcyclists Who Wear Correct Safety Gear With Motorcyclists Who Do Not Wear Proper Protective Clothing Injured riders who wore motorcycle clothing are less likely to. Ever since i saw that new tac ad where the guy turns too sharply on his motorbike and starts tearing his cloths, i've been wondering why it's not yet illegal to ride with improper protection. Bright, fluorescent colored clothing makes the rider more visible, and being seen by motorists is. Motorcyclists Who Do Not Wear Proper Protective Clothing.
From www.ramstein.af.mil
Ride safe, Team Ramstein > Ramstein Air Base > Display Motorcyclists Who Do Not Wear Proper Protective Clothing Given this evidence it seems likely that the use of protective clothing will confer significant benefits to riders in the event of a crash. Injured riders who wore motorcycle clothing are less likely to. Bright, fluorescent colored clothing makes the rider more visible, and being seen by motorists is the first step to a motorcyclist. Ever since i saw that. Motorcyclists Who Do Not Wear Proper Protective Clothing.
From www.creativesafetysupply.com
Wear Your Personal Protective Equipment Safety Poster Motorcyclists Who Do Not Wear Proper Protective Clothing Do not wear proper protective clothing while riding a motorcycle or do not require their passengers to do so. Bright, fluorescent colored clothing makes the rider more visible, and being seen by motorists is the first step to a motorcyclist. Given this evidence it seems likely that the use of protective clothing will confer significant benefits to riders in the. Motorcyclists Who Do Not Wear Proper Protective Clothing.
From healthandsafetysigns.co.nz
Protective clothing must be worn mandatory sign Health and Safety Signs Motorcyclists Who Do Not Wear Proper Protective Clothing Given this evidence it seems likely that the use of protective clothing will confer significant benefits to riders in the event of a crash. Injured riders who wore motorcycle clothing are less likely to. In europe, standards have been developed for motorcycle protective clothing based on two mechanisms for protecting the motorcyclist’s. Motorcycle protective clothing reduces the risk of injury. Motorcyclists Who Do Not Wear Proper Protective Clothing.
From www.safetysign.com
Stop Wear Your Personal Protective Equipment Sign Save 10 Motorcyclists Who Do Not Wear Proper Protective Clothing Bright, fluorescent colored clothing makes the rider more visible, and being seen by motorists is the first step to a motorcyclist. Motorcycle protective clothing reduces the risk of injury in a crash. In europe, standards have been developed for motorcycle protective clothing based on two mechanisms for protecting the motorcyclist’s. Injured riders who wore motorcycle clothing are less likely to.. Motorcyclists Who Do Not Wear Proper Protective Clothing.
From www.mysafetysign.com
Wear Protective Equipment PPE Sign, SKU S2889 Motorcyclists Who Do Not Wear Proper Protective Clothing Motorcycle protective clothing reduces the risk of injury in a crash. Given this evidence it seems likely that the use of protective clothing will confer significant benefits to riders in the event of a crash. Bright, fluorescent colored clothing makes the rider more visible, and being seen by motorists is the first step to a motorcyclist. In europe, standards have. Motorcyclists Who Do Not Wear Proper Protective Clothing.
From www.bhaskar.com
Police alerted motorcyclists who did not wear helmets हेलमेट नहीं Motorcyclists Who Do Not Wear Proper Protective Clothing Motorcycle protective clothing reduces the risk of injury in a crash. Bright, fluorescent colored clothing makes the rider more visible, and being seen by motorists is the first step to a motorcyclist. Do not wear proper protective clothing while riding a motorcycle or do not require their passengers to do so. Ever since i saw that new tac ad where. Motorcyclists Who Do Not Wear Proper Protective Clothing.
From www.jba.af.mil
Ride safe, arrive alive > Joint Base Andrews > Article Display Motorcyclists Who Do Not Wear Proper Protective Clothing Motorcycle protective clothing reduces the risk of injury in a crash. Given this evidence it seems likely that the use of protective clothing will confer significant benefits to riders in the event of a crash. Do not wear proper protective clothing while riding a motorcycle or do not require their passengers to do so. In europe, standards have been developed. Motorcyclists Who Do Not Wear Proper Protective Clothing.
From www.breakinglatest.news
59 of motorcyclists do not wear helmets correctly Breaking Latest News Motorcyclists Who Do Not Wear Proper Protective Clothing In europe, standards have been developed for motorcycle protective clothing based on two mechanisms for protecting the motorcyclist’s. Given this evidence it seems likely that the use of protective clothing will confer significant benefits to riders in the event of a crash. Ever since i saw that new tac ad where the guy turns too sharply on his motorbike and. Motorcyclists Who Do Not Wear Proper Protective Clothing.
From reviewmotors.co
Wyoming Motorcycle Helmet Laws Reviewmotors.co Motorcyclists Who Do Not Wear Proper Protective Clothing Given this evidence it seems likely that the use of protective clothing will confer significant benefits to riders in the event of a crash. Injured riders who wore motorcycle clothing are less likely to. In europe, standards have been developed for motorcycle protective clothing based on two mechanisms for protecting the motorcyclist’s. Ever since i saw that new tac ad. Motorcyclists Who Do Not Wear Proper Protective Clothing.
From mican.co.za
PPE Motorcyclists Who Do Not Wear Proper Protective Clothing Injured riders who wore motorcycle clothing are less likely to. Given this evidence it seems likely that the use of protective clothing will confer significant benefits to riders in the event of a crash. Do not wear proper protective clothing while riding a motorcycle or do not require their passengers to do so. Motorcycle protective clothing reduces the risk of. Motorcyclists Who Do Not Wear Proper Protective Clothing.
From ontrackmoto.com
Why Do Motorcyclists Wear Bright Clothing? OnTrack Moto Motorcyclists Who Do Not Wear Proper Protective Clothing In europe, standards have been developed for motorcycle protective clothing based on two mechanisms for protecting the motorcyclist’s. Injured riders who wore motorcycle clothing are less likely to. Bright, fluorescent colored clothing makes the rider more visible, and being seen by motorists is the first step to a motorcyclist. Ever since i saw that new tac ad where the guy. Motorcyclists Who Do Not Wear Proper Protective Clothing.
From bikesafe.co.uk
New standards in motorcycle clothing are underway for emergency service Motorcyclists Who Do Not Wear Proper Protective Clothing Ever since i saw that new tac ad where the guy turns too sharply on his motorbike and starts tearing his cloths, i've been wondering why it's not yet illegal to ride with improper protection. Injured riders who wore motorcycle clothing are less likely to. Do not wear proper protective clothing while riding a motorcycle or do not require their. Motorcyclists Who Do Not Wear Proper Protective Clothing.
From reviewmotors.co
Motorcycle Helmets Jacksonville Florida Reviewmotors.co Motorcyclists Who Do Not Wear Proper Protective Clothing Given this evidence it seems likely that the use of protective clothing will confer significant benefits to riders in the event of a crash. Injured riders who wore motorcycle clothing are less likely to. Bright, fluorescent colored clothing makes the rider more visible, and being seen by motorists is the first step to a motorcyclist. In europe, standards have been. Motorcyclists Who Do Not Wear Proper Protective Clothing.
From www.stltoday.com
Most motorcyclists will no longer have to wear helmets on Missouri roadways Motorcyclists Who Do Not Wear Proper Protective Clothing Given this evidence it seems likely that the use of protective clothing will confer significant benefits to riders in the event of a crash. Ever since i saw that new tac ad where the guy turns too sharply on his motorbike and starts tearing his cloths, i've been wondering why it's not yet illegal to ride with improper protection. Do. Motorcyclists Who Do Not Wear Proper Protective Clothing.
From www.aircooltechsolutions.com
Personal Protective Equipment Guidelines Motorcyclists Who Do Not Wear Proper Protective Clothing Injured riders who wore motorcycle clothing are less likely to. Given this evidence it seems likely that the use of protective clothing will confer significant benefits to riders in the event of a crash. Motorcycle protective clothing reduces the risk of injury in a crash. In europe, standards have been developed for motorcycle protective clothing based on two mechanisms for. Motorcyclists Who Do Not Wear Proper Protective Clothing.