Title Suit Case In Hindi . जस्टिस प्रणय वर्मा की सिंगल जज बेंच ने अपने आदेश में कहा, यह प्रतिवादियों के लिए यह तर्क देने के लिए नहीं है कि वादी के टाइटल को. इस संबंध में सुप्रीम कोर्ट ने अपना फैसला सुनाया है. Title suit के सभी नए नियम | टाइटल सूट केस क्या है title suit kya hai @kanoon key99 #kanoonkey99 #key99. अगर आपके घर या जमीन पर किसी ने कब्जा कर लिया है, तो आप बिना कोर्ट जाए इसको खाली करा सकते हैं. बंटवारे का मुकदमा परिवार में प्रॉपर्टी विवाद उत्पन्न होने पर दोनों पक्षों में से किसी एक द्वारा शुरू की गई कार्यवाही है। पार्टिशन डीड एक आधिकारिक डॉक्यूमेंट है, जो या तो अदालत. With titlesuit, you can list any property case. Search for any case on real estate properties, and get any document registered easily. पूनाराम बनाम मोती राम के मामले. कोर्ट ने किया बड़ा बदलाव | what is title suit case in hindi | title suit case kya hota haisocial media से. जमीन पर title suit डालने के लिए सुप्रीम कोर्ट लाया नया कानून !
from www.scribd.com
जमीन पर title suit डालने के लिए सुप्रीम कोर्ट लाया नया कानून ! अगर आपके घर या जमीन पर किसी ने कब्जा कर लिया है, तो आप बिना कोर्ट जाए इसको खाली करा सकते हैं. इस संबंध में सुप्रीम कोर्ट ने अपना फैसला सुनाया है. कोर्ट ने किया बड़ा बदलाव | what is title suit case in hindi | title suit case kya hota haisocial media से. Search for any case on real estate properties, and get any document registered easily. With titlesuit, you can list any property case. जस्टिस प्रणय वर्मा की सिंगल जज बेंच ने अपने आदेश में कहा, यह प्रतिवादियों के लिए यह तर्क देने के लिए नहीं है कि वादी के टाइटल को. Title suit के सभी नए नियम | टाइटल सूट केस क्या है title suit kya hai @kanoon key99 #kanoonkey99 #key99. पूनाराम बनाम मोती राम के मामले. बंटवारे का मुकदमा परिवार में प्रॉपर्टी विवाद उत्पन्न होने पर दोनों पक्षों में से किसी एक द्वारा शुरू की गई कार्यवाही है। पार्टिशन डीड एक आधिकारिक डॉक्यूमेंट है, जो या तो अदालत.
LAND TITLES and DEEDS Case Digest Download Free PDF Jurisdiction
Title Suit Case In Hindi Search for any case on real estate properties, and get any document registered easily. Search for any case on real estate properties, and get any document registered easily. इस संबंध में सुप्रीम कोर्ट ने अपना फैसला सुनाया है. Title suit के सभी नए नियम | टाइटल सूट केस क्या है title suit kya hai @kanoon key99 #kanoonkey99 #key99. जमीन पर title suit डालने के लिए सुप्रीम कोर्ट लाया नया कानून ! कोर्ट ने किया बड़ा बदलाव | what is title suit case in hindi | title suit case kya hota haisocial media से. बंटवारे का मुकदमा परिवार में प्रॉपर्टी विवाद उत्पन्न होने पर दोनों पक्षों में से किसी एक द्वारा शुरू की गई कार्यवाही है। पार्टिशन डीड एक आधिकारिक डॉक्यूमेंट है, जो या तो अदालत. अगर आपके घर या जमीन पर किसी ने कब्जा कर लिया है, तो आप बिना कोर्ट जाए इसको खाली करा सकते हैं. पूनाराम बनाम मोती राम के मामले. जस्टिस प्रणय वर्मा की सिंगल जज बेंच ने अपने आदेश में कहा, यह प्रतिवादियों के लिए यह तर्क देने के लिए नहीं है कि वादी के टाइटल को. With titlesuit, you can list any property case.
From phenixbaylegal.com
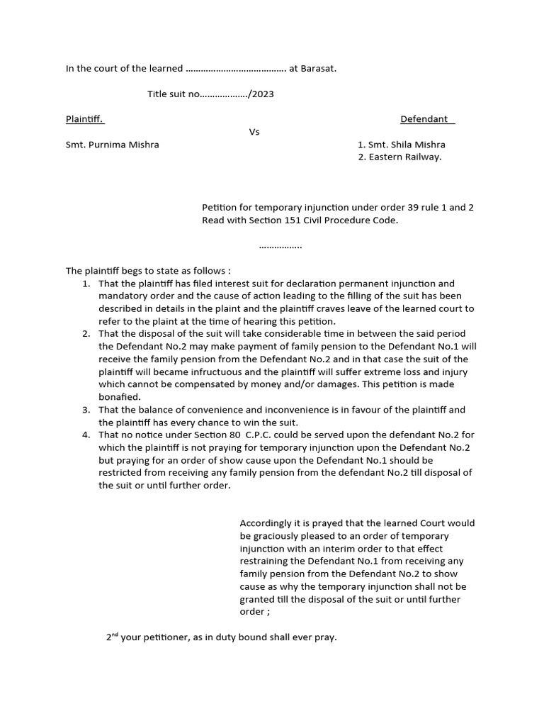
Format For Petition Civil Suit Filing Petition For Declaration of Title Suit Case In Hindi जस्टिस प्रणय वर्मा की सिंगल जज बेंच ने अपने आदेश में कहा, यह प्रतिवादियों के लिए यह तर्क देने के लिए नहीं है कि वादी के टाइटल को. Search for any case on real estate properties, and get any document registered easily. कोर्ट ने किया बड़ा बदलाव | what is title suit case in hindi | title suit case kya. Title Suit Case In Hindi.
From www.youtube.com
Best Titles For Teachers In Hindi Part 2 YouTube Title Suit Case In Hindi Title suit के सभी नए नियम | टाइटल सूट केस क्या है title suit kya hai @kanoon key99 #kanoonkey99 #key99. पूनाराम बनाम मोती राम के मामले. इस संबंध में सुप्रीम कोर्ट ने अपना फैसला सुनाया है. Search for any case on real estate properties, and get any document registered easily. कोर्ट ने किया बड़ा बदलाव | what is title suit. Title Suit Case In Hindi.
From www.youtube.com
title suit case kya hai title suit case status title suit procedure Title Suit Case In Hindi पूनाराम बनाम मोती राम के मामले. बंटवारे का मुकदमा परिवार में प्रॉपर्टी विवाद उत्पन्न होने पर दोनों पक्षों में से किसी एक द्वारा शुरू की गई कार्यवाही है। पार्टिशन डीड एक आधिकारिक डॉक्यूमेंट है, जो या तो अदालत. जमीन पर title suit डालने के लिए सुप्रीम कोर्ट लाया नया कानून ! अगर आपके घर या जमीन पर किसी ने कब्जा. Title Suit Case In Hindi.
From www.scribd.com
Plaint On Partition Suit PDF Civil Law Law) Lawsuit Title Suit Case In Hindi जस्टिस प्रणय वर्मा की सिंगल जज बेंच ने अपने आदेश में कहा, यह प्रतिवादियों के लिए यह तर्क देने के लिए नहीं है कि वादी के टाइटल को. जमीन पर title suit डालने के लिए सुप्रीम कोर्ट लाया नया कानून ! Search for any case on real estate properties, and get any document registered easily. कोर्ट ने किया बड़ा बदलाव. Title Suit Case In Hindi.
From okdeals.in
TOP 10 ! BEST SUITCASE IN INDIA ! HINDI BUYING GUIDE Title Suit Case In Hindi जस्टिस प्रणय वर्मा की सिंगल जज बेंच ने अपने आदेश में कहा, यह प्रतिवादियों के लिए यह तर्क देने के लिए नहीं है कि वादी के टाइटल को. पूनाराम बनाम मोती राम के मामले. बंटवारे का मुकदमा परिवार में प्रॉपर्टी विवाद उत्पन्न होने पर दोनों पक्षों में से किसी एक द्वारा शुरू की गई कार्यवाही है। पार्टिशन डीड एक आधिकारिक. Title Suit Case In Hindi.
From www.scribd.com
AIBE Exa. 18, Dec. 2023 English and Hindi PDF Lawsuit Criminal Title Suit Case In Hindi अगर आपके घर या जमीन पर किसी ने कब्जा कर लिया है, तो आप बिना कोर्ट जाए इसको खाली करा सकते हैं. कोर्ट ने किया बड़ा बदलाव | what is title suit case in hindi | title suit case kya hota haisocial media से. पूनाराम बनाम मोती राम के मामले. बंटवारे का मुकदमा परिवार में प्रॉपर्टी विवाद उत्पन्न होने पर. Title Suit Case In Hindi.
From www.youtube.com
Supreme Court Adjourns Hearing In Ayodhya Ram Mandir Title Suit Case Title Suit Case In Hindi इस संबंध में सुप्रीम कोर्ट ने अपना फैसला सुनाया है. जस्टिस प्रणय वर्मा की सिंगल जज बेंच ने अपने आदेश में कहा, यह प्रतिवादियों के लिए यह तर्क देने के लिए नहीं है कि वादी के टाइटल को. With titlesuit, you can list any property case. Title suit के सभी नए नियम | टाइटल सूट केस क्या है title suit. Title Suit Case In Hindi.
From freakylearn.com
"lawsuit" Meaning in Hindi FreakyLearn Title Suit Case In Hindi जमीन पर title suit डालने के लिए सुप्रीम कोर्ट लाया नया कानून ! इस संबंध में सुप्रीम कोर्ट ने अपना फैसला सुनाया है. Title suit के सभी नए नियम | टाइटल सूट केस क्या है title suit kya hai @kanoon key99 #kanoonkey99 #key99. पूनाराम बनाम मोती राम के मामले. Search for any case on real estate properties, and get any. Title Suit Case In Hindi.
From www.pdffiller.com
Fillable Online nalbarijudiciary gov Form no. (J) 2 HEADING OF JUDGMENT Title Suit Case In Hindi अगर आपके घर या जमीन पर किसी ने कब्जा कर लिया है, तो आप बिना कोर्ट जाए इसको खाली करा सकते हैं. Search for any case on real estate properties, and get any document registered easily. बंटवारे का मुकदमा परिवार में प्रॉपर्टी विवाद उत्पन्न होने पर दोनों पक्षों में से किसी एक द्वारा शुरू की गई कार्यवाही है। पार्टिशन डीड. Title Suit Case In Hindi.
From www.pdffiller.com
Bail Bond Format Pdf In Hindi Fill Online, Printable, Fillable, Blank Title Suit Case In Hindi जस्टिस प्रणय वर्मा की सिंगल जज बेंच ने अपने आदेश में कहा, यह प्रतिवादियों के लिए यह तर्क देने के लिए नहीं है कि वादी के टाइटल को. इस संबंध में सुप्रीम कोर्ट ने अपना फैसला सुनाया है. बंटवारे का मुकदमा परिवार में प्रॉपर्टी विवाद उत्पन्न होने पर दोनों पक्षों में से किसी एक द्वारा शुरू की गई कार्यवाही है।. Title Suit Case In Hindi.
From www.jiosaavn.com
Sean 'Diddy' Combs Faces New Sexual Assault Allegations in Latest Title Suit Case In Hindi पूनाराम बनाम मोती राम के मामले. With titlesuit, you can list any property case. बंटवारे का मुकदमा परिवार में प्रॉपर्टी विवाद उत्पन्न होने पर दोनों पक्षों में से किसी एक द्वारा शुरू की गई कार्यवाही है। पार्टिशन डीड एक आधिकारिक डॉक्यूमेंट है, जो या तो अदालत. अगर आपके घर या जमीन पर किसी ने कब्जा कर लिया है, तो आप. Title Suit Case In Hindi.
From www.youtube.com
Lawsuit meaning in Hindi Lawsuit का हिंदी में अर्थ explained Title Suit Case In Hindi कोर्ट ने किया बड़ा बदलाव | what is title suit case in hindi | title suit case kya hota haisocial media से. जमीन पर title suit डालने के लिए सुप्रीम कोर्ट लाया नया कानून ! With titlesuit, you can list any property case. Title suit के सभी नए नियम | टाइटल सूट केस क्या है title suit kya hai @kanoon. Title Suit Case In Hindi.
From www.pdffiller.com
Fillable Online Title Suit Case No Fax Email Print pdfFiller Title Suit Case In Hindi इस संबंध में सुप्रीम कोर्ट ने अपना फैसला सुनाया है. बंटवारे का मुकदमा परिवार में प्रॉपर्टी विवाद उत्पन्न होने पर दोनों पक्षों में से किसी एक द्वारा शुरू की गई कार्यवाही है। पार्टिशन डीड एक आधिकारिक डॉक्यूमेंट है, जो या तो अदालत. जस्टिस प्रणय वर्मा की सिंगल जज बेंच ने अपने आदेश में कहा, यह प्रतिवादियों के लिए यह तर्क. Title Suit Case In Hindi.
From www.scribd.com
Sample of Title Suit PDF Lawsuit Deed Title Suit Case In Hindi कोर्ट ने किया बड़ा बदलाव | what is title suit case in hindi | title suit case kya hota haisocial media से. इस संबंध में सुप्रीम कोर्ट ने अपना फैसला सुनाया है. जमीन पर title suit डालने के लिए सुप्रीम कोर्ट लाया नया कानून ! With titlesuit, you can list any property case. Title suit के सभी नए नियम |. Title Suit Case In Hindi.
From www.sexiezpix.com
Explained Issues In Ayodhya Title Suit Explained News The Indian Title Suit Case In Hindi पूनाराम बनाम मोती राम के मामले. कोर्ट ने किया बड़ा बदलाव | what is title suit case in hindi | title suit case kya hota haisocial media से. With titlesuit, you can list any property case. इस संबंध में सुप्रीम कोर्ट ने अपना फैसला सुनाया है. Title suit के सभी नए नियम | टाइटल सूट केस क्या है title suit. Title Suit Case In Hindi.
From www.scribd.com
English To Hindi Translation PDF Lease Lawsuit Title Suit Case In Hindi इस संबंध में सुप्रीम कोर्ट ने अपना फैसला सुनाया है. पूनाराम बनाम मोती राम के मामले. Title suit के सभी नए नियम | टाइटल सूट केस क्या है title suit kya hai @kanoon key99 #kanoonkey99 #key99. अगर आपके घर या जमीन पर किसी ने कब्जा कर लिया है, तो आप बिना कोर्ट जाए इसको खाली करा सकते हैं. जस्टिस प्रणय. Title Suit Case In Hindi.
From cashier.mijndomein.nl
Payment Simple Settlement Agreement Template Title Suit Case In Hindi बंटवारे का मुकदमा परिवार में प्रॉपर्टी विवाद उत्पन्न होने पर दोनों पक्षों में से किसी एक द्वारा शुरू की गई कार्यवाही है। पार्टिशन डीड एक आधिकारिक डॉक्यूमेंट है, जो या तो अदालत. Title suit के सभी नए नियम | टाइटल सूट केस क्या है title suit kya hai @kanoon key99 #kanoonkey99 #key99. अगर आपके घर या जमीन पर किसी ने. Title Suit Case In Hindi.
From www.livelaw.in
When Title Declaration Suit Seeks Possession Recovery Also, Limitation Title Suit Case In Hindi Title suit के सभी नए नियम | टाइटल सूट केस क्या है title suit kya hai @kanoon key99 #kanoonkey99 #key99. अगर आपके घर या जमीन पर किसी ने कब्जा कर लिया है, तो आप बिना कोर्ट जाए इसको खाली करा सकते हैं. Search for any case on real estate properties, and get any document registered easily. जमीन पर title suit. Title Suit Case In Hindi.
From www.telugubulletin.com
Eagle gets an interesting title in Hindi Title Suit Case In Hindi जस्टिस प्रणय वर्मा की सिंगल जज बेंच ने अपने आदेश में कहा, यह प्रतिवादियों के लिए यह तर्क देने के लिए नहीं है कि वादी के टाइटल को. कोर्ट ने किया बड़ा बदलाव | what is title suit case in hindi | title suit case kya hota haisocial media से. पूनाराम बनाम मोती राम के मामले. जमीन पर title suit. Title Suit Case In Hindi.
From www.youtube.com
किसी दूसरे के खेसरा के पर Title Suit Case हो सकता है? YouTube Title Suit Case In Hindi Search for any case on real estate properties, and get any document registered easily. Title suit के सभी नए नियम | टाइटल सूट केस क्या है title suit kya hai @kanoon key99 #kanoonkey99 #key99. कोर्ट ने किया बड़ा बदलाव | what is title suit case in hindi | title suit case kya hota haisocial media से. With titlesuit, you can. Title Suit Case In Hindi.
From www.scribd.com
Qaswar (Suit for Declaration) Lawsuit Appeal Title Suit Case In Hindi अगर आपके घर या जमीन पर किसी ने कब्जा कर लिया है, तो आप बिना कोर्ट जाए इसको खाली करा सकते हैं. जस्टिस प्रणय वर्मा की सिंगल जज बेंच ने अपने आदेश में कहा, यह प्रतिवादियों के लिए यह तर्क देने के लिए नहीं है कि वादी के टाइटल को. कोर्ट ने किया बड़ा बदलाव | what is title suit. Title Suit Case In Hindi.
From www.deccanherald.com
Ayodhya title suit case Ansari alleges threat to life Title Suit Case In Hindi जस्टिस प्रणय वर्मा की सिंगल जज बेंच ने अपने आदेश में कहा, यह प्रतिवादियों के लिए यह तर्क देने के लिए नहीं है कि वादी के टाइटल को. Search for any case on real estate properties, and get any document registered easily. इस संबंध में सुप्रीम कोर्ट ने अपना फैसला सुनाया है. अगर आपके घर या जमीन पर किसी ने. Title Suit Case In Hindi.
From www.scribd.com
Title Suit PDF Lawsuit Affidavit Title Suit Case In Hindi जस्टिस प्रणय वर्मा की सिंगल जज बेंच ने अपने आदेश में कहा, यह प्रतिवादियों के लिए यह तर्क देने के लिए नहीं है कि वादी के टाइटल को. बंटवारे का मुकदमा परिवार में प्रॉपर्टी विवाद उत्पन्न होने पर दोनों पक्षों में से किसी एक द्वारा शुरू की गई कार्यवाही है। पार्टिशन डीड एक आधिकारिक डॉक्यूमेंट है, जो या तो अदालत.. Title Suit Case In Hindi.
From www.youtube.com
funny moments, 😂High Court, In Title suit case proceedings, justice Title Suit Case In Hindi Search for any case on real estate properties, and get any document registered easily. अगर आपके घर या जमीन पर किसी ने कब्जा कर लिया है, तो आप बिना कोर्ट जाए इसको खाली करा सकते हैं. इस संबंध में सुप्रीम कोर्ट ने अपना फैसला सुनाया है. पूनाराम बनाम मोती राम के मामले. With titlesuit, you can list any property case.. Title Suit Case In Hindi.
From www.docdroid.net
Filed Lawsuit.pdf DocDroid Title Suit Case In Hindi With titlesuit, you can list any property case. जमीन पर title suit डालने के लिए सुप्रीम कोर्ट लाया नया कानून ! कोर्ट ने किया बड़ा बदलाव | what is title suit case in hindi | title suit case kya hota haisocial media से. जस्टिस प्रणय वर्मा की सिंगल जज बेंच ने अपने आदेश में कहा, यह प्रतिवादियों के लिए यह. Title Suit Case In Hindi.
From www.duniyahaigol.com
ब्लैक ड्रेस शायरी स्टेटस Black Dress ( Suit ) Shayari Status Quotes Title Suit Case In Hindi कोर्ट ने किया बड़ा बदलाव | what is title suit case in hindi | title suit case kya hota haisocial media से. अगर आपके घर या जमीन पर किसी ने कब्जा कर लिया है, तो आप बिना कोर्ट जाए इसको खाली करा सकते हैं. पूनाराम बनाम मोती राम के मामले. Title suit के सभी नए नियम | टाइटल सूट केस. Title Suit Case In Hindi.
From www.timesnowhindi.com
Morari Bapu appeals to maintain peace and solidarity after verdict on Title Suit Case In Hindi अगर आपके घर या जमीन पर किसी ने कब्जा कर लिया है, तो आप बिना कोर्ट जाए इसको खाली करा सकते हैं. पूनाराम बनाम मोती राम के मामले. जमीन पर title suit डालने के लिए सुप्रीम कोर्ट लाया नया कानून ! कोर्ट ने किया बड़ा बदलाव | what is title suit case in hindi | title suit case kya hota. Title Suit Case In Hindi.
From shop.handwrittennotes.in
Hindi Grammar ( Part 1) handwritten notes Title Suit Case In Hindi इस संबंध में सुप्रीम कोर्ट ने अपना फैसला सुनाया है. Search for any case on real estate properties, and get any document registered easily. Title suit के सभी नए नियम | टाइटल सूट केस क्या है title suit kya hai @kanoon key99 #kanoonkey99 #key99. पूनाराम बनाम मोती राम के मामले. कोर्ट ने किया बड़ा बदलाव | what is title suit. Title Suit Case In Hindi.
From firstsportz.com
Felipe Massa hints that his 2008 F1 title lawsuit isn't getting enough Title Suit Case In Hindi इस संबंध में सुप्रीम कोर्ट ने अपना फैसला सुनाया है. With titlesuit, you can list any property case. बंटवारे का मुकदमा परिवार में प्रॉपर्टी विवाद उत्पन्न होने पर दोनों पक्षों में से किसी एक द्वारा शुरू की गई कार्यवाही है। पार्टिशन डीड एक आधिकारिक डॉक्यूमेंट है, जो या तो अदालत. Title suit के सभी नए नियम | टाइटल सूट केस. Title Suit Case In Hindi.
From www.youtube.com
जमीन का टाइटल सूट कोर्ट केस कैसे जीते/ title suit case kya hai YouTube Title Suit Case In Hindi जस्टिस प्रणय वर्मा की सिंगल जज बेंच ने अपने आदेश में कहा, यह प्रतिवादियों के लिए यह तर्क देने के लिए नहीं है कि वादी के टाइटल को. कोर्ट ने किया बड़ा बदलाव | what is title suit case in hindi | title suit case kya hota haisocial media से. जमीन पर title suit डालने के लिए सुप्रीम कोर्ट लाया. Title Suit Case In Hindi.
From www.youtube.com
Best Titles For Teachers In Hindi Part5 YouTube Title Suit Case In Hindi With titlesuit, you can list any property case. जमीन पर title suit डालने के लिए सुप्रीम कोर्ट लाया नया कानून ! इस संबंध में सुप्रीम कोर्ट ने अपना फैसला सुनाया है. जस्टिस प्रणय वर्मा की सिंगल जज बेंच ने अपने आदेश में कहा, यह प्रतिवादियों के लिए यह तर्क देने के लिए नहीं है कि वादी के टाइटल को. अगर. Title Suit Case In Hindi.
From bharatlyrics.com
SUIT (TITLE) LYRICS Nisha Bano Suit (2017) Title Suit Case In Hindi बंटवारे का मुकदमा परिवार में प्रॉपर्टी विवाद उत्पन्न होने पर दोनों पक्षों में से किसी एक द्वारा शुरू की गई कार्यवाही है। पार्टिशन डीड एक आधिकारिक डॉक्यूमेंट है, जो या तो अदालत. Title suit के सभी नए नियम | टाइटल सूट केस क्या है title suit kya hai @kanoon key99 #kanoonkey99 #key99. जमीन पर title suit डालने के लिए सुप्रीम. Title Suit Case In Hindi.
From www.scribd.com
LAND TITLES and DEEDS Case Digest Download Free PDF Jurisdiction Title Suit Case In Hindi कोर्ट ने किया बड़ा बदलाव | what is title suit case in hindi | title suit case kya hota haisocial media से. With titlesuit, you can list any property case. बंटवारे का मुकदमा परिवार में प्रॉपर्टी विवाद उत्पन्न होने पर दोनों पक्षों में से किसी एक द्वारा शुरू की गई कार्यवाही है। पार्टिशन डीड एक आधिकारिक डॉक्यूमेंट है, जो या. Title Suit Case In Hindi.
From gharnmakaan.com
Rent Agreement Format In Hindi, Lease Agreement In India Title Suit Case In Hindi बंटवारे का मुकदमा परिवार में प्रॉपर्टी विवाद उत्पन्न होने पर दोनों पक्षों में से किसी एक द्वारा शुरू की गई कार्यवाही है। पार्टिशन डीड एक आधिकारिक डॉक्यूमेंट है, जो या तो अदालत. जस्टिस प्रणय वर्मा की सिंगल जज बेंच ने अपने आदेश में कहा, यह प्रतिवादियों के लिए यह तर्क देने के लिए नहीं है कि वादी के टाइटल को.. Title Suit Case In Hindi.
From www.youtube.com
जमीन की समस्या का हल कोर्ट से cout case for property title suit kya Title Suit Case In Hindi बंटवारे का मुकदमा परिवार में प्रॉपर्टी विवाद उत्पन्न होने पर दोनों पक्षों में से किसी एक द्वारा शुरू की गई कार्यवाही है। पार्टिशन डीड एक आधिकारिक डॉक्यूमेंट है, जो या तो अदालत. कोर्ट ने किया बड़ा बदलाव | what is title suit case in hindi | title suit case kya hota haisocial media से. Search for any case on real. Title Suit Case In Hindi.