Linear Combinations Of Graph Eigenvalues . ≥ µ n (g) be the eigenvalues of the adjacency matrix of a graph g. Suppose f (g) is a fixed linear. Of order n, and ḡ be the complement of g. Suppose f (g) is a fixed. Let µ1 (g) ≥.≥ µn (g) be the eigenvalues of the adjacency matrix of a graph g of order n, and g be the complement of g. Let µ 1 (g) ≥. Extremal graph eigenvalues, linear combination of eigenvalues, multiplicative property. We prove two conjectures in spectral extremal graph theory involving the linear combinations of graph eigenvalues. N (g) be the eigenvalues of the adjacency matrix of a graph g of order n, and g be the complement of g. Let mu(1) (g)>=.>=mu(n) (g) be the eigenvalues of the adjacency matrix of a graph g of order n, and (g) over bar be the complement. ≥ μn (g) be the eigenvalues of the adjacency matrix of a graph g of order n, and ḡ be the complement of g.
from medium.com
≥ µ n (g) be the eigenvalues of the adjacency matrix of a graph g. Suppose f (g) is a fixed. We prove two conjectures in spectral extremal graph theory involving the linear combinations of graph eigenvalues. ≥ μn (g) be the eigenvalues of the adjacency matrix of a graph g of order n, and ḡ be the complement of g. Of order n, and ḡ be the complement of g. N (g) be the eigenvalues of the adjacency matrix of a graph g of order n, and g be the complement of g. Let µ 1 (g) ≥. Suppose f (g) is a fixed linear. Let mu(1) (g)>=.>=mu(n) (g) be the eigenvalues of the adjacency matrix of a graph g of order n, and (g) over bar be the complement. Let µ1 (g) ≥.≥ µn (g) be the eigenvalues of the adjacency matrix of a graph g of order n, and g be the complement of g.
Linear Algebra — Part 6 eigenvalues and eigenvectors
Linear Combinations Of Graph Eigenvalues Suppose f (g) is a fixed linear. Let mu(1) (g)>=.>=mu(n) (g) be the eigenvalues of the adjacency matrix of a graph g of order n, and (g) over bar be the complement. We prove two conjectures in spectral extremal graph theory involving the linear combinations of graph eigenvalues. Let µ 1 (g) ≥. Suppose f (g) is a fixed linear. Let µ1 (g) ≥.≥ µn (g) be the eigenvalues of the adjacency matrix of a graph g of order n, and g be the complement of g. N (g) be the eigenvalues of the adjacency matrix of a graph g of order n, and g be the complement of g. Suppose f (g) is a fixed. ≥ μn (g) be the eigenvalues of the adjacency matrix of a graph g of order n, and ḡ be the complement of g. Extremal graph eigenvalues, linear combination of eigenvalues, multiplicative property. Of order n, and ḡ be the complement of g. ≥ µ n (g) be the eigenvalues of the adjacency matrix of a graph g.
From www.graphpad.com
GraphPad Prism 10 Statistics Guide Eigenvalues and eigenvectors Linear Combinations Of Graph Eigenvalues ≥ μn (g) be the eigenvalues of the adjacency matrix of a graph g of order n, and ḡ be the complement of g. We prove two conjectures in spectral extremal graph theory involving the linear combinations of graph eigenvalues. N (g) be the eigenvalues of the adjacency matrix of a graph g of order n, and g be the. Linear Combinations Of Graph Eigenvalues.
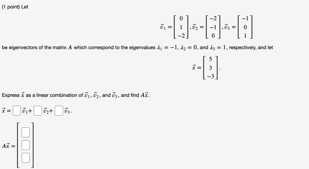
From www.chegg.com
Solved be eigenvectors of the matrix A which correspond to Linear Combinations Of Graph Eigenvalues ≥ µ n (g) be the eigenvalues of the adjacency matrix of a graph g. Extremal graph eigenvalues, linear combination of eigenvalues, multiplicative property. Let µ 1 (g) ≥. Of order n, and ḡ be the complement of g. Let mu(1) (g)>=.>=mu(n) (g) be the eigenvalues of the adjacency matrix of a graph g of order n, and (g) over. Linear Combinations Of Graph Eigenvalues.
From www.researchgate.net
Is the linear combination of eigenfunctions, as the general solution of Linear Combinations Of Graph Eigenvalues ≥ μn (g) be the eigenvalues of the adjacency matrix of a graph g of order n, and ḡ be the complement of g. Of order n, and ḡ be the complement of g. Let µ 1 (g) ≥. We prove two conjectures in spectral extremal graph theory involving the linear combinations of graph eigenvalues. N (g) be the eigenvalues. Linear Combinations Of Graph Eigenvalues.
From www.slideserve.com
PPT Ch 7.3 Systems of Linear Equations, Linear Independence Linear Combinations Of Graph Eigenvalues Let mu(1) (g)>=.>=mu(n) (g) be the eigenvalues of the adjacency matrix of a graph g of order n, and (g) over bar be the complement. Extremal graph eigenvalues, linear combination of eigenvalues, multiplicative property. Let µ 1 (g) ≥. ≥ µ n (g) be the eigenvalues of the adjacency matrix of a graph g. We prove two conjectures in spectral. Linear Combinations Of Graph Eigenvalues.
From www.youtube.com
The eigenvalues and the corresponding eigenvectors of a 2x2 matrix are Linear Combinations Of Graph Eigenvalues We prove two conjectures in spectral extremal graph theory involving the linear combinations of graph eigenvalues. N (g) be the eigenvalues of the adjacency matrix of a graph g of order n, and g be the complement of g. ≥ µ n (g) be the eigenvalues of the adjacency matrix of a graph g. Suppose f (g) is a fixed.. Linear Combinations Of Graph Eigenvalues.
From www.numerade.com
SOLVED Let V1 V2 and V3 be eigenvectors of the matrix A which Linear Combinations Of Graph Eigenvalues ≥ µ n (g) be the eigenvalues of the adjacency matrix of a graph g. We prove two conjectures in spectral extremal graph theory involving the linear combinations of graph eigenvalues. Let µ1 (g) ≥.≥ µn (g) be the eigenvalues of the adjacency matrix of a graph g of order n, and g be the complement of g. Let µ. Linear Combinations Of Graph Eigenvalues.
From studylib.net
Linear combinations of graph eigenvalues Linear Combinations Of Graph Eigenvalues We prove two conjectures in spectral extremal graph theory involving the linear combinations of graph eigenvalues. ≥ μn (g) be the eigenvalues of the adjacency matrix of a graph g of order n, and ḡ be the complement of g. Of order n, and ḡ be the complement of g. Extremal graph eigenvalues, linear combination of eigenvalues, multiplicative property. Suppose. Linear Combinations Of Graph Eigenvalues.
From www.chegg.com
Solved (1 point) Let M be a 2 x 2 matrix with eigenvalues 11 Linear Combinations Of Graph Eigenvalues ≥ μn (g) be the eigenvalues of the adjacency matrix of a graph g of order n, and ḡ be the complement of g. Of order n, and ḡ be the complement of g. Suppose f (g) is a fixed linear. Suppose f (g) is a fixed. ≥ µ n (g) be the eigenvalues of the adjacency matrix of a. Linear Combinations Of Graph Eigenvalues.
From www.slideserve.com
PPT Linear algebra matrix Eigenvalue Problems PowerPoint Linear Combinations Of Graph Eigenvalues We prove two conjectures in spectral extremal graph theory involving the linear combinations of graph eigenvalues. Extremal graph eigenvalues, linear combination of eigenvalues, multiplicative property. Let µ 1 (g) ≥. Let µ1 (g) ≥.≥ µn (g) be the eigenvalues of the adjacency matrix of a graph g of order n, and g be the complement of g. Of order n,. Linear Combinations Of Graph Eigenvalues.
From www.slideserve.com
PPT Chapter 7 Eigenvalues and Eigenvectors PowerPoint Presentation Linear Combinations Of Graph Eigenvalues Let µ 1 (g) ≥. ≥ µ n (g) be the eigenvalues of the adjacency matrix of a graph g. Let mu(1) (g)>=.>=mu(n) (g) be the eigenvalues of the adjacency matrix of a graph g of order n, and (g) over bar be the complement. We prove two conjectures in spectral extremal graph theory involving the linear combinations of graph. Linear Combinations Of Graph Eigenvalues.
From www.math.ucdavis.edu
How to find Eigenvalues and Eigenvectors Using MATLAB (cont.) Linear Combinations Of Graph Eigenvalues Extremal graph eigenvalues, linear combination of eigenvalues, multiplicative property. Of order n, and ḡ be the complement of g. Suppose f (g) is a fixed linear. We prove two conjectures in spectral extremal graph theory involving the linear combinations of graph eigenvalues. Let µ1 (g) ≥.≥ µn (g) be the eigenvalues of the adjacency matrix of a graph g of. Linear Combinations Of Graph Eigenvalues.
From www.numerade.com
SOLVED (1 point) Let [ be eigenvectors of the matrix A which Linear Combinations Of Graph Eigenvalues Let µ1 (g) ≥.≥ µn (g) be the eigenvalues of the adjacency matrix of a graph g of order n, and g be the complement of g. ≥ µ n (g) be the eigenvalues of the adjacency matrix of a graph g. Let mu(1) (g)>=.>=mu(n) (g) be the eigenvalues of the adjacency matrix of a graph g of order n,. Linear Combinations Of Graph Eigenvalues.
From math.stackexchange.com
If v1,v2,...,vp be eigenvectors of a matrix A corresponding to distinct Linear Combinations Of Graph Eigenvalues Of order n, and ḡ be the complement of g. Let mu(1) (g)>=.>=mu(n) (g) be the eigenvalues of the adjacency matrix of a graph g of order n, and (g) over bar be the complement. ≥ µ n (g) be the eigenvalues of the adjacency matrix of a graph g. N (g) be the eigenvalues of the adjacency matrix of. Linear Combinations Of Graph Eigenvalues.
From www.youtube.com
Ex 2 Find the Eigenvalues and Corresponding Unit Eigenvectors of a 2x2 Linear Combinations Of Graph Eigenvalues Suppose f (g) is a fixed linear. N (g) be the eigenvalues of the adjacency matrix of a graph g of order n, and g be the complement of g. ≥ µ n (g) be the eigenvalues of the adjacency matrix of a graph g. Suppose f (g) is a fixed. Let mu(1) (g)>=.>=mu(n) (g) be the eigenvalues of the. Linear Combinations Of Graph Eigenvalues.
From www.youtube.com
vector equations linear combinations YouTube Linear Combinations Of Graph Eigenvalues Suppose f (g) is a fixed linear. Extremal graph eigenvalues, linear combination of eigenvalues, multiplicative property. Suppose f (g) is a fixed. Let µ1 (g) ≥.≥ µn (g) be the eigenvalues of the adjacency matrix of a graph g of order n, and g be the complement of g. N (g) be the eigenvalues of the adjacency matrix of a. Linear Combinations Of Graph Eigenvalues.
From www.numerade.com
SOLVED point) Let V1 " [3 V3 be eigenvectors of the matrix A which Linear Combinations Of Graph Eigenvalues Of order n, and ḡ be the complement of g. Let µ 1 (g) ≥. Suppose f (g) is a fixed. ≥ μn (g) be the eigenvalues of the adjacency matrix of a graph g of order n, and ḡ be the complement of g. Suppose f (g) is a fixed linear. Extremal graph eigenvalues, linear combination of eigenvalues, multiplicative. Linear Combinations Of Graph Eigenvalues.
From www.math.ucdavis.edu
Eigenvalues Definition Linear Combinations Of Graph Eigenvalues Let µ 1 (g) ≥. Suppose f (g) is a fixed linear. Let mu(1) (g)>=.>=mu(n) (g) be the eigenvalues of the adjacency matrix of a graph g of order n, and (g) over bar be the complement. Let µ1 (g) ≥.≥ µn (g) be the eigenvalues of the adjacency matrix of a graph g of order n, and g be. Linear Combinations Of Graph Eigenvalues.
From www.chegg.com
Solved The matrix A has eigenvectors u, v where A = [1 1 Linear Combinations Of Graph Eigenvalues N (g) be the eigenvalues of the adjacency matrix of a graph g of order n, and g be the complement of g. We prove two conjectures in spectral extremal graph theory involving the linear combinations of graph eigenvalues. Suppose f (g) is a fixed linear. Let µ 1 (g) ≥. ≥ μn (g) be the eigenvalues of the adjacency. Linear Combinations Of Graph Eigenvalues.
From www.studypool.com
SOLUTION Lecture 18 linear combinations linear algebra Studypool Linear Combinations Of Graph Eigenvalues Suppose f (g) is a fixed linear. Of order n, and ḡ be the complement of g. We prove two conjectures in spectral extremal graph theory involving the linear combinations of graph eigenvalues. N (g) be the eigenvalues of the adjacency matrix of a graph g of order n, and g be the complement of g. Let µ1 (g) ≥.≥. Linear Combinations Of Graph Eigenvalues.
From linearcombinations.flywheelsites.com
Eigenvalues of Real Symmetric Matrices Linear Combinations Linear Combinations Of Graph Eigenvalues ≥ μn (g) be the eigenvalues of the adjacency matrix of a graph g of order n, and ḡ be the complement of g. Let µ 1 (g) ≥. Suppose f (g) is a fixed linear. Extremal graph eigenvalues, linear combination of eigenvalues, multiplicative property. N (g) be the eigenvalues of the adjacency matrix of a graph g of order. Linear Combinations Of Graph Eigenvalues.
From www.slideserve.com
PPT Elementary Linear Algebra Anton & Rorres, 9 th Edition PowerPoint Linear Combinations Of Graph Eigenvalues We prove two conjectures in spectral extremal graph theory involving the linear combinations of graph eigenvalues. Suppose f (g) is a fixed linear. Suppose f (g) is a fixed. Let µ 1 (g) ≥. Extremal graph eigenvalues, linear combination of eigenvalues, multiplicative property. ≥ μn (g) be the eigenvalues of the adjacency matrix of a graph g of order n,. Linear Combinations Of Graph Eigenvalues.
From medium.com
Linear Algebra — Part 6 eigenvalues and eigenvectors Linear Combinations Of Graph Eigenvalues N (g) be the eigenvalues of the adjacency matrix of a graph g of order n, and g be the complement of g. Of order n, and ḡ be the complement of g. Let µ1 (g) ≥.≥ µn (g) be the eigenvalues of the adjacency matrix of a graph g of order n, and g be the complement of g.. Linear Combinations Of Graph Eigenvalues.
From www.slideserve.com
PPT Chapter 7 Eigenvalues and Eigenvectors PowerPoint Presentation Linear Combinations Of Graph Eigenvalues Let µ1 (g) ≥.≥ µn (g) be the eigenvalues of the adjacency matrix of a graph g of order n, and g be the complement of g. Extremal graph eigenvalues, linear combination of eigenvalues, multiplicative property. ≥ µ n (g) be the eigenvalues of the adjacency matrix of a graph g. We prove two conjectures in spectral extremal graph theory. Linear Combinations Of Graph Eigenvalues.
From www.geogebra.org
Phase portrait with eigenvalues and vectors GeoGebra Linear Combinations Of Graph Eigenvalues Let µ1 (g) ≥.≥ µn (g) be the eigenvalues of the adjacency matrix of a graph g of order n, and g be the complement of g. Extremal graph eigenvalues, linear combination of eigenvalues, multiplicative property. Let µ 1 (g) ≥. Suppose f (g) is a fixed linear. ≥ µ n (g) be the eigenvalues of the adjacency matrix of. Linear Combinations Of Graph Eigenvalues.
From www.youtube.com
Solving Systems Using Linear Combination (Simplifying Math) YouTube Linear Combinations Of Graph Eigenvalues Let mu(1) (g)>=.>=mu(n) (g) be the eigenvalues of the adjacency matrix of a graph g of order n, and (g) over bar be the complement. Suppose f (g) is a fixed linear. ≥ µ n (g) be the eigenvalues of the adjacency matrix of a graph g. N (g) be the eigenvalues of the adjacency matrix of a graph g. Linear Combinations Of Graph Eigenvalues.
From ggqeufduxq.blogspot.com
How To Find Eigenvectors Of A 3X3 Matrix That is, all others can be Linear Combinations Of Graph Eigenvalues Let mu(1) (g)>=.>=mu(n) (g) be the eigenvalues of the adjacency matrix of a graph g of order n, and (g) over bar be the complement. Suppose f (g) is a fixed linear. ≥ µ n (g) be the eigenvalues of the adjacency matrix of a graph g. Suppose f (g) is a fixed. N (g) be the eigenvalues of the. Linear Combinations Of Graph Eigenvalues.
From www.chegg.com
Solved (1 point) Let be eigenvectors of the matrix A which Linear Combinations Of Graph Eigenvalues Let mu(1) (g)>=.>=mu(n) (g) be the eigenvalues of the adjacency matrix of a graph g of order n, and (g) over bar be the complement. Of order n, and ḡ be the complement of g. Let µ 1 (g) ≥. ≥ μn (g) be the eigenvalues of the adjacency matrix of a graph g of order n, and ḡ be. Linear Combinations Of Graph Eigenvalues.
From www.chegg.com
Solved ) Let Linear Combinations Of Graph Eigenvalues N (g) be the eigenvalues of the adjacency matrix of a graph g of order n, and g be the complement of g. We prove two conjectures in spectral extremal graph theory involving the linear combinations of graph eigenvalues. Suppose f (g) is a fixed. ≥ μn (g) be the eigenvalues of the adjacency matrix of a graph g of. Linear Combinations Of Graph Eigenvalues.
From www.youtube.com
Write a vector as a linear combination of a set of vectors YouTube Linear Combinations Of Graph Eigenvalues Of order n, and ḡ be the complement of g. ≥ μn (g) be the eigenvalues of the adjacency matrix of a graph g of order n, and ḡ be the complement of g. Let µ1 (g) ≥.≥ µn (g) be the eigenvalues of the adjacency matrix of a graph g of order n, and g be the complement of. Linear Combinations Of Graph Eigenvalues.
From www.youtube.com
Labtube(Linear Algebra I) Linear Combinations of Vectors YouTube Linear Combinations Of Graph Eigenvalues Let µ 1 (g) ≥. Suppose f (g) is a fixed linear. Let µ1 (g) ≥.≥ µn (g) be the eigenvalues of the adjacency matrix of a graph g of order n, and g be the complement of g. We prove two conjectures in spectral extremal graph theory involving the linear combinations of graph eigenvalues. ≥ μn (g) be the. Linear Combinations Of Graph Eigenvalues.
From www.youtube.com
Find the eigenvalues and eigenvectors of a 3x3 matrix YouTube Linear Combinations Of Graph Eigenvalues ≥ μn (g) be the eigenvalues of the adjacency matrix of a graph g of order n, and ḡ be the complement of g. ≥ µ n (g) be the eigenvalues of the adjacency matrix of a graph g. Extremal graph eigenvalues, linear combination of eigenvalues, multiplicative property. N (g) be the eigenvalues of the adjacency matrix of a graph. Linear Combinations Of Graph Eigenvalues.
From www.youtube.com
Differential Equations Eigenvalues, Eigenvectors, and Phase Portraits Linear Combinations Of Graph Eigenvalues N (g) be the eigenvalues of the adjacency matrix of a graph g of order n, and g be the complement of g. Suppose f (g) is a fixed. Extremal graph eigenvalues, linear combination of eigenvalues, multiplicative property. ≥ µ n (g) be the eigenvalues of the adjacency matrix of a graph g. Of order n, and ḡ be the. Linear Combinations Of Graph Eigenvalues.
From datahacker.rs
Linear Algebra Linear combination of Vectors Master Data Science Linear Combinations Of Graph Eigenvalues Let µ1 (g) ≥.≥ µn (g) be the eigenvalues of the adjacency matrix of a graph g of order n, and g be the complement of g. Suppose f (g) is a fixed linear. We prove two conjectures in spectral extremal graph theory involving the linear combinations of graph eigenvalues. Let µ 1 (g) ≥. Let mu(1) (g)>=.>=mu(n) (g) be. Linear Combinations Of Graph Eigenvalues.
From www.researchgate.net
The relationship between Graph Laplacian eigenvectors and LAM. (A Linear Combinations Of Graph Eigenvalues ≥ µ n (g) be the eigenvalues of the adjacency matrix of a graph g. Let µ 1 (g) ≥. Of order n, and ḡ be the complement of g. Let µ1 (g) ≥.≥ µn (g) be the eigenvalues of the adjacency matrix of a graph g of order n, and g be the complement of g. N (g) be. Linear Combinations Of Graph Eigenvalues.
From www.researchgate.net
(PDF) Two conjectures in spectral graph theory involving the linear Linear Combinations Of Graph Eigenvalues Let µ 1 (g) ≥. Of order n, and ḡ be the complement of g. ≥ μn (g) be the eigenvalues of the adjacency matrix of a graph g of order n, and ḡ be the complement of g. Let µ1 (g) ≥.≥ µn (g) be the eigenvalues of the adjacency matrix of a graph g of order n, and. Linear Combinations Of Graph Eigenvalues.