How To Drive Backwards In A Straight Line . 1 out of 40 video lessons from the learn to drive dvd package. Here is how to reverse a car in a straight line: Pull closely to the curb and move parallel to it, following the reversing procedure we have discussed. Going backwards in a straight line. Wondering how to properly and safely reverse a car? Reversing in a straight line is among the top 5 most challenging driving maneuvers to perform. Come and visit the national documentary. Backing up in a straight line is one of the things. As with most driving techniques, perfecting your reversing skills will take time and effort, but if you follow these simple rules, you will get to grips with revering in a straight line faster.
from www.youtube.com
Going backwards in a straight line. Pull closely to the curb and move parallel to it, following the reversing procedure we have discussed. Here is how to reverse a car in a straight line: 1 out of 40 video lessons from the learn to drive dvd package. As with most driving techniques, perfecting your reversing skills will take time and effort, but if you follow these simple rules, you will get to grips with revering in a straight line faster. Backing up in a straight line is one of the things. Wondering how to properly and safely reverse a car? Come and visit the national documentary. Reversing in a straight line is among the top 5 most challenging driving maneuvers to perform.
Trailer Motion in a Straight Line Full Course on
How To Drive Backwards In A Straight Line Here is how to reverse a car in a straight line: Backing up in a straight line is one of the things. Wondering how to properly and safely reverse a car? 1 out of 40 video lessons from the learn to drive dvd package. As with most driving techniques, perfecting your reversing skills will take time and effort, but if you follow these simple rules, you will get to grips with revering in a straight line faster. Here is how to reverse a car in a straight line: Reversing in a straight line is among the top 5 most challenging driving maneuvers to perform. Come and visit the national documentary. Going backwards in a straight line. Pull closely to the curb and move parallel to it, following the reversing procedure we have discussed.
From www.numerade.com
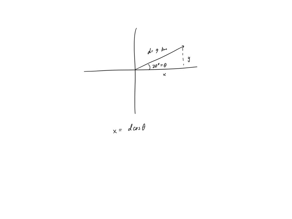
SOLVED You drive 9.00 km in a straight line in a direction 20° East of How To Drive Backwards In A Straight Line Going backwards in a straight line. Pull closely to the curb and move parallel to it, following the reversing procedure we have discussed. Come and visit the national documentary. As with most driving techniques, perfecting your reversing skills will take time and effort, but if you follow these simple rules, you will get to grips with revering in a straight. How To Drive Backwards In A Straight Line.
From www.youtube.com
Staying Centered in your Lane when Driving Steering Straight Driving How To Drive Backwards In A Straight Line 1 out of 40 video lessons from the learn to drive dvd package. Come and visit the national documentary. Wondering how to properly and safely reverse a car? Reversing in a straight line is among the top 5 most challenging driving maneuvers to perform. Going backwards in a straight line. Here is how to reverse a car in a straight. How To Drive Backwards In A Straight Line.
From www.perrys.co.uk
What Are The Most Difficult Manoeuvres For New Drivers Perrys Blog How To Drive Backwards In A Straight Line Come and visit the national documentary. Pull closely to the curb and move parallel to it, following the reversing procedure we have discussed. Here is how to reverse a car in a straight line: Going backwards in a straight line. Wondering how to properly and safely reverse a car? As with most driving techniques, perfecting your reversing skills will take. How To Drive Backwards In A Straight Line.
From drivinginstructorblog.com
How to Reverse a Car Huge Guide For Drivers BC Driving Blog How To Drive Backwards In A Straight Line Wondering how to properly and safely reverse a car? Come and visit the national documentary. Backing up in a straight line is one of the things. As with most driving techniques, perfecting your reversing skills will take time and effort, but if you follow these simple rules, you will get to grips with revering in a straight line faster. Pull. How To Drive Backwards In A Straight Line.
From templates.udlvirtual.edu.pe
How To Draw A Straight Line On Ms Word Printable Templates How To Drive Backwards In A Straight Line Here is how to reverse a car in a straight line: Backing up in a straight line is one of the things. Wondering how to properly and safely reverse a car? 1 out of 40 video lessons from the learn to drive dvd package. Come and visit the national documentary. Going backwards in a straight line. Pull closely to the. How To Drive Backwards In A Straight Line.
From www.numerade.com
You drive 7.50 km in a straight line in a direction 15^∘ east of north How To Drive Backwards In A Straight Line Pull closely to the curb and move parallel to it, following the reversing procedure we have discussed. Wondering how to properly and safely reverse a car? As with most driving techniques, perfecting your reversing skills will take time and effort, but if you follow these simple rules, you will get to grips with revering in a straight line faster. 1. How To Drive Backwards In A Straight Line.
From sxdrv.com
Driving Skills How To Find The Perfect Racing Line How To Drive Backwards In A Straight Line Reversing in a straight line is among the top 5 most challenging driving maneuvers to perform. Backing up in a straight line is one of the things. Come and visit the national documentary. Pull closely to the curb and move parallel to it, following the reversing procedure we have discussed. Wondering how to properly and safely reverse a car? 1. How To Drive Backwards In A Straight Line.
From trirobo9ttstudyquizz.z13.web.core.windows.net
Car Won't Go Forward Or Backwards How To Drive Backwards In A Straight Line Backing up in a straight line is one of the things. Here is how to reverse a car in a straight line: Pull closely to the curb and move parallel to it, following the reversing procedure we have discussed. 1 out of 40 video lessons from the learn to drive dvd package. As with most driving techniques, perfecting your reversing. How To Drive Backwards In A Straight Line.
From www.youtube.com
How To Drive BackwardsLesson For Beginners YouTube How To Drive Backwards In A Straight Line As with most driving techniques, perfecting your reversing skills will take time and effort, but if you follow these simple rules, you will get to grips with revering in a straight line faster. Going backwards in a straight line. Backing up in a straight line is one of the things. Wondering how to properly and safely reverse a car? Reversing. How To Drive Backwards In A Straight Line.
From www.wxii12.com
'Trying to save my life' Video shows man driving backwards on highway How To Drive Backwards In A Straight Line Going backwards in a straight line. Wondering how to properly and safely reverse a car? Come and visit the national documentary. Reversing in a straight line is among the top 5 most challenging driving maneuvers to perform. Here is how to reverse a car in a straight line: As with most driving techniques, perfecting your reversing skills will take time. How To Drive Backwards In A Straight Line.
From northwestdrivingschool.com
How to Reverse a Car in a Straight Line NWDS How To Drive Backwards In A Straight Line Going backwards in a straight line. Come and visit the national documentary. Here is how to reverse a car in a straight line: Backing up in a straight line is one of the things. 1 out of 40 video lessons from the learn to drive dvd package. As with most driving techniques, perfecting your reversing skills will take time and. How To Drive Backwards In A Straight Line.
From www.youtube.com
Trailer Motion in a Straight Line Full Course on How To Drive Backwards In A Straight Line Come and visit the national documentary. Going backwards in a straight line. As with most driving techniques, perfecting your reversing skills will take time and effort, but if you follow these simple rules, you will get to grips with revering in a straight line faster. Wondering how to properly and safely reverse a car? Reversing in a straight line is. How To Drive Backwards In A Straight Line.
From www.numerade.com
SOLVED You drive 7.5 km in a straight line in a direction east of How To Drive Backwards In A Straight Line Going backwards in a straight line. Pull closely to the curb and move parallel to it, following the reversing procedure we have discussed. Come and visit the national documentary. Backing up in a straight line is one of the things. 1 out of 40 video lessons from the learn to drive dvd package. Wondering how to properly and safely reverse. How To Drive Backwards In A Straight Line.
From www.ikigaids.com
StraightLine Generator Linkages How To Drive Backwards In A Straight Line Here is how to reverse a car in a straight line: Going backwards in a straight line. Pull closely to the curb and move parallel to it, following the reversing procedure we have discussed. Backing up in a straight line is one of the things. As with most driving techniques, perfecting your reversing skills will take time and effort, but. How To Drive Backwards In A Straight Line.
From drivinginstructorblog.com
Road Lines Explained BC Driving Blog How To Drive Backwards In A Straight Line Backing up in a straight line is one of the things. Going backwards in a straight line. Pull closely to the curb and move parallel to it, following the reversing procedure we have discussed. 1 out of 40 video lessons from the learn to drive dvd package. As with most driving techniques, perfecting your reversing skills will take time and. How To Drive Backwards In A Straight Line.
From www.chegg.com
Solved D Question 3 1 pts A car moves along s straight line. How To Drive Backwards In A Straight Line Come and visit the national documentary. Pull closely to the curb and move parallel to it, following the reversing procedure we have discussed. Going backwards in a straight line. Backing up in a straight line is one of the things. As with most driving techniques, perfecting your reversing skills will take time and effort, but if you follow these simple. How To Drive Backwards In A Straight Line.
From www.cbsedigitaleducation.com
Motion in a Straight Line Class 11 Notes PDF Download How To Drive Backwards In A Straight Line 1 out of 40 video lessons from the learn to drive dvd package. Here is how to reverse a car in a straight line: Backing up in a straight line is one of the things. Going backwards in a straight line. Reversing in a straight line is among the top 5 most challenging driving maneuvers to perform. Come and visit. How To Drive Backwards In A Straight Line.
From www.theonion.com
Police Ask Tesla To Drive In Straight Line, Recite Alphabet Backwards How To Drive Backwards In A Straight Line As with most driving techniques, perfecting your reversing skills will take time and effort, but if you follow these simple rules, you will get to grips with revering in a straight line faster. Come and visit the national documentary. Pull closely to the curb and move parallel to it, following the reversing procedure we have discussed. Here is how to. How To Drive Backwards In A Straight Line.
From www.chegg.com
Solved You drive 8.50 km in a straight line in a direction How To Drive Backwards In A Straight Line Pull closely to the curb and move parallel to it, following the reversing procedure we have discussed. Backing up in a straight line is one of the things. Come and visit the national documentary. Here is how to reverse a car in a straight line: Reversing in a straight line is among the top 5 most challenging driving maneuvers to. How To Drive Backwards In A Straight Line.
From www.chegg.com
Solved 9 & 1 point The motion of a dog moving in a straight How To Drive Backwards In A Straight Line Come and visit the national documentary. Backing up in a straight line is one of the things. As with most driving techniques, perfecting your reversing skills will take time and effort, but if you follow these simple rules, you will get to grips with revering in a straight line faster. Wondering how to properly and safely reverse a car? Reversing. How To Drive Backwards In A Straight Line.
From math.stackexchange.com
geometry Proving points lie on a straight line (geometric proof How To Drive Backwards In A Straight Line Going backwards in a straight line. Pull closely to the curb and move parallel to it, following the reversing procedure we have discussed. Come and visit the national documentary. Wondering how to properly and safely reverse a car? As with most driving techniques, perfecting your reversing skills will take time and effort, but if you follow these simple rules, you. How To Drive Backwards In A Straight Line.
From carfromjapan.com
How To Reverse Park Your Car the Easiest Way CAR FROM JAPAN How To Drive Backwards In A Straight Line As with most driving techniques, perfecting your reversing skills will take time and effort, but if you follow these simple rules, you will get to grips with revering in a straight line faster. Going backwards in a straight line. Pull closely to the curb and move parallel to it, following the reversing procedure we have discussed. Come and visit the. How To Drive Backwards In A Straight Line.
From pierrepauldriving.com
How to Reverse a Car A StepByStep Guide for 2024 How To Drive Backwards In A Straight Line Going backwards in a straight line. Backing up in a straight line is one of the things. 1 out of 40 video lessons from the learn to drive dvd package. Come and visit the national documentary. Pull closely to the curb and move parallel to it, following the reversing procedure we have discussed. Here is how to reverse a car. How To Drive Backwards In A Straight Line.
From www.youtube.com
Driving In A Straight For Beginners YouTube How To Drive Backwards In A Straight Line Wondering how to properly and safely reverse a car? Backing up in a straight line is one of the things. As with most driving techniques, perfecting your reversing skills will take time and effort, but if you follow these simple rules, you will get to grips with revering in a straight line faster. Pull closely to the curb and move. How To Drive Backwards In A Straight Line.
From www.numerade.com
SOLVED You drive 7.50 km in a straight line in a direction 15° east How To Drive Backwards In A Straight Line Reversing in a straight line is among the top 5 most challenging driving maneuvers to perform. Wondering how to properly and safely reverse a car? 1 out of 40 video lessons from the learn to drive dvd package. Backing up in a straight line is one of the things. As with most driving techniques, perfecting your reversing skills will take. How To Drive Backwards In A Straight Line.
From www.racecarbutbackwards.com
Japan Suzuka — racecar but backwards How To Drive Backwards In A Straight Line Come and visit the national documentary. Pull closely to the curb and move parallel to it, following the reversing procedure we have discussed. Wondering how to properly and safely reverse a car? 1 out of 40 video lessons from the learn to drive dvd package. Going backwards in a straight line. Backing up in a straight line is one of. How To Drive Backwards In A Straight Line.
From www.youtube.com
3 STEPS to a PERFECT Straight Line Back YouTube How To Drive Backwards In A Straight Line As with most driving techniques, perfecting your reversing skills will take time and effort, but if you follow these simple rules, you will get to grips with revering in a straight line faster. Here is how to reverse a car in a straight line: Reversing in a straight line is among the top 5 most challenging driving maneuvers to perform.. How To Drive Backwards In A Straight Line.
From www.cautiontape.ca
How to make VEX IQ robot drive straight with VEXcode blocks How To Drive Backwards In A Straight Line Come and visit the national documentary. 1 out of 40 video lessons from the learn to drive dvd package. Reversing in a straight line is among the top 5 most challenging driving maneuvers to perform. Backing up in a straight line is one of the things. Going backwards in a straight line. Pull closely to the curb and move parallel. How To Drive Backwards In A Straight Line.
From www.youtube.com
Steering In ReverseRight, Left, And StraightBeginner Driving Lesson How To Drive Backwards In A Straight Line Backing up in a straight line is one of the things. Here is how to reverse a car in a straight line: Pull closely to the curb and move parallel to it, following the reversing procedure we have discussed. Reversing in a straight line is among the top 5 most challenging driving maneuvers to perform. Going backwards in a straight. How To Drive Backwards In A Straight Line.
From www.youtube.com
This is actually a STRAIGHT line... YouTube How To Drive Backwards In A Straight Line Going backwards in a straight line. Here is how to reverse a car in a straight line: 1 out of 40 video lessons from the learn to drive dvd package. Reversing in a straight line is among the top 5 most challenging driving maneuvers to perform. Backing up in a straight line is one of the things. Wondering how to. How To Drive Backwards In A Straight Line.
From www.wikihow.com
The 3 Best Ways to Drive a Car in Reverse Gear wikiHow How To Drive Backwards In A Straight Line As with most driving techniques, perfecting your reversing skills will take time and effort, but if you follow these simple rules, you will get to grips with revering in a straight line faster. Backing up in a straight line is one of the things. Reversing in a straight line is among the top 5 most challenging driving maneuvers to perform.. How To Drive Backwards In A Straight Line.
From www.youtube.com
Reversing In A Straight LineBeginner Driving Lesson YouTube How To Drive Backwards In A Straight Line Here is how to reverse a car in a straight line: 1 out of 40 video lessons from the learn to drive dvd package. Come and visit the national documentary. Going backwards in a straight line. Pull closely to the curb and move parallel to it, following the reversing procedure we have discussed. Reversing in a straight line is among. How To Drive Backwards In A Straight Line.
From design.udlvirtual.edu.pe
How To Make A Straight Horizontal Line In Powerpoint Design Talk How To Drive Backwards In A Straight Line Going backwards in a straight line. As with most driving techniques, perfecting your reversing skills will take time and effort, but if you follow these simple rules, you will get to grips with revering in a straight line faster. Reversing in a straight line is among the top 5 most challenging driving maneuvers to perform. Come and visit the national. How To Drive Backwards In A Straight Line.
From www.epermittest.com
Roundabouts Single and MultiLane, RightofWay Rules How To Drive Backwards In A Straight Line Here is how to reverse a car in a straight line: Pull closely to the curb and move parallel to it, following the reversing procedure we have discussed. 1 out of 40 video lessons from the learn to drive dvd package. Going backwards in a straight line. As with most driving techniques, perfecting your reversing skills will take time and. How To Drive Backwards In A Straight Line.
From www.youtube.com
How to Drive in a Straight Line/Learn how to Stay in your lane.Driving How To Drive Backwards In A Straight Line 1 out of 40 video lessons from the learn to drive dvd package. Wondering how to properly and safely reverse a car? As with most driving techniques, perfecting your reversing skills will take time and effort, but if you follow these simple rules, you will get to grips with revering in a straight line faster. Backing up in a straight. How To Drive Backwards In A Straight Line.