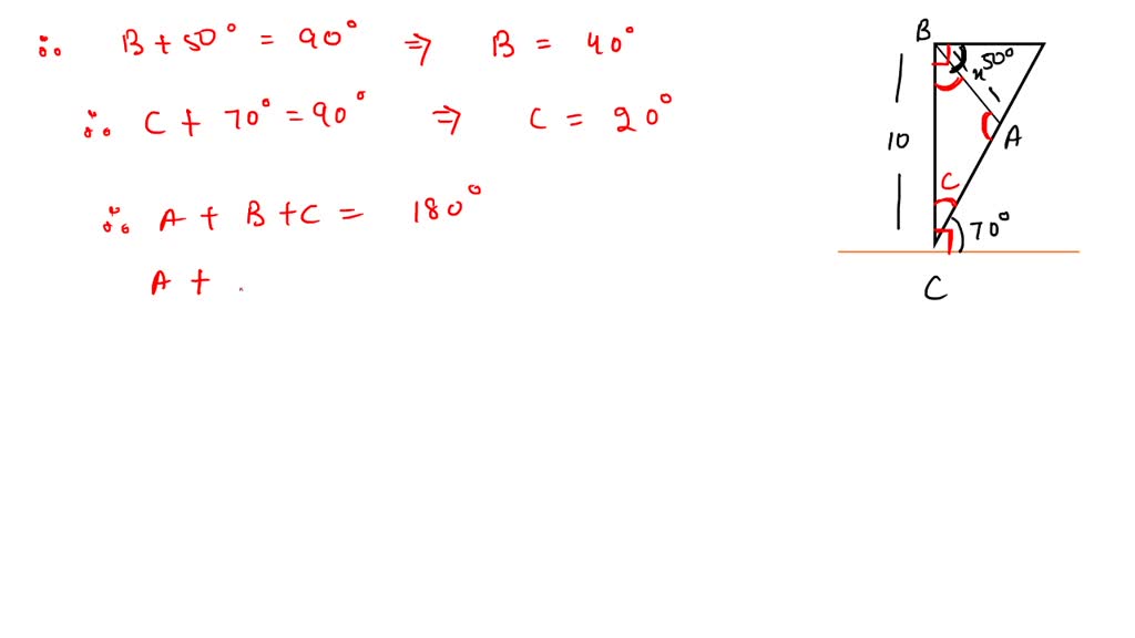
A Retractable Awning Lowers At An Angle Of 50 . a retractable awning above a patio door lowers at an angle of 50 ∘ from the exterior wall at a height of 10 feet above the ground (see figure). No direct sunlight is to enter the door when the. a retractable awning above a patio lowers at an angle of 50∘ from the exterior wall at a height of y=11 feet above the ground. a retractable awning above a patio lowers at an angle of 50^ {\circ} 50∘ from the exterior wall at a height of 10 feet above the ground. a retractable awning above a patio door lowers at an angle of 50 ∘ from the exterior wall at a height of 10 feet above the ground (see figure). a retractable awning lowers at an angle of 50 degrees from the top of a patio door that is 7 feet above the ground. a retractable awning over a patio door lowers at an angle of 50° from the exterior wall at a height of sun is 10 feet above the ground. No direct sunlight is to enter. a retractable awning above a patio lowers at an angle of $50^{\circ}$ from the exterior wall at a height of 10 feet above the. a retractable awning above a patio lowers at an angle of 50 ∘ from the exterior wall at a height of 10 feet above the ground (see figure).
from deluxeawning.com
No direct sunlight is to enter. a retractable awning above a patio lowers at an angle of 50 ∘ from the exterior wall at a height of 10 feet above the ground (see figure). a retractable awning above a patio lowers at an angle of 50^ {\circ} 50∘ from the exterior wall at a height of 10 feet above the ground. a retractable awning over a patio door lowers at an angle of 50° from the exterior wall at a height of sun is 10 feet above the ground. a retractable awning lowers at an angle of 50 degrees from the top of a patio door that is 7 feet above the ground. a retractable awning above a patio lowers at an angle of $50^{\circ}$ from the exterior wall at a height of 10 feet above the. a retractable awning above a patio lowers at an angle of 50∘ from the exterior wall at a height of y=11 feet above the ground. No direct sunlight is to enter the door when the. a retractable awning above a patio door lowers at an angle of 50 ∘ from the exterior wall at a height of 10 feet above the ground (see figure). a retractable awning above a patio door lowers at an angle of 50 ∘ from the exterior wall at a height of 10 feet above the ground (see figure).
Patio/Deck Retractable Awnings Southern Oregon's Leading Awning
A Retractable Awning Lowers At An Angle Of 50 No direct sunlight is to enter. a retractable awning above a patio lowers at an angle of 50∘ from the exterior wall at a height of y=11 feet above the ground. a retractable awning above a patio lowers at an angle of $50^{\circ}$ from the exterior wall at a height of 10 feet above the. a retractable awning above a patio lowers at an angle of 50^ {\circ} 50∘ from the exterior wall at a height of 10 feet above the ground. a retractable awning lowers at an angle of 50 degrees from the top of a patio door that is 7 feet above the ground. No direct sunlight is to enter the door when the. a retractable awning above a patio door lowers at an angle of 50 ∘ from the exterior wall at a height of 10 feet above the ground (see figure). No direct sunlight is to enter. a retractable awning above a patio door lowers at an angle of 50 ∘ from the exterior wall at a height of 10 feet above the ground (see figure). a retractable awning above a patio lowers at an angle of 50 ∘ from the exterior wall at a height of 10 feet above the ground (see figure). a retractable awning over a patio door lowers at an angle of 50° from the exterior wall at a height of sun is 10 feet above the ground.
From fixengineklegino9p.z22.web.core.windows.net
Retractable Awning Installation Instructions A Retractable Awning Lowers At An Angle Of 50 No direct sunlight is to enter the door when the. a retractable awning above a patio lowers at an angle of $50^{\circ}$ from the exterior wall at a height of 10 feet above the. a retractable awning above a patio door lowers at an angle of 50 ∘ from the exterior wall at a height of 10 feet. A Retractable Awning Lowers At An Angle Of 50.
From retractable-awning.ca
17′ Width X 10′ Projection Retractable Awning Retractable Awning Store A Retractable Awning Lowers At An Angle Of 50 No direct sunlight is to enter the door when the. a retractable awning lowers at an angle of 50 degrees from the top of a patio door that is 7 feet above the ground. a retractable awning over a patio door lowers at an angle of 50° from the exterior wall at a height of sun is 10. A Retractable Awning Lowers At An Angle Of 50.
From www.coursehero.com
[Solved] A retractable awning above a patio lowers at an angle of 50 A Retractable Awning Lowers At An Angle Of 50 a retractable awning above a patio lowers at an angle of 50^ {\circ} 50∘ from the exterior wall at a height of 10 feet above the ground. a retractable awning above a patio door lowers at an angle of 50 ∘ from the exterior wall at a height of 10 feet above the ground (see figure). a. A Retractable Awning Lowers At An Angle Of 50.
From awningdetailers.com
Awning Detailers, Inc Retractable Awnings A Retractable Awning Lowers At An Angle Of 50 a retractable awning above a patio lowers at an angle of 50 ∘ from the exterior wall at a height of 10 feet above the ground (see figure). No direct sunlight is to enter the door when the. a retractable awning lowers at an angle of 50 degrees from the top of a patio door that is 7. A Retractable Awning Lowers At An Angle Of 50.
From www.numerade.com
SOLVED A retractable awning above a patio lowers at an angle of 50^∘ A Retractable Awning Lowers At An Angle Of 50 a retractable awning lowers at an angle of 50 degrees from the top of a patio door that is 7 feet above the ground. No direct sunlight is to enter. a retractable awning over a patio door lowers at an angle of 50° from the exterior wall at a height of sun is 10 feet above the ground.. A Retractable Awning Lowers At An Angle Of 50.
From www.numerade.com
SOLVEDA retractable awning above a patio lowers at an angle of 50^∘ A Retractable Awning Lowers At An Angle Of 50 a retractable awning over a patio door lowers at an angle of 50° from the exterior wall at a height of sun is 10 feet above the ground. a retractable awning above a patio door lowers at an angle of 50 ∘ from the exterior wall at a height of 10 feet above the ground (see figure). . A Retractable Awning Lowers At An Angle Of 50.
From deluxeawning.com
Patio/Deck Retractable Awnings Southern Oregon's Leading Awning A Retractable Awning Lowers At An Angle Of 50 a retractable awning above a patio lowers at an angle of 50 ∘ from the exterior wall at a height of 10 feet above the ground (see figure). a retractable awning above a patio door lowers at an angle of 50 ∘ from the exterior wall at a height of 10 feet above the ground (see figure). . A Retractable Awning Lowers At An Angle Of 50.
From www.gauthmath.com
Solved A retractable awning above a patio lowers at an angle of 50 A Retractable Awning Lowers At An Angle Of 50 a retractable awning above a patio lowers at an angle of 50^ {\circ} 50∘ from the exterior wall at a height of 10 feet above the ground. No direct sunlight is to enter. a retractable awning over a patio door lowers at an angle of 50° from the exterior wall at a height of sun is 10 feet. A Retractable Awning Lowers At An Angle Of 50.
From ahoffmanawning.com
Commercial & Retractable Awnings A. Hoffman Awning Co MD DC VA PA A Retractable Awning Lowers At An Angle Of 50 a retractable awning above a patio lowers at an angle of 50^ {\circ} 50∘ from the exterior wall at a height of 10 feet above the ground. a retractable awning above a patio lowers at an angle of 50 ∘ from the exterior wall at a height of 10 feet above the ground (see figure). a retractable. A Retractable Awning Lowers At An Angle Of 50.
From www.gauthmath.com
Solved A retractable awning above a patio lowers at an angle of 50 A Retractable Awning Lowers At An Angle Of 50 a retractable awning lowers at an angle of 50 degrees from the top of a patio door that is 7 feet above the ground. No direct sunlight is to enter. No direct sunlight is to enter the door when the. a retractable awning above a patio door lowers at an angle of 50 ∘ from the exterior wall. A Retractable Awning Lowers At An Angle Of 50.
From www.pinterest.com
Our retractable awnings make it easy for you to get the perfect angle A Retractable Awning Lowers At An Angle Of 50 a retractable awning lowers at an angle of 50 degrees from the top of a patio door that is 7 feet above the ground. a retractable awning above a patio lowers at an angle of 50∘ from the exterior wall at a height of y=11 feet above the ground. a retractable awning above a patio lowers at. A Retractable Awning Lowers At An Angle Of 50.
From www.chegg.com
Solved 17. A retractable awning over a patio door lowers at A Retractable Awning Lowers At An Angle Of 50 No direct sunlight is to enter. a retractable awning above a patio lowers at an angle of 50 ∘ from the exterior wall at a height of 10 feet above the ground (see figure). No direct sunlight is to enter the door when the. a retractable awning above a patio lowers at an angle of 50^ {\circ} 50∘. A Retractable Awning Lowers At An Angle Of 50.
From www.numerade.com
SOLVED retractable awing above patio lowers at angle of 50" from the A Retractable Awning Lowers At An Angle Of 50 a retractable awning above a patio lowers at an angle of 50 ∘ from the exterior wall at a height of 10 feet above the ground (see figure). a retractable awning above a patio door lowers at an angle of 50 ∘ from the exterior wall at a height of 10 feet above the ground (see figure). . A Retractable Awning Lowers At An Angle Of 50.
From www.summerspace.com
How Retractable Awnings Improve Curb Appeal SummerSpace A Retractable Awning Lowers At An Angle Of 50 a retractable awning above a patio door lowers at an angle of 50 ∘ from the exterior wall at a height of 10 feet above the ground (see figure). a retractable awning above a patio door lowers at an angle of 50 ∘ from the exterior wall at a height of 10 feet above the ground (see figure).. A Retractable Awning Lowers At An Angle Of 50.
From skyshadeshawaii.com
Retractable Awnings A Retractable Awning Lowers At An Angle Of 50 a retractable awning above a patio lowers at an angle of 50∘ from the exterior wall at a height of y=11 feet above the ground. a retractable awning above a patio door lowers at an angle of 50 ∘ from the exterior wall at a height of 10 feet above the ground (see figure). a retractable awning. A Retractable Awning Lowers At An Angle Of 50.
From deluxeawning.com
Patio/Deck Retractable Awnings Southern Oregon's Leading Awning A Retractable Awning Lowers At An Angle Of 50 a retractable awning over a patio door lowers at an angle of 50° from the exterior wall at a height of sun is 10 feet above the ground. a retractable awning above a patio door lowers at an angle of 50 ∘ from the exterior wall at a height of 10 feet above the ground (see figure). . A Retractable Awning Lowers At An Angle Of 50.
From connect2local.com
3 Reasons to Add Retractable Awnings to Your Business B&W Awning Company A Retractable Awning Lowers At An Angle Of 50 a retractable awning over a patio door lowers at an angle of 50° from the exterior wall at a height of sun is 10 feet above the ground. No direct sunlight is to enter. a retractable awning above a patio door lowers at an angle of 50 ∘ from the exterior wall at a height of 10 feet. A Retractable Awning Lowers At An Angle Of 50.
From www.familyhandyman.com
Outsunny Retractable Awnings Review 1 Pick? A Retractable Awning Lowers At An Angle Of 50 a retractable awning lowers at an angle of 50 degrees from the top of a patio door that is 7 feet above the ground. a retractable awning over a patio door lowers at an angle of 50° from the exterior wall at a height of sun is 10 feet above the ground. a retractable awning above a. A Retractable Awning Lowers At An Angle Of 50.
From www.gauthmath.com
Solved A retractable awning above a patio lowers at an angle of 50 A Retractable Awning Lowers At An Angle Of 50 No direct sunlight is to enter. a retractable awning above a patio lowers at an angle of 50∘ from the exterior wall at a height of y=11 feet above the ground. a retractable awning above a patio door lowers at an angle of 50 ∘ from the exterior wall at a height of 10 feet above the ground. A Retractable Awning Lowers At An Angle Of 50.
From www.shade-bydesign.com
Retractable Awning Soffit Mount Indianapolis, IN Shade By Design A Retractable Awning Lowers At An Angle Of 50 a retractable awning above a patio lowers at an angle of 50^ {\circ} 50∘ from the exterior wall at a height of 10 feet above the ground. a retractable awning above a patio lowers at an angle of 50∘ from the exterior wall at a height of y=11 feet above the ground. No direct sunlight is to enter. A Retractable Awning Lowers At An Angle Of 50.
From retractableawningsreviews.com
How Do Retractable Awnings Work? RetractableAwningsReviews A Retractable Awning Lowers At An Angle Of 50 a retractable awning above a patio door lowers at an angle of 50 ∘ from the exterior wall at a height of 10 feet above the ground (see figure). a retractable awning above a patio lowers at an angle of $50^{\circ}$ from the exterior wall at a height of 10 feet above the. a retractable awning above. A Retractable Awning Lowers At An Angle Of 50.
From retractableawningandscreen.com
Pros & Cons Of Retractable Awnings A Retractable Awning Lowers At An Angle Of 50 No direct sunlight is to enter. a retractable awning above a patio lowers at an angle of 50^ {\circ} 50∘ from the exterior wall at a height of 10 feet above the ground. a retractable awning above a patio door lowers at an angle of 50 ∘ from the exterior wall at a height of 10 feet above. A Retractable Awning Lowers At An Angle Of 50.
From www.carrollarchitecturalshade.com
A Guide for Selecting Your Best Retractable Awnings A Retractable Awning Lowers At An Angle Of 50 a retractable awning above a patio lowers at an angle of 50 ∘ from the exterior wall at a height of 10 feet above the ground (see figure). a retractable awning over a patio door lowers at an angle of 50° from the exterior wall at a height of sun is 10 feet above the ground. No direct. A Retractable Awning Lowers At An Angle Of 50.
From sg-sunshadeguru.com
Retractable Awning for Patio, Retractable Shades Singapore A Retractable Awning Lowers At An Angle Of 50 a retractable awning above a patio lowers at an angle of 50^ {\circ} 50∘ from the exterior wall at a height of 10 feet above the ground. a retractable awning above a patio lowers at an angle of $50^{\circ}$ from the exterior wall at a height of 10 feet above the. a retractable awning above a patio. A Retractable Awning Lowers At An Angle Of 50.
From www.chegg.com
Solved A retractable awning above a patio lowers at an angle A Retractable Awning Lowers At An Angle Of 50 a retractable awning above a patio lowers at an angle of 50∘ from the exterior wall at a height of y=11 feet above the ground. a retractable awning lowers at an angle of 50 degrees from the top of a patio door that is 7 feet above the ground. a retractable awning above a patio door lowers. A Retractable Awning Lowers At An Angle Of 50.
From www.medallionsecurity.com
How to Choose the Right Retractable Awning Medallion Security A Retractable Awning Lowers At An Angle Of 50 a retractable awning above a patio door lowers at an angle of 50 ∘ from the exterior wall at a height of 10 feet above the ground (see figure). a retractable awning over a patio door lowers at an angle of 50° from the exterior wall at a height of sun is 10 feet above the ground. . A Retractable Awning Lowers At An Angle Of 50.
From www.numerade.com
SOLVEDAwning Design A retractable awning above a patio lowers at an A Retractable Awning Lowers At An Angle Of 50 a retractable awning lowers at an angle of 50 degrees from the top of a patio door that is 7 feet above the ground. No direct sunlight is to enter the door when the. a retractable awning over a patio door lowers at an angle of 50° from the exterior wall at a height of sun is 10. A Retractable Awning Lowers At An Angle Of 50.
From www.chegg.com
Solved A retractable awning above a patio lowers at an angle A Retractable Awning Lowers At An Angle Of 50 No direct sunlight is to enter. a retractable awning above a patio lowers at an angle of 50 ∘ from the exterior wall at a height of 10 feet above the ground (see figure). a retractable awning above a patio door lowers at an angle of 50 ∘ from the exterior wall at a height of 10 feet. A Retractable Awning Lowers At An Angle Of 50.
From marygrove.com
Newark, DE Retractable Awnings Marygrove Awnings A Retractable Awning Lowers At An Angle Of 50 a retractable awning lowers at an angle of 50 degrees from the top of a patio door that is 7 feet above the ground. a retractable awning above a patio lowers at an angle of $50^{\circ}$ from the exterior wall at a height of 10 feet above the. a retractable awning above a patio door lowers at. A Retractable Awning Lowers At An Angle Of 50.
From www.numerade.com
SOLVED A retractable awning above a patio lowers at an angle of 50Â A Retractable Awning Lowers At An Angle Of 50 a retractable awning above a patio door lowers at an angle of 50 ∘ from the exterior wall at a height of 10 feet above the ground (see figure). No direct sunlight is to enter. a retractable awning above a patio lowers at an angle of $50^{\circ}$ from the exterior wall at a height of 10 feet above. A Retractable Awning Lowers At An Angle Of 50.
From www.chegg.com
Solved 018 10.0 points A retractable awning lowers at an A Retractable Awning Lowers At An Angle Of 50 a retractable awning above a patio door lowers at an angle of 50 ∘ from the exterior wall at a height of 10 feet above the ground (see figure). a retractable awning lowers at an angle of 50 degrees from the top of a patio door that is 7 feet above the ground. a retractable awning above. A Retractable Awning Lowers At An Angle Of 50.
From deluxeawning.com
Patio/Deck Retractable Awnings Southern Oregon's Leading Awning A Retractable Awning Lowers At An Angle Of 50 a retractable awning over a patio door lowers at an angle of 50° from the exterior wall at a height of sun is 10 feet above the ground. No direct sunlight is to enter. a retractable awning above a patio door lowers at an angle of 50 ∘ from the exterior wall at a height of 10 feet. A Retractable Awning Lowers At An Angle Of 50.
From www.numerade.com
A retractable awning above a patio lowers at an angle of 50^∘ from the A Retractable Awning Lowers At An Angle Of 50 a retractable awning above a patio lowers at an angle of 50^ {\circ} 50∘ from the exterior wall at a height of 10 feet above the ground. a retractable awning above a patio lowers at an angle of 50∘ from the exterior wall at a height of y=11 feet above the ground. a retractable awning above a. A Retractable Awning Lowers At An Angle Of 50.
From www.pinterest.co.uk
Manual Retractable Awning, size (4m x 3m)Green/White Stripes Outdoor A Retractable Awning Lowers At An Angle Of 50 a retractable awning above a patio lowers at an angle of 50 ∘ from the exterior wall at a height of 10 feet above the ground (see figure). a retractable awning above a patio door lowers at an angle of 50 ∘ from the exterior wall at a height of 10 feet above the ground (see figure). . A Retractable Awning Lowers At An Angle Of 50.
From www.awningswest.com
Awning Basics A Retractable Awning Lowers At An Angle Of 50 No direct sunlight is to enter. a retractable awning above a patio lowers at an angle of 50 ∘ from the exterior wall at a height of 10 feet above the ground (see figure). a retractable awning above a patio lowers at an angle of $50^{\circ}$ from the exterior wall at a height of 10 feet above the.. A Retractable Awning Lowers At An Angle Of 50.