The Ideal Gas Law Instruction Quizlet . the ideal gas law combines the empirical laws into a single expression. under what conditions does the ideal gas law not apply and gases are considered real? study with quizlet and memorize flashcards containing terms like which laws can be combined to form the ideal gas law?,. describe the ideal gas law. Use the ideal gas law to calculate pressure, volume, temperature, or moles of an ideal gas. study with quizlet and memorize flashcards containing terms like mole, the ideals gas law relates the, avogadro's principle. the ideal gas law describes the behavior of an ideal gas, a hypothetical substance whose behavior can be explained quantitatively. It also predicts the existence of a single, universal gas. — use the ideal gas law to calculate pressure change, temperature change, volume change, or the number of molecules or moles in a.
from www.britannica.com
— use the ideal gas law to calculate pressure change, temperature change, volume change, or the number of molecules or moles in a. study with quizlet and memorize flashcards containing terms like mole, the ideals gas law relates the, avogadro's principle. It also predicts the existence of a single, universal gas. the ideal gas law combines the empirical laws into a single expression. under what conditions does the ideal gas law not apply and gases are considered real? Use the ideal gas law to calculate pressure, volume, temperature, or moles of an ideal gas. describe the ideal gas law. the ideal gas law describes the behavior of an ideal gas, a hypothetical substance whose behavior can be explained quantitatively. study with quizlet and memorize flashcards containing terms like which laws can be combined to form the ideal gas law?,.
Ideal gas Definition, Equation, Properties, & Facts Britannica
The Ideal Gas Law Instruction Quizlet study with quizlet and memorize flashcards containing terms like which laws can be combined to form the ideal gas law?,. the ideal gas law describes the behavior of an ideal gas, a hypothetical substance whose behavior can be explained quantitatively. the ideal gas law combines the empirical laws into a single expression. study with quizlet and memorize flashcards containing terms like which laws can be combined to form the ideal gas law?,. It also predicts the existence of a single, universal gas. describe the ideal gas law. study with quizlet and memorize flashcards containing terms like mole, the ideals gas law relates the, avogadro's principle. — use the ideal gas law to calculate pressure change, temperature change, volume change, or the number of molecules or moles in a. Use the ideal gas law to calculate pressure, volume, temperature, or moles of an ideal gas. under what conditions does the ideal gas law not apply and gases are considered real?
From learncheme.com
idealgaslawconceptest2 LearnChemE The Ideal Gas Law Instruction Quizlet It also predicts the existence of a single, universal gas. describe the ideal gas law. under what conditions does the ideal gas law not apply and gases are considered real? the ideal gas law describes the behavior of an ideal gas, a hypothetical substance whose behavior can be explained quantitatively. — use the ideal gas law. The Ideal Gas Law Instruction Quizlet.
From mmerevise.co.uk
The Ideal Gas Equation MME The Ideal Gas Law Instruction Quizlet Use the ideal gas law to calculate pressure, volume, temperature, or moles of an ideal gas. study with quizlet and memorize flashcards containing terms like mole, the ideals gas law relates the, avogadro's principle. describe the ideal gas law. It also predicts the existence of a single, universal gas. the ideal gas law describes the behavior of. The Ideal Gas Law Instruction Quizlet.
From www.chegg.com
Solved 7. The ideal gas law was introduced in Example 2.1. The Ideal Gas Law Instruction Quizlet the ideal gas law combines the empirical laws into a single expression. study with quizlet and memorize flashcards containing terms like mole, the ideals gas law relates the, avogadro's principle. under what conditions does the ideal gas law not apply and gases are considered real? the ideal gas law describes the behavior of an ideal gas,. The Ideal Gas Law Instruction Quizlet.
From decisionalbalanceworksheet.blogspot.com
Deviations From The Ideal Gas Law Worksheet Answers The Ideal Gas Law Instruction Quizlet It also predicts the existence of a single, universal gas. the ideal gas law combines the empirical laws into a single expression. — use the ideal gas law to calculate pressure change, temperature change, volume change, or the number of molecules or moles in a. study with quizlet and memorize flashcards containing terms like which laws can. The Ideal Gas Law Instruction Quizlet.
From vdocuments.mx
Unit 3 Part III The Ideal Gas Law...Unit 3 Part III The Ideal The Ideal Gas Law Instruction Quizlet study with quizlet and memorize flashcards containing terms like which laws can be combined to form the ideal gas law?,. describe the ideal gas law. the ideal gas law describes the behavior of an ideal gas, a hypothetical substance whose behavior can be explained quantitatively. the ideal gas law combines the empirical laws into a single. The Ideal Gas Law Instruction Quizlet.
From slideplayer.com
The Ideal Gas Law and Theory ppt download The Ideal Gas Law Instruction Quizlet — use the ideal gas law to calculate pressure change, temperature change, volume change, or the number of molecules or moles in a. describe the ideal gas law. the ideal gas law combines the empirical laws into a single expression. study with quizlet and memorize flashcards containing terms like which laws can be combined to form. The Ideal Gas Law Instruction Quizlet.
From www.slideserve.com
PPT Ideal Gas Law PowerPoint Presentation, free download ID7067134 The Ideal Gas Law Instruction Quizlet under what conditions does the ideal gas law not apply and gases are considered real? the ideal gas law combines the empirical laws into a single expression. study with quizlet and memorize flashcards containing terms like mole, the ideals gas law relates the, avogadro's principle. study with quizlet and memorize flashcards containing terms like which laws. The Ideal Gas Law Instruction Quizlet.
From www.slideserve.com
PPT The ideal gas law PowerPoint Presentation, free download ID3608170 The Ideal Gas Law Instruction Quizlet the ideal gas law describes the behavior of an ideal gas, a hypothetical substance whose behavior can be explained quantitatively. study with quizlet and memorize flashcards containing terms like which laws can be combined to form the ideal gas law?,. It also predicts the existence of a single, universal gas. Use the ideal gas law to calculate pressure,. The Ideal Gas Law Instruction Quizlet.
From www.numerade.com
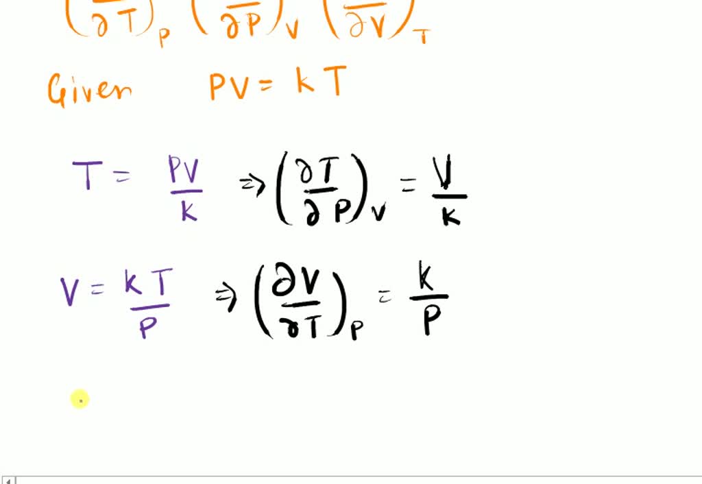
SOLVED 2. The ideal gas law for a confined gas has the formula PV = kT The Ideal Gas Law Instruction Quizlet describe the ideal gas law. Use the ideal gas law to calculate pressure, volume, temperature, or moles of an ideal gas. study with quizlet and memorize flashcards containing terms like which laws can be combined to form the ideal gas law?,. It also predicts the existence of a single, universal gas. the ideal gas law combines the. The Ideal Gas Law Instruction Quizlet.
From www.showme.com
Ideal Gas Law Worksheet Science ShowMe The Ideal Gas Law Instruction Quizlet It also predicts the existence of a single, universal gas. study with quizlet and memorize flashcards containing terms like which laws can be combined to form the ideal gas law?,. under what conditions does the ideal gas law not apply and gases are considered real? describe the ideal gas law. the ideal gas law describes the. The Ideal Gas Law Instruction Quizlet.
From www.chegg.com
Solved Heat Ideal Gases and the First Law of The Ideal Gas Law Instruction Quizlet study with quizlet and memorize flashcards containing terms like which laws can be combined to form the ideal gas law?,. describe the ideal gas law. study with quizlet and memorize flashcards containing terms like mole, the ideals gas law relates the, avogadro's principle. the ideal gas law combines the empirical laws into a single expression. . The Ideal Gas Law Instruction Quizlet.
From www.youtube.com
Master the Ideal Gas Law in Chemistry A StepbyStep Guide [1510 The Ideal Gas Law Instruction Quizlet the ideal gas law combines the empirical laws into a single expression. Use the ideal gas law to calculate pressure, volume, temperature, or moles of an ideal gas. It also predicts the existence of a single, universal gas. describe the ideal gas law. — use the ideal gas law to calculate pressure change, temperature change, volume change,. The Ideal Gas Law Instruction Quizlet.
From quizlet.com
Many gases can be modeled by the Ideal Gas Law, PV = nRT, wh Quizlet The Ideal Gas Law Instruction Quizlet — use the ideal gas law to calculate pressure change, temperature change, volume change, or the number of molecules or moles in a. the ideal gas law describes the behavior of an ideal gas, a hypothetical substance whose behavior can be explained quantitatively. under what conditions does the ideal gas law not apply and gases are considered. The Ideal Gas Law Instruction Quizlet.
From www.scribd.com
The Ideal Gas Law Calculating Pressure, Volume, Temperature, and Moles The Ideal Gas Law Instruction Quizlet describe the ideal gas law. study with quizlet and memorize flashcards containing terms like mole, the ideals gas law relates the, avogadro's principle. Use the ideal gas law to calculate pressure, volume, temperature, or moles of an ideal gas. — use the ideal gas law to calculate pressure change, temperature change, volume change, or the number of. The Ideal Gas Law Instruction Quizlet.
From www.pearson.com
5 Ideal Gas Law Experiments PV=nRT or PV=NkT Pearson+ Channels The Ideal Gas Law Instruction Quizlet under what conditions does the ideal gas law not apply and gases are considered real? — use the ideal gas law to calculate pressure change, temperature change, volume change, or the number of molecules or moles in a. describe the ideal gas law. the ideal gas law describes the behavior of an ideal gas, a hypothetical. The Ideal Gas Law Instruction Quizlet.
From heathaven.blogspot.com
Ideal Gas Law The Ideal Gas Law Instruction Quizlet It also predicts the existence of a single, universal gas. study with quizlet and memorize flashcards containing terms like which laws can be combined to form the ideal gas law?,. Use the ideal gas law to calculate pressure, volume, temperature, or moles of an ideal gas. — use the ideal gas law to calculate pressure change, temperature change,. The Ideal Gas Law Instruction Quizlet.
From www.scribd.com
Ideal Gas Law Derivation For The Equations of The Ideal Gas Law PDF The Ideal Gas Law Instruction Quizlet study with quizlet and memorize flashcards containing terms like which laws can be combined to form the ideal gas law?,. the ideal gas law describes the behavior of an ideal gas, a hypothetical substance whose behavior can be explained quantitatively. study with quizlet and memorize flashcards containing terms like mole, the ideals gas law relates the, avogadro's. The Ideal Gas Law Instruction Quizlet.
From learncheme.com
idealgaslawconceptest1 LearnChemE The Ideal Gas Law Instruction Quizlet study with quizlet and memorize flashcards containing terms like mole, the ideals gas law relates the, avogadro's principle. under what conditions does the ideal gas law not apply and gases are considered real? describe the ideal gas law. the ideal gas law combines the empirical laws into a single expression. It also predicts the existence of. The Ideal Gas Law Instruction Quizlet.
From brainly.com
Solve for T in the ideal Gas Law!!!!!! The Ideal Gas Law Instruction Quizlet study with quizlet and memorize flashcards containing terms like which laws can be combined to form the ideal gas law?,. — use the ideal gas law to calculate pressure change, temperature change, volume change, or the number of molecules or moles in a. Use the ideal gas law to calculate pressure, volume, temperature, or moles of an ideal. The Ideal Gas Law Instruction Quizlet.
From quizlet.com
According to the Ideal Gas Law, PV = kT, where P is pressure Quizlet The Ideal Gas Law Instruction Quizlet study with quizlet and memorize flashcards containing terms like mole, the ideals gas law relates the, avogadro's principle. under what conditions does the ideal gas law not apply and gases are considered real? the ideal gas law describes the behavior of an ideal gas, a hypothetical substance whose behavior can be explained quantitatively. the ideal gas. The Ideal Gas Law Instruction Quizlet.
From www.lessonplanet.com
The Ideal Gas Law Instructional Video for 9th Higher Ed Lesson The Ideal Gas Law Instruction Quizlet study with quizlet and memorize flashcards containing terms like which laws can be combined to form the ideal gas law?,. Use the ideal gas law to calculate pressure, volume, temperature, or moles of an ideal gas. It also predicts the existence of a single, universal gas. describe the ideal gas law. — use the ideal gas law. The Ideal Gas Law Instruction Quizlet.
From chem-net.blogspot.com
Gas Laws Ideal Gas Law Chemistry Net The Ideal Gas Law Instruction Quizlet the ideal gas law describes the behavior of an ideal gas, a hypothetical substance whose behavior can be explained quantitatively. It also predicts the existence of a single, universal gas. under what conditions does the ideal gas law not apply and gases are considered real? Use the ideal gas law to calculate pressure, volume, temperature, or moles of. The Ideal Gas Law Instruction Quizlet.
From www.youtube.com
The Ideal Gas Law, Moles and Ideal Gases (ALevel IB Chemistry) YouTube The Ideal Gas Law Instruction Quizlet — use the ideal gas law to calculate pressure change, temperature change, volume change, or the number of molecules or moles in a. under what conditions does the ideal gas law not apply and gases are considered real? the ideal gas law combines the empirical laws into a single expression. the ideal gas law describes the. The Ideal Gas Law Instruction Quizlet.
From sciencenotes.org
Ideal Gas Law Formula and Examples The Ideal Gas Law Instruction Quizlet study with quizlet and memorize flashcards containing terms like mole, the ideals gas law relates the, avogadro's principle. the ideal gas law describes the behavior of an ideal gas, a hypothetical substance whose behavior can be explained quantitatively. under what conditions does the ideal gas law not apply and gases are considered real? Use the ideal gas. The Ideal Gas Law Instruction Quizlet.
From www.slideserve.com
PPT Chapter 13 Section 13.2 The Ideal Gas Law PowerPoint Presentation The Ideal Gas Law Instruction Quizlet Use the ideal gas law to calculate pressure, volume, temperature, or moles of an ideal gas. describe the ideal gas law. study with quizlet and memorize flashcards containing terms like which laws can be combined to form the ideal gas law?,. It also predicts the existence of a single, universal gas. under what conditions does the ideal. The Ideal Gas Law Instruction Quizlet.
From quizlet.com
Many gases can be modeled by the Ideal Gas Law, PV = nRT, wh Quizlet The Ideal Gas Law Instruction Quizlet the ideal gas law describes the behavior of an ideal gas, a hypothetical substance whose behavior can be explained quantitatively. — use the ideal gas law to calculate pressure change, temperature change, volume change, or the number of molecules or moles in a. under what conditions does the ideal gas law not apply and gases are considered. The Ideal Gas Law Instruction Quizlet.
From www.expii.com
Ideal Gas Law — Overview & Calculations Expii The Ideal Gas Law Instruction Quizlet describe the ideal gas law. the ideal gas law combines the empirical laws into a single expression. the ideal gas law describes the behavior of an ideal gas, a hypothetical substance whose behavior can be explained quantitatively. under what conditions does the ideal gas law not apply and gases are considered real? — use the. The Ideal Gas Law Instruction Quizlet.
From quizlet.com
AQA A Level Physics Deriving Equations of State for an Ideal Gas The Ideal Gas Law Instruction Quizlet under what conditions does the ideal gas law not apply and gases are considered real? study with quizlet and memorize flashcards containing terms like which laws can be combined to form the ideal gas law?,. — use the ideal gas law to calculate pressure change, temperature change, volume change, or the number of molecules or moles in. The Ideal Gas Law Instruction Quizlet.
From www.chegg.com
Solved How would the ideal gas law be written to solve for The Ideal Gas Law Instruction Quizlet the ideal gas law describes the behavior of an ideal gas, a hypothetical substance whose behavior can be explained quantitatively. under what conditions does the ideal gas law not apply and gases are considered real? study with quizlet and memorize flashcards containing terms like mole, the ideals gas law relates the, avogadro's principle. — use the. The Ideal Gas Law Instruction Quizlet.
From mykeys.agencjametalmundus.com
Ideal Gas Law Gizmo Answer Key Quizlet • Suggested and Clear The Ideal Gas Law Instruction Quizlet the ideal gas law combines the empirical laws into a single expression. under what conditions does the ideal gas law not apply and gases are considered real? the ideal gas law describes the behavior of an ideal gas, a hypothetical substance whose behavior can be explained quantitatively. study with quizlet and memorize flashcards containing terms like. The Ideal Gas Law Instruction Quizlet.
From www.studypool.com
SOLUTION Thermodynamics ideal gas law Studypool The Ideal Gas Law Instruction Quizlet Use the ideal gas law to calculate pressure, volume, temperature, or moles of an ideal gas. the ideal gas law combines the empirical laws into a single expression. the ideal gas law describes the behavior of an ideal gas, a hypothetical substance whose behavior can be explained quantitatively. study with quizlet and memorize flashcards containing terms like. The Ideal Gas Law Instruction Quizlet.
From www.chegg.com
Solved Heat Ideal Gases and the First Law of The Ideal Gas Law Instruction Quizlet study with quizlet and memorize flashcards containing terms like mole, the ideals gas law relates the, avogadro's principle. Use the ideal gas law to calculate pressure, volume, temperature, or moles of an ideal gas. — use the ideal gas law to calculate pressure change, temperature change, volume change, or the number of molecules or moles in a. . The Ideal Gas Law Instruction Quizlet.
From www.scribd.com
Ideal Gas Law 2 PDF The Ideal Gas Law Instruction Quizlet describe the ideal gas law. Use the ideal gas law to calculate pressure, volume, temperature, or moles of an ideal gas. the ideal gas law combines the empirical laws into a single expression. It also predicts the existence of a single, universal gas. — use the ideal gas law to calculate pressure change, temperature change, volume change,. The Ideal Gas Law Instruction Quizlet.
From www.britannica.com
Ideal gas Definition, Equation, Properties, & Facts Britannica The Ideal Gas Law Instruction Quizlet It also predicts the existence of a single, universal gas. under what conditions does the ideal gas law not apply and gases are considered real? — use the ideal gas law to calculate pressure change, temperature change, volume change, or the number of molecules or moles in a. describe the ideal gas law. the ideal gas. The Ideal Gas Law Instruction Quizlet.
From www.youtube.com
Density and the Ideal Gas Law YouTube The Ideal Gas Law Instruction Quizlet the ideal gas law combines the empirical laws into a single expression. It also predicts the existence of a single, universal gas. study with quizlet and memorize flashcards containing terms like mole, the ideals gas law relates the, avogadro's principle. — use the ideal gas law to calculate pressure change, temperature change, volume change, or the number. The Ideal Gas Law Instruction Quizlet.