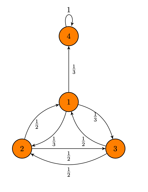
What Is Aperiodic Markov Chain . The proof is another easy exercise. Markov chain is irreducible, then all states have the same period. If we have an irreducible markov chain, this means that the chain is aperiodic. P r (x n ′ = i | x 0 = i)> 0. A markov chain is aperiodic if every state is aperiodic. Aperiodic markov chains are a type of markov chain where the system does not return to a particular state in a fixed number of steps,. There is a simple test to check. Otherwise (k > 1), the state is said to be periodic with period k. Periodicity is a class property. A state $s$ is aperiodic if the times of possible (positive probability) return to $s$ have a largest common denominator equal to. This means that, if one of the states in an irreducible markov chain is aperiodic, say, then all the remaining states are. Markov chain (discrete time and state, time homogeneous) we say that (xi)1 is a markov chain on state space i with i=0 initial.
from gregorygundersen.com
There is a simple test to check. Markov chain is irreducible, then all states have the same period. A state $s$ is aperiodic if the times of possible (positive probability) return to $s$ have a largest common denominator equal to. P r (x n ′ = i | x 0 = i)> 0. Otherwise (k > 1), the state is said to be periodic with period k. Markov chain (discrete time and state, time homogeneous) we say that (xi)1 is a markov chain on state space i with i=0 initial. Aperiodic markov chains are a type of markov chain where the system does not return to a particular state in a fixed number of steps,. Periodicity is a class property. The proof is another easy exercise. A markov chain is aperiodic if every state is aperiodic.
A Romantic View of Markov Chains
What Is Aperiodic Markov Chain Aperiodic markov chains are a type of markov chain where the system does not return to a particular state in a fixed number of steps,. If we have an irreducible markov chain, this means that the chain is aperiodic. Markov chain (discrete time and state, time homogeneous) we say that (xi)1 is a markov chain on state space i with i=0 initial. Periodicity is a class property. P r (x n ′ = i | x 0 = i)> 0. This means that, if one of the states in an irreducible markov chain is aperiodic, say, then all the remaining states are. Otherwise (k > 1), the state is said to be periodic with period k. A state $s$ is aperiodic if the times of possible (positive probability) return to $s$ have a largest common denominator equal to. Aperiodic markov chains are a type of markov chain where the system does not return to a particular state in a fixed number of steps,. Markov chain is irreducible, then all states have the same period. There is a simple test to check. A markov chain is aperiodic if every state is aperiodic. The proof is another easy exercise.
From www.slideserve.com
PPT Haplotype Analysis based on Markov Chain Monte Carlo PowerPoint What Is Aperiodic Markov Chain If we have an irreducible markov chain, this means that the chain is aperiodic. A markov chain is aperiodic if every state is aperiodic. P r (x n ′ = i | x 0 = i)> 0. Periodicity is a class property. A state $s$ is aperiodic if the times of possible (positive probability) return to $s$ have a largest. What Is Aperiodic Markov Chain.
From loeltahsp.blob.core.windows.net
What Is Periodic Markov Chain at Brooke Bush blog What Is Aperiodic Markov Chain This means that, if one of the states in an irreducible markov chain is aperiodic, say, then all the remaining states are. A state $s$ is aperiodic if the times of possible (positive probability) return to $s$ have a largest common denominator equal to. A markov chain is aperiodic if every state is aperiodic. If we have an irreducible markov. What Is Aperiodic Markov Chain.
From gregorygundersen.com
Ergodic Markov Chains What Is Aperiodic Markov Chain P r (x n ′ = i | x 0 = i)> 0. A markov chain is aperiodic if every state is aperiodic. A state $s$ is aperiodic if the times of possible (positive probability) return to $s$ have a largest common denominator equal to. Aperiodic markov chains are a type of markov chain where the system does not return. What Is Aperiodic Markov Chain.
From www.chegg.com
Consider an irreducible aperiodic Markov chain X = What Is Aperiodic Markov Chain Aperiodic markov chains are a type of markov chain where the system does not return to a particular state in a fixed number of steps,. Otherwise (k > 1), the state is said to be periodic with period k. Markov chain (discrete time and state, time homogeneous) we say that (xi)1 is a markov chain on state space i with. What Is Aperiodic Markov Chain.
From loeltahsp.blob.core.windows.net
What Is Periodic Markov Chain at Brooke Bush blog What Is Aperiodic Markov Chain This means that, if one of the states in an irreducible markov chain is aperiodic, say, then all the remaining states are. Otherwise (k > 1), the state is said to be periodic with period k. Markov chain is irreducible, then all states have the same period. The proof is another easy exercise. P r (x n ′ = i. What Is Aperiodic Markov Chain.
From towardsdatascience.com
A brief introduction to Markov chains Towards Data Science What Is Aperiodic Markov Chain Otherwise (k > 1), the state is said to be periodic with period k. Periodicity is a class property. P r (x n ′ = i | x 0 = i)> 0. Markov chain (discrete time and state, time homogeneous) we say that (xi)1 is a markov chain on state space i with i=0 initial. A markov chain is aperiodic. What Is Aperiodic Markov Chain.
From www.youtube.com
[CS 70] Markov Chains More Definitions YouTube What Is Aperiodic Markov Chain A markov chain is aperiodic if every state is aperiodic. Periodicity is a class property. There is a simple test to check. P r (x n ′ = i | x 0 = i)> 0. If we have an irreducible markov chain, this means that the chain is aperiodic. Aperiodic markov chains are a type of markov chain where the. What Is Aperiodic Markov Chain.
From www.slideserve.com
PPT Markov Chains PowerPoint Presentation, free download ID6008214 What Is Aperiodic Markov Chain Markov chain (discrete time and state, time homogeneous) we say that (xi)1 is a markov chain on state space i with i=0 initial. A markov chain is aperiodic if every state is aperiodic. Periodicity is a class property. A state $s$ is aperiodic if the times of possible (positive probability) return to $s$ have a largest common denominator equal to.. What Is Aperiodic Markov Chain.
From www.slideserve.com
PPT Markov chains PowerPoint Presentation, free download ID6176191 What Is Aperiodic Markov Chain If we have an irreducible markov chain, this means that the chain is aperiodic. This means that, if one of the states in an irreducible markov chain is aperiodic, say, then all the remaining states are. A state $s$ is aperiodic if the times of possible (positive probability) return to $s$ have a largest common denominator equal to. Otherwise (k. What Is Aperiodic Markov Chain.
From www.chegg.com
16. Which of the following Markov chains with What Is Aperiodic Markov Chain A state $s$ is aperiodic if the times of possible (positive probability) return to $s$ have a largest common denominator equal to. P r (x n ′ = i | x 0 = i)> 0. Periodicity is a class property. Aperiodic markov chains are a type of markov chain where the system does not return to a particular state in. What Is Aperiodic Markov Chain.
From www.chegg.com
Consider the following irreducible, aperiodic Markov What Is Aperiodic Markov Chain Markov chain is irreducible, then all states have the same period. Periodicity is a class property. A state $s$ is aperiodic if the times of possible (positive probability) return to $s$ have a largest common denominator equal to. A markov chain is aperiodic if every state is aperiodic. The proof is another easy exercise. This means that, if one of. What Is Aperiodic Markov Chain.
From www.slideserve.com
PPT Markov Chains PowerPoint Presentation, free download ID6008214 What Is Aperiodic Markov Chain Periodicity is a class property. Markov chain is irreducible, then all states have the same period. The proof is another easy exercise. Aperiodic markov chains are a type of markov chain where the system does not return to a particular state in a fixed number of steps,. Markov chain (discrete time and state, time homogeneous) we say that (xi)1 is. What Is Aperiodic Markov Chain.
From www.slideserve.com
PPT Markov Chains Lecture 5 PowerPoint Presentation, free download What Is Aperiodic Markov Chain Aperiodic markov chains are a type of markov chain where the system does not return to a particular state in a fixed number of steps,. P r (x n ′ = i | x 0 = i)> 0. If we have an irreducible markov chain, this means that the chain is aperiodic. A markov chain is aperiodic if every state. What Is Aperiodic Markov Chain.
From www.machinelearningplus.com
Gentle Introduction to Markov Chain Machine Learning Plus What Is Aperiodic Markov Chain Otherwise (k > 1), the state is said to be periodic with period k. Periodicity is a class property. Aperiodic markov chains are a type of markov chain where the system does not return to a particular state in a fixed number of steps,. P r (x n ′ = i | x 0 = i)> 0. Markov chain (discrete. What Is Aperiodic Markov Chain.
From bookdown.org
Chapter 8 Stochastic Process and Markov Chains LectureNotes.knit What Is Aperiodic Markov Chain Aperiodic markov chains are a type of markov chain where the system does not return to a particular state in a fixed number of steps,. Markov chain (discrete time and state, time homogeneous) we say that (xi)1 is a markov chain on state space i with i=0 initial. P r (x n ′ = i | x 0 = i)>. What Is Aperiodic Markov Chain.
From loeltahsp.blob.core.windows.net
What Is Periodic Markov Chain at Brooke Bush blog What Is Aperiodic Markov Chain A state $s$ is aperiodic if the times of possible (positive probability) return to $s$ have a largest common denominator equal to. Markov chain is irreducible, then all states have the same period. Markov chain (discrete time and state, time homogeneous) we say that (xi)1 is a markov chain on state space i with i=0 initial. There is a simple. What Is Aperiodic Markov Chain.
From slidetodoc.com
Markov Chains Summary n n Markov Chains Discrete What Is Aperiodic Markov Chain Markov chain is irreducible, then all states have the same period. The proof is another easy exercise. Aperiodic markov chains are a type of markov chain where the system does not return to a particular state in a fixed number of steps,. P r (x n ′ = i | x 0 = i)> 0. A markov chain is aperiodic. What Is Aperiodic Markov Chain.
From stats.stackexchange.com
stochastic processes Intuitive explanation for periodicity in Markov What Is Aperiodic Markov Chain Markov chain is irreducible, then all states have the same period. If we have an irreducible markov chain, this means that the chain is aperiodic. Markov chain (discrete time and state, time homogeneous) we say that (xi)1 is a markov chain on state space i with i=0 initial. P r (x n ′ = i | x 0 = i)>. What Is Aperiodic Markov Chain.
From stats.stackexchange.com
How can i identify wether a Markov Chain is irreducible? Cross Validated What Is Aperiodic Markov Chain Markov chain is irreducible, then all states have the same period. This means that, if one of the states in an irreducible markov chain is aperiodic, say, then all the remaining states are. Otherwise (k > 1), the state is said to be periodic with period k. A state $s$ is aperiodic if the times of possible (positive probability) return. What Is Aperiodic Markov Chain.
From www.researchgate.net
Markov chains a, Markov chain for L = 1. States are represented by What Is Aperiodic Markov Chain Otherwise (k > 1), the state is said to be periodic with period k. There is a simple test to check. This means that, if one of the states in an irreducible markov chain is aperiodic, say, then all the remaining states are. Markov chain is irreducible, then all states have the same period. If we have an irreducible markov. What Is Aperiodic Markov Chain.
From www.slideserve.com
PPT Markov Chains Lecture 5 PowerPoint Presentation, free download What Is Aperiodic Markov Chain Markov chain is irreducible, then all states have the same period. Markov chain (discrete time and state, time homogeneous) we say that (xi)1 is a markov chain on state space i with i=0 initial. This means that, if one of the states in an irreducible markov chain is aperiodic, say, then all the remaining states are. Otherwise (k > 1),. What Is Aperiodic Markov Chain.
From www.youtube.com
(ML 18.5) Examples of Markov chains with various properties (part 2 What Is Aperiodic Markov Chain There is a simple test to check. A markov chain is aperiodic if every state is aperiodic. The proof is another easy exercise. P r (x n ′ = i | x 0 = i)> 0. This means that, if one of the states in an irreducible markov chain is aperiodic, say, then all the remaining states are. Aperiodic markov. What Is Aperiodic Markov Chain.
From www.youtube.com
L25.6 Periodic States YouTube What Is Aperiodic Markov Chain A state $s$ is aperiodic if the times of possible (positive probability) return to $s$ have a largest common denominator equal to. Periodicity is a class property. Otherwise (k > 1), the state is said to be periodic with period k. P r (x n ′ = i | x 0 = i)> 0. The proof is another easy exercise.. What Is Aperiodic Markov Chain.
From www.slideserve.com
PPT Markov Chains PowerPoint Presentation, free download ID6008214 What Is Aperiodic Markov Chain P r (x n ′ = i | x 0 = i)> 0. The proof is another easy exercise. Markov chain is irreducible, then all states have the same period. Otherwise (k > 1), the state is said to be periodic with period k. Markov chain (discrete time and state, time homogeneous) we say that (xi)1 is a markov chain. What Is Aperiodic Markov Chain.
From www.researchgate.net
Network Markov Chain Representation denoted as N k . This graph What Is Aperiodic Markov Chain Markov chain (discrete time and state, time homogeneous) we say that (xi)1 is a markov chain on state space i with i=0 initial. This means that, if one of the states in an irreducible markov chain is aperiodic, say, then all the remaining states are. P r (x n ′ = i | x 0 = i)> 0. Aperiodic markov. What Is Aperiodic Markov Chain.
From brilliant.org
Markov Chains Brilliant Math & Science Wiki What Is Aperiodic Markov Chain Markov chain (discrete time and state, time homogeneous) we say that (xi)1 is a markov chain on state space i with i=0 initial. The proof is another easy exercise. A markov chain is aperiodic if every state is aperiodic. Aperiodic markov chains are a type of markov chain where the system does not return to a particular state in a. What Is Aperiodic Markov Chain.
From www.chegg.com
Solved Consider the following irreducible, aperiodic Markov What Is Aperiodic Markov Chain A state $s$ is aperiodic if the times of possible (positive probability) return to $s$ have a largest common denominator equal to. Aperiodic markov chains are a type of markov chain where the system does not return to a particular state in a fixed number of steps,. Periodicity is a class property. A markov chain is aperiodic if every state. What Is Aperiodic Markov Chain.
From www.youtube.com
Transient, recurrent states, and irreducible, closed sets in the Markov What Is Aperiodic Markov Chain Otherwise (k > 1), the state is said to be periodic with period k. The proof is another easy exercise. Markov chain (discrete time and state, time homogeneous) we say that (xi)1 is a markov chain on state space i with i=0 initial. A markov chain is aperiodic if every state is aperiodic. P r (x n ′ = i. What Is Aperiodic Markov Chain.
From loeltahsp.blob.core.windows.net
What Is Periodic Markov Chain at Brooke Bush blog What Is Aperiodic Markov Chain Aperiodic markov chains are a type of markov chain where the system does not return to a particular state in a fixed number of steps,. Periodicity is a class property. P r (x n ′ = i | x 0 = i)> 0. Otherwise (k > 1), the state is said to be periodic with period k. The proof is. What Is Aperiodic Markov Chain.
From mpaldridge.github.io
Section 7 Class structure MATH2750 Introduction to Markov Processes What Is Aperiodic Markov Chain A state $s$ is aperiodic if the times of possible (positive probability) return to $s$ have a largest common denominator equal to. Periodicity is a class property. Markov chain is irreducible, then all states have the same period. Markov chain (discrete time and state, time homogeneous) we say that (xi)1 is a markov chain on state space i with i=0. What Is Aperiodic Markov Chain.
From www.youtube.com
Markov Chains Clearly Explained! Part 1 YouTube What Is Aperiodic Markov Chain Periodicity is a class property. Markov chain is irreducible, then all states have the same period. A markov chain is aperiodic if every state is aperiodic. Aperiodic markov chains are a type of markov chain where the system does not return to a particular state in a fixed number of steps,. Otherwise (k > 1), the state is said to. What Is Aperiodic Markov Chain.
From es.wikipedia.org
Cadena de Márkov Wikipedia, la enciclopedia libre What Is Aperiodic Markov Chain Markov chain is irreducible, then all states have the same period. A markov chain is aperiodic if every state is aperiodic. If we have an irreducible markov chain, this means that the chain is aperiodic. Periodicity is a class property. P r (x n ′ = i | x 0 = i)> 0. There is a simple test to check.. What Is Aperiodic Markov Chain.
From www.slideserve.com
PPT Markov Chains Lecture 5 PowerPoint Presentation, free download What Is Aperiodic Markov Chain A state $s$ is aperiodic if the times of possible (positive probability) return to $s$ have a largest common denominator equal to. This means that, if one of the states in an irreducible markov chain is aperiodic, say, then all the remaining states are. Otherwise (k > 1), the state is said to be periodic with period k. Aperiodic markov. What Is Aperiodic Markov Chain.
From gregorygundersen.com
A Romantic View of Markov Chains What Is Aperiodic Markov Chain The proof is another easy exercise. Markov chain is irreducible, then all states have the same period. Periodicity is a class property. Aperiodic markov chains are a type of markov chain where the system does not return to a particular state in a fixed number of steps,. A state $s$ is aperiodic if the times of possible (positive probability) return. What Is Aperiodic Markov Chain.
From www.analyticsvidhya.com
A Comprehensive Guide on Markov Chain Analytics Vidhya What Is Aperiodic Markov Chain If we have an irreducible markov chain, this means that the chain is aperiodic. This means that, if one of the states in an irreducible markov chain is aperiodic, say, then all the remaining states are. The proof is another easy exercise. There is a simple test to check. A markov chain is aperiodic if every state is aperiodic. Periodicity. What Is Aperiodic Markov Chain.