Elk Point Sd Marriage License . 209 e main st, suite 210. Learn the requirements for a marriage license and where to get the vital records in south dakota. Marriage licenses cost $40, and the licenses is valid for 90 days from the date of issuance. You can learn how to get a marriage license, a marriage certificate, or marriage records from your local marriage license office, clerk, health. Information provided on this application is used to create a south dakota marriage license. Obtain your license application worksheet from the county register of deeds office or. Once the register of deeds presents your marriage. How to apply for a marriage certificate for south dakota: Lookup public records in union county, south dakota. 209 east main street, suite 230. Including vital birth and death records, deeds, probate, property records, mortgages,.
from exomuvqjn.blob.core.windows.net
Including vital birth and death records, deeds, probate, property records, mortgages,. Lookup public records in union county, south dakota. Learn the requirements for a marriage license and where to get the vital records in south dakota. 209 e main st, suite 210. How to apply for a marriage certificate for south dakota: Information provided on this application is used to create a south dakota marriage license. 209 east main street, suite 230. You can learn how to get a marriage license, a marriage certificate, or marriage records from your local marriage license office, clerk, health. Marriage licenses cost $40, and the licenses is valid for 90 days from the date of issuance. Once the register of deeds presents your marriage.
House For Rent Elk Point at Christopher Schiller blog
Elk Point Sd Marriage License How to apply for a marriage certificate for south dakota: Obtain your license application worksheet from the county register of deeds office or. Lookup public records in union county, south dakota. Information provided on this application is used to create a south dakota marriage license. Once the register of deeds presents your marriage. 209 e main st, suite 210. Marriage licenses cost $40, and the licenses is valid for 90 days from the date of issuance. Including vital birth and death records, deeds, probate, property records, mortgages,. How to apply for a marriage certificate for south dakota: Learn the requirements for a marriage license and where to get the vital records in south dakota. You can learn how to get a marriage license, a marriage certificate, or marriage records from your local marriage license office, clerk, health. 209 east main street, suite 230.
From shop.old-maps.com
Elk Point, South Dakota 1901 Old Town Map Custom Print Union Co. OLD MAPS Elk Point Sd Marriage License Obtain your license application worksheet from the county register of deeds office or. How to apply for a marriage certificate for south dakota: Learn the requirements for a marriage license and where to get the vital records in south dakota. Lookup public records in union county, south dakota. You can learn how to get a marriage license, a marriage certificate,. Elk Point Sd Marriage License.
From www.pinterest.com
Elk Point, County Seat, South Dakota, Usa, U.s. States Elk Point Sd Marriage License Learn the requirements for a marriage license and where to get the vital records in south dakota. You can learn how to get a marriage license, a marriage certificate, or marriage records from your local marriage license office, clerk, health. 209 e main st, suite 210. 209 east main street, suite 230. Marriage licenses cost $40, and the licenses is. Elk Point Sd Marriage License.
From exoopiifn.blob.core.windows.net
Elk Point Sd Businesses at Ethel Hanselman blog Elk Point Sd Marriage License Obtain your license application worksheet from the county register of deeds office or. Learn the requirements for a marriage license and where to get the vital records in south dakota. Once the register of deeds presents your marriage. How to apply for a marriage certificate for south dakota: Marriage licenses cost $40, and the licenses is valid for 90 days. Elk Point Sd Marriage License.
From www.dreamstime.com
Union County Courthouse Elk Point South Dakota Editorial Image Image of county, municipal Elk Point Sd Marriage License You can learn how to get a marriage license, a marriage certificate, or marriage records from your local marriage license office, clerk, health. Lookup public records in union county, south dakota. Marriage licenses cost $40, and the licenses is valid for 90 days from the date of issuance. 209 e main st, suite 210. Once the register of deeds presents. Elk Point Sd Marriage License.
From www.landandfarm.com
20 Acres, 47722 50 Hwy, Elk Point, SD 57025 Land and Farm Elk Point Sd Marriage License Lookup public records in union county, south dakota. How to apply for a marriage certificate for south dakota: 209 east main street, suite 230. Information provided on this application is used to create a south dakota marriage license. Including vital birth and death records, deeds, probate, property records, mortgages,. Marriage licenses cost $40, and the licenses is valid for 90. Elk Point Sd Marriage License.
From www.archives.gov.on.ca
Example of Marriage Registration 1911 to 1925 (front) Elk Point Sd Marriage License 209 e main st, suite 210. Lookup public records in union county, south dakota. Marriage licenses cost $40, and the licenses is valid for 90 days from the date of issuance. You can learn how to get a marriage license, a marriage certificate, or marriage records from your local marriage license office, clerk, health. How to apply for a marriage. Elk Point Sd Marriage License.
From exoncwynd.blob.core.windows.net
Black Elk Point South Dakota at Selena Sluss blog Elk Point Sd Marriage License Marriage licenses cost $40, and the licenses is valid for 90 days from the date of issuance. Learn the requirements for a marriage license and where to get the vital records in south dakota. Obtain your license application worksheet from the county register of deeds office or. Lookup public records in union county, south dakota. Information provided on this application. Elk Point Sd Marriage License.
From themeadowbarn.com
10 Best Steps to Get a South Dakota Marriage License & Plan a SD Wedding Elk Point Sd Marriage License How to apply for a marriage certificate for south dakota: Learn the requirements for a marriage license and where to get the vital records in south dakota. Including vital birth and death records, deeds, probate, property records, mortgages,. Once the register of deeds presents your marriage. You can learn how to get a marriage license, a marriage certificate, or marriage. Elk Point Sd Marriage License.
From www.yourjoyfulwedding.com
What you need to know about your South Dakota marriage license Elk Point Sd Marriage License How to apply for a marriage certificate for south dakota: Lookup public records in union county, south dakota. Information provided on this application is used to create a south dakota marriage license. Once the register of deeds presents your marriage. Marriage licenses cost $40, and the licenses is valid for 90 days from the date of issuance. 209 east main. Elk Point Sd Marriage License.
From www.familysearch.org
StepbyStep North Dakota Research, 1893Present • FamilySearch Elk Point Sd Marriage License You can learn how to get a marriage license, a marriage certificate, or marriage records from your local marriage license office, clerk, health. 209 east main street, suite 230. Including vital birth and death records, deeds, probate, property records, mortgages,. Information provided on this application is used to create a south dakota marriage license. Obtain your license application worksheet from. Elk Point Sd Marriage License.
From exoncwynd.blob.core.windows.net
Black Elk Point South Dakota at Selena Sluss blog Elk Point Sd Marriage License Learn the requirements for a marriage license and where to get the vital records in south dakota. 209 e main st, suite 210. Once the register of deeds presents your marriage. Information provided on this application is used to create a south dakota marriage license. You can learn how to get a marriage license, a marriage certificate, or marriage records. Elk Point Sd Marriage License.
From musteruebersetzungen.de
License and Certificate of Marriage San Diego, California Musterübersetzungen von Urkunden Elk Point Sd Marriage License You can learn how to get a marriage license, a marriage certificate, or marriage records from your local marriage license office, clerk, health. Information provided on this application is used to create a south dakota marriage license. How to apply for a marriage certificate for south dakota: Once the register of deeds presents your marriage. 209 east main street, suite. Elk Point Sd Marriage License.
From exoojivaj.blob.core.windows.net
Apartments For Rent In Elk Point Sd at Spencer Gilligan blog Elk Point Sd Marriage License Learn the requirements for a marriage license and where to get the vital records in south dakota. 209 e main st, suite 210. 209 east main street, suite 230. Obtain your license application worksheet from the county register of deeds office or. How to apply for a marriage certificate for south dakota: Information provided on this application is used to. Elk Point Sd Marriage License.
From www.zola.com
Emma McInerney and Drew Jensen's Wedding site Elk Point Sd Marriage License Obtain your license application worksheet from the county register of deeds office or. 209 east main street, suite 230. Marriage licenses cost $40, and the licenses is valid for 90 days from the date of issuance. Lookup public records in union county, south dakota. You can learn how to get a marriage license, a marriage certificate, or marriage records from. Elk Point Sd Marriage License.
From washington.licenselookup.org
Washington Marriage License License Lookup Elk Point Sd Marriage License Obtain your license application worksheet from the county register of deeds office or. Marriage licenses cost $40, and the licenses is valid for 90 days from the date of issuance. Information provided on this application is used to create a south dakota marriage license. 209 e main st, suite 210. Including vital birth and death records, deeds, probate, property records,. Elk Point Sd Marriage License.
From www.zillow.com
1108 Country Club Dr, Elk Point, SD 57025 MLS 816767 Zillow Elk Point Sd Marriage License Once the register of deeds presents your marriage. How to apply for a marriage certificate for south dakota: Information provided on this application is used to create a south dakota marriage license. You can learn how to get a marriage license, a marriage certificate, or marriage records from your local marriage license office, clerk, health. 209 e main st, suite. Elk Point Sd Marriage License.
From southdakota.recordspage.org
Obtain Free South Dakota Marriage Records License Search Elk Point Sd Marriage License Information provided on this application is used to create a south dakota marriage license. You can learn how to get a marriage license, a marriage certificate, or marriage records from your local marriage license office, clerk, health. How to apply for a marriage certificate for south dakota: Once the register of deeds presents your marriage. 209 e main st, suite. Elk Point Sd Marriage License.
From www.newspapers.com
Early Elk Point, SO. Dakota history, Victor Cordier Elk Point Sd Marriage License Marriage licenses cost $40, and the licenses is valid for 90 days from the date of issuance. Obtain your license application worksheet from the county register of deeds office or. 209 east main street, suite 230. 209 e main st, suite 210. Once the register of deeds presents your marriage. Learn the requirements for a marriage license and where to. Elk Point Sd Marriage License.
From cactus-collective.com
How to Get a Marriage License in South Dakota Elk Point Sd Marriage License Once the register of deeds presents your marriage. Learn the requirements for a marriage license and where to get the vital records in south dakota. Marriage licenses cost $40, and the licenses is valid for 90 days from the date of issuance. Including vital birth and death records, deeds, probate, property records, mortgages,. Information provided on this application is used. Elk Point Sd Marriage License.
From www.alamy.com
Map of elk point hires stock photography and images Alamy Elk Point Sd Marriage License Learn the requirements for a marriage license and where to get the vital records in south dakota. You can learn how to get a marriage license, a marriage certificate, or marriage records from your local marriage license office, clerk, health. Once the register of deeds presents your marriage. 209 east main street, suite 230. Lookup public records in union county,. Elk Point Sd Marriage License.
From southdakota.licenselookup.org
South Dakota Marriage License License Lookup Elk Point Sd Marriage License Including vital birth and death records, deeds, probate, property records, mortgages,. Information provided on this application is used to create a south dakota marriage license. Once the register of deeds presents your marriage. Learn the requirements for a marriage license and where to get the vital records in south dakota. Lookup public records in union county, south dakota. You can. Elk Point Sd Marriage License.
From exoojivaj.blob.core.windows.net
Apartments For Rent In Elk Point Sd at Spencer Gilligan blog Elk Point Sd Marriage License Once the register of deeds presents your marriage. 209 east main street, suite 230. Including vital birth and death records, deeds, probate, property records, mortgages,. Marriage licenses cost $40, and the licenses is valid for 90 days from the date of issuance. You can learn how to get a marriage license, a marriage certificate, or marriage records from your local. Elk Point Sd Marriage License.
From familyhistorynuggets.blogspot.com
Family History Nuggets March 2012 Elk Point Sd Marriage License Lookup public records in union county, south dakota. Marriage licenses cost $40, and the licenses is valid for 90 days from the date of issuance. Including vital birth and death records, deeds, probate, property records, mortgages,. 209 e main st, suite 210. How to apply for a marriage certificate for south dakota: 209 east main street, suite 230. You can. Elk Point Sd Marriage License.
From idaho.licenselookup.org
Idaho Marriage License License Lookup Elk Point Sd Marriage License 209 east main street, suite 230. Information provided on this application is used to create a south dakota marriage license. Lookup public records in union county, south dakota. You can learn how to get a marriage license, a marriage certificate, or marriage records from your local marriage license office, clerk, health. Learn the requirements for a marriage license and where. Elk Point Sd Marriage License.
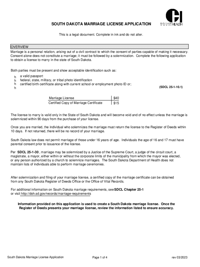
From www.pdffiller.com
Fillable Online turner sdcounties SOUTH DAKOTA MARRIAGE LICENSE APPLICATION Fax Email Print Elk Point Sd Marriage License 209 e main st, suite 210. Once the register of deeds presents your marriage. Lookup public records in union county, south dakota. Learn the requirements for a marriage license and where to get the vital records in south dakota. Marriage licenses cost $40, and the licenses is valid for 90 days from the date of issuance. How to apply for. Elk Point Sd Marriage License.
From handypdf.com
Marriage License and Certificate Form North Dakota Edit, Fill, Sign Online Handypdf Elk Point Sd Marriage License You can learn how to get a marriage license, a marriage certificate, or marriage records from your local marriage license office, clerk, health. 209 east main street, suite 230. Once the register of deeds presents your marriage. Including vital birth and death records, deeds, probate, property records, mortgages,. 209 e main st, suite 210. Learn the requirements for a marriage. Elk Point Sd Marriage License.
From www.youtube.com
Elk Point Economic Development Park Elk Point, South Dakota YouTube Elk Point Sd Marriage License Obtain your license application worksheet from the county register of deeds office or. Marriage licenses cost $40, and the licenses is valid for 90 days from the date of issuance. Lookup public records in union county, south dakota. How to apply for a marriage certificate for south dakota: 209 east main street, suite 230. Including vital birth and death records,. Elk Point Sd Marriage License.
From blog.statemuseum.nd.gov
Archives Adventures During State Historical Society of North Dakota Blog Elk Point Sd Marriage License Obtain your license application worksheet from the county register of deeds office or. How to apply for a marriage certificate for south dakota: You can learn how to get a marriage license, a marriage certificate, or marriage records from your local marriage license office, clerk, health. Lookup public records in union county, south dakota. Once the register of deeds presents. Elk Point Sd Marriage License.
From exomuvqjn.blob.core.windows.net
House For Rent Elk Point at Christopher Schiller blog Elk Point Sd Marriage License 209 east main street, suite 230. 209 e main st, suite 210. Including vital birth and death records, deeds, probate, property records, mortgages,. Lookup public records in union county, south dakota. How to apply for a marriage certificate for south dakota: Information provided on this application is used to create a south dakota marriage license. Learn the requirements for a. Elk Point Sd Marriage License.
From uspopulation.org
Elk Point, Union County, South Dakota Population Demographics, Employment, Housing Elk Point Sd Marriage License 209 e main st, suite 210. You can learn how to get a marriage license, a marriage certificate, or marriage records from your local marriage license office, clerk, health. Learn the requirements for a marriage license and where to get the vital records in south dakota. Information provided on this application is used to create a south dakota marriage license.. Elk Point Sd Marriage License.
From www.elkpoint.ca
Tourism & Recreation Town of Elk Point Elk Point Sd Marriage License 209 e main st, suite 210. Marriage licenses cost $40, and the licenses is valid for 90 days from the date of issuance. Including vital birth and death records, deeds, probate, property records, mortgages,. Obtain your license application worksheet from the county register of deeds office or. Information provided on this application is used to create a south dakota marriage. Elk Point Sd Marriage License.
From www.alamy.com
Map of elk point hires stock photography and images Alamy Elk Point Sd Marriage License Including vital birth and death records, deeds, probate, property records, mortgages,. Learn the requirements for a marriage license and where to get the vital records in south dakota. You can learn how to get a marriage license, a marriage certificate, or marriage records from your local marriage license office, clerk, health. Once the register of deeds presents your marriage. Obtain. Elk Point Sd Marriage License.
From saadimg.weebly.com
saadimg Blog Elk Point Sd Marriage License You can learn how to get a marriage license, a marriage certificate, or marriage records from your local marriage license office, clerk, health. Marriage licenses cost $40, and the licenses is valid for 90 days from the date of issuance. 209 east main street, suite 230. 209 e main st, suite 210. Lookup public records in union county, south dakota.. Elk Point Sd Marriage License.
From www.pinterest.com
Marriage records, Marriage, Marriage license Elk Point Sd Marriage License 209 e main st, suite 210. Marriage licenses cost $40, and the licenses is valid for 90 days from the date of issuance. How to apply for a marriage certificate for south dakota: Including vital birth and death records, deeds, probate, property records, mortgages,. Once the register of deeds presents your marriage. Learn the requirements for a marriage license and. Elk Point Sd Marriage License.
From www.wikitree.com
South Dakota, Marriages, 19052016 Elk Point Sd Marriage License Lookup public records in union county, south dakota. 209 e main st, suite 210. 209 east main street, suite 230. Learn the requirements for a marriage license and where to get the vital records in south dakota. You can learn how to get a marriage license, a marriage certificate, or marriage records from your local marriage license office, clerk, health.. Elk Point Sd Marriage License.