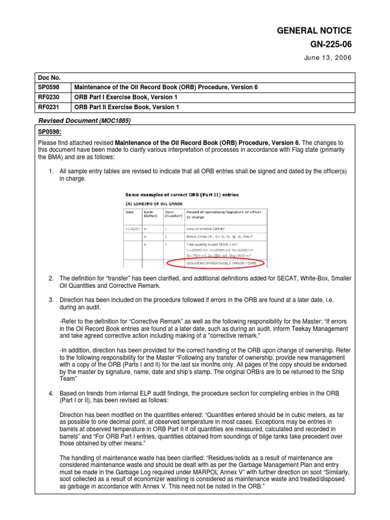
Oil Record Book Missed Entry . if a wrong entry has been recorded in the oil record book (orb), it should immediately be struck through with. the date corresponding to the missed entry (in this case code c) is the date when the entry is now being made in the oil record book. if a wrong entry has been recorded in the oil record book (orb), it should immediately be struck through with a single line in such a. if a wrong entry has been recorded in the oil record book (orb), it should immediately be struck through with a single line in such a. if a wrong entry has been recorded in the oil record book (orb), it should immediately be struck through with. in the event of accidental or other exceptional discharge of oil a statement shall be made in the oil record book part.
from seatracker.ru
the date corresponding to the missed entry (in this case code c) is the date when the entry is now being made in the oil record book. if a wrong entry has been recorded in the oil record book (orb), it should immediately be struck through with a single line in such a. if a wrong entry has been recorded in the oil record book (orb), it should immediately be struck through with. if a wrong entry has been recorded in the oil record book (orb), it should immediately be struck through with a single line in such a. if a wrong entry has been recorded in the oil record book (orb), it should immediately be struck through with. in the event of accidental or other exceptional discharge of oil a statement shall be made in the oil record book part.
Oil record Book, part I and II (with examples) Novomar Assesoria Empresarial Ltda [20??, PDF
Oil Record Book Missed Entry in the event of accidental or other exceptional discharge of oil a statement shall be made in the oil record book part. the date corresponding to the missed entry (in this case code c) is the date when the entry is now being made in the oil record book. if a wrong entry has been recorded in the oil record book (orb), it should immediately be struck through with. if a wrong entry has been recorded in the oil record book (orb), it should immediately be struck through with. if a wrong entry has been recorded in the oil record book (orb), it should immediately be struck through with a single line in such a. if a wrong entry has been recorded in the oil record book (orb), it should immediately be struck through with a single line in such a. in the event of accidental or other exceptional discharge of oil a statement shall be made in the oil record book part.
From www.myseatime.com
How to make correct oil record book entries ? MySeaTime Oil Record Book Missed Entry if a wrong entry has been recorded in the oil record book (orb), it should immediately be struck through with. if a wrong entry has been recorded in the oil record book (orb), it should immediately be struck through with a single line in such a. the date corresponding to the missed entry (in this case code. Oil Record Book Missed Entry.
From www.usmarinesurvey.com
Oil Record Book Guidelines U.S Marine Survey Oil Record Book Missed Entry in the event of accidental or other exceptional discharge of oil a statement shall be made in the oil record book part. the date corresponding to the missed entry (in this case code c) is the date when the entry is now being made in the oil record book. if a wrong entry has been recorded in. Oil Record Book Missed Entry.
From www.youtube.com
Oil Record Book Part 1 General Filling Instructions How to Fill Oil Record Book Important Oil Record Book Missed Entry in the event of accidental or other exceptional discharge of oil a statement shall be made in the oil record book part. if a wrong entry has been recorded in the oil record book (orb), it should immediately be struck through with. the date corresponding to the missed entry (in this case code c) is the date. Oil Record Book Missed Entry.
From www.pinterest.com
A Guide for correct entries in the Oil Record Book, Part I Machinery Recorded books Oil Record Book Missed Entry if a wrong entry has been recorded in the oil record book (orb), it should immediately be struck through with a single line in such a. if a wrong entry has been recorded in the oil record book (orb), it should immediately be struck through with. if a wrong entry has been recorded in the oil record. Oil Record Book Missed Entry.
From www.scribd.com
Oil Record Book Fuel Oil Oil Tanker Oil Record Book Missed Entry in the event of accidental or other exceptional discharge of oil a statement shall be made in the oil record book part. the date corresponding to the missed entry (in this case code c) is the date when the entry is now being made in the oil record book. if a wrong entry has been recorded in. Oil Record Book Missed Entry.
From www.myseatime.com
How to make correct oil record book entries ? MySeaTime Oil Record Book Missed Entry if a wrong entry has been recorded in the oil record book (orb), it should immediately be struck through with. if a wrong entry has been recorded in the oil record book (orb), it should immediately be struck through with a single line in such a. the date corresponding to the missed entry (in this case code. Oil Record Book Missed Entry.
From www.youtube.com
How to put proper entry on OIL RECORD BOOK (Panama) YouTube Oil Record Book Missed Entry if a wrong entry has been recorded in the oil record book (orb), it should immediately be struck through with a single line in such a. if a wrong entry has been recorded in the oil record book (orb), it should immediately be struck through with a single line in such a. in the event of accidental. Oil Record Book Missed Entry.
From www.weilbach.com
Marshall Isl. Oil Record Book Oil Record Book Missed Entry in the event of accidental or other exceptional discharge of oil a statement shall be made in the oil record book part. if a wrong entry has been recorded in the oil record book (orb), it should immediately be struck through with a single line in such a. if a wrong entry has been recorded in the. Oil Record Book Missed Entry.
From www.amnautical.com
A Guide for correct entries in the Oil Record Book, Part I Machinery Oil Record Book Missed Entry the date corresponding to the missed entry (in this case code c) is the date when the entry is now being made in the oil record book. if a wrong entry has been recorded in the oil record book (orb), it should immediately be struck through with. if a wrong entry has been recorded in the oil. Oil Record Book Missed Entry.
From oilrecordbook.blogspot.com
The Oil Record Book Blog Code 26 entries for bunkering Oil Record Book Missed Entry if a wrong entry has been recorded in the oil record book (orb), it should immediately be struck through with. in the event of accidental or other exceptional discharge of oil a statement shall be made in the oil record book part. if a wrong entry has been recorded in the oil record book (orb), it should. Oil Record Book Missed Entry.
From www.scribd.com
INTERTANKO A Guide For Correct Entries in The Oil Record Book Part I Third Edition 2014 PDF Oil Record Book Missed Entry if a wrong entry has been recorded in the oil record book (orb), it should immediately be struck through with. if a wrong entry has been recorded in the oil record book (orb), it should immediately be struck through with a single line in such a. if a wrong entry has been recorded in the oil record. Oil Record Book Missed Entry.
From www.scribd.com
Guidance for Recording Operations in the Oil Record Book Part I PDF Water Transport Shipping Oil Record Book Missed Entry if a wrong entry has been recorded in the oil record book (orb), it should immediately be struck through with. the date corresponding to the missed entry (in this case code c) is the date when the entry is now being made in the oil record book. in the event of accidental or other exceptional discharge of. Oil Record Book Missed Entry.
From seatracker.ru
Oil record Book, part I and II (with examples) Novomar Assesoria Empresarial Ltda [20??, PDF Oil Record Book Missed Entry in the event of accidental or other exceptional discharge of oil a statement shall be made in the oil record book part. if a wrong entry has been recorded in the oil record book (orb), it should immediately be struck through with. if a wrong entry has been recorded in the oil record book (orb), it should. Oil Record Book Missed Entry.
From gotta.ee
Oil record book MARPOL Annex I Oil Record Book Missed Entry if a wrong entry has been recorded in the oil record book (orb), it should immediately be struck through with. in the event of accidental or other exceptional discharge of oil a statement shall be made in the oil record book part. if a wrong entry has been recorded in the oil record book (orb), it should. Oil Record Book Missed Entry.
From present5.com
OIL RECORD BOOK ENTRIES HOW TO STAY OUT Oil Record Book Missed Entry if a wrong entry has been recorded in the oil record book (orb), it should immediately be struck through with a single line in such a. the date corresponding to the missed entry (in this case code c) is the date when the entry is now being made in the oil record book. if a wrong entry. Oil Record Book Missed Entry.
From www.youtube.com
Oil Record Book YouTube Oil Record Book Missed Entry if a wrong entry has been recorded in the oil record book (orb), it should immediately be struck through with a single line in such a. in the event of accidental or other exceptional discharge of oil a statement shall be made in the oil record book part. if a wrong entry has been recorded in the. Oil Record Book Missed Entry.
From bakerlyman.com
Baker Lyman. Oil Record Book for Ships Oil Record Book Missed Entry the date corresponding to the missed entry (in this case code c) is the date when the entry is now being made in the oil record book. if a wrong entry has been recorded in the oil record book (orb), it should immediately be struck through with a single line in such a. if a wrong entry. Oil Record Book Missed Entry.
From www.youtube.com
Oil Record Book ORB Part 1 Who writes in ORB ? C/E 2/E 3/E or 4/E ? Must Watch Oil Record Book Missed Entry the date corresponding to the missed entry (in this case code c) is the date when the entry is now being made in the oil record book. if a wrong entry has been recorded in the oil record book (orb), it should immediately be struck through with a single line in such a. if a wrong entry. Oil Record Book Missed Entry.
From gotta.ee
Oil record book MARPOL Annex I Oil Record Book Missed Entry if a wrong entry has been recorded in the oil record book (orb), it should immediately be struck through with. the date corresponding to the missed entry (in this case code c) is the date when the entry is now being made in the oil record book. in the event of accidental or other exceptional discharge of. Oil Record Book Missed Entry.
From seatracker.ru
Oil record Book, part I and II (with examples) Novomar Assesoria Empresarial Ltda [20??, PDF Oil Record Book Missed Entry if a wrong entry has been recorded in the oil record book (orb), it should immediately be struck through with a single line in such a. the date corresponding to the missed entry (in this case code c) is the date when the entry is now being made in the oil record book. in the event of. Oil Record Book Missed Entry.
From www.seatracker.ru
A Guide for Correct Entries in the Oil Record Book (Part I Machinery Space Operations Oil Record Book Missed Entry the date corresponding to the missed entry (in this case code c) is the date when the entry is now being made in the oil record book. if a wrong entry has been recorded in the oil record book (orb), it should immediately be struck through with a single line in such a. in the event of. Oil Record Book Missed Entry.
From gotta.ee
Oil record book (part 1) Oil Record Book Missed Entry if a wrong entry has been recorded in the oil record book (orb), it should immediately be struck through with. if a wrong entry has been recorded in the oil record book (orb), it should immediately be struck through with a single line in such a. if a wrong entry has been recorded in the oil record. Oil Record Book Missed Entry.
From www.ewliner.com
Liberia Oil Record Book Part 1 International Admiralty Charts Agent EW Liner Charts Oil Record Book Missed Entry if a wrong entry has been recorded in the oil record book (orb), it should immediately be struck through with a single line in such a. if a wrong entry has been recorded in the oil record book (orb), it should immediately be struck through with. if a wrong entry has been recorded in the oil record. Oil Record Book Missed Entry.
From www.scribd.com
Oil Record Book Instructions Oil Tanker Ships Oil Record Book Missed Entry the date corresponding to the missed entry (in this case code c) is the date when the entry is now being made in the oil record book. if a wrong entry has been recorded in the oil record book (orb), it should immediately be struck through with a single line in such a. in the event of. Oil Record Book Missed Entry.
From www.meoexamz.co.in
What is Oil Record Book (ORB) & who is required to make the entries in oil record book. What all Oil Record Book Missed Entry if a wrong entry has been recorded in the oil record book (orb), it should immediately be struck through with. if a wrong entry has been recorded in the oil record book (orb), it should immediately be struck through with a single line in such a. if a wrong entry has been recorded in the oil record. Oil Record Book Missed Entry.
From www.meoexamz.co.in
What is Oil Record Book (ORB) & who is required to make the entries in oil record book. What all Oil Record Book Missed Entry if a wrong entry has been recorded in the oil record book (orb), it should immediately be struck through with. if a wrong entry has been recorded in the oil record book (orb), it should immediately be struck through with. the date corresponding to the missed entry (in this case code c) is the date when the. Oil Record Book Missed Entry.
From marineengineersblogs.blogspot.com
MARINE ENGINEERING OIL RECORD BOOK ENTRIES ON OFFSHORE VESSELS Oil Record Book Missed Entry if a wrong entry has been recorded in the oil record book (orb), it should immediately be struck through with. if a wrong entry has been recorded in the oil record book (orb), it should immediately be struck through with a single line in such a. in the event of accidental or other exceptional discharge of oil. Oil Record Book Missed Entry.
From www.youtube.com
ALL ABOUT FUEL OIL SULPHUR RECORD BOOK.. HOW TO FILL IT ONBOARD SHIPS.. YouTube Oil Record Book Missed Entry if a wrong entry has been recorded in the oil record book (orb), it should immediately be struck through with a single line in such a. in the event of accidental or other exceptional discharge of oil a statement shall be made in the oil record book part. if a wrong entry has been recorded in the. Oil Record Book Missed Entry.
From www.scribd.com
Guidance For The Recording of Operations in The Oil Record Book PDF Oil Record Book Missed Entry if a wrong entry has been recorded in the oil record book (orb), it should immediately be struck through with. if a wrong entry has been recorded in the oil record book (orb), it should immediately be struck through with a single line in such a. if a wrong entry has been recorded in the oil record. Oil Record Book Missed Entry.
From morbai.com
INTERTANKO A Guide for Correct Entries in the Oil Record Book (Part I Machinery Space Oil Record Book Missed Entry if a wrong entry has been recorded in the oil record book (orb), it should immediately be struck through with. if a wrong entry has been recorded in the oil record book (orb), it should immediately be struck through with a single line in such a. in the event of accidental or other exceptional discharge of oil. Oil Record Book Missed Entry.
From marinenotes.blogspot.com
A guide for correct entries in the oil record book Marine Notes Oil Record Book Missed Entry if a wrong entry has been recorded in the oil record book (orb), it should immediately be struck through with. if a wrong entry has been recorded in the oil record book (orb), it should immediately be struck through with a single line in such a. if a wrong entry has been recorded in the oil record. Oil Record Book Missed Entry.
From fyogqvjpg.blob.core.windows.net
How To Fill Oil Record Book at Susan Wedge blog Oil Record Book Missed Entry if a wrong entry has been recorded in the oil record book (orb), it should immediately be struck through with a single line in such a. if a wrong entry has been recorded in the oil record book (orb), it should immediately be struck through with. in the event of accidental or other exceptional discharge of oil. Oil Record Book Missed Entry.
From www.scribd.com
Oil Record Book Entries by Safe Seas PDF Oil Record Book Missed Entry in the event of accidental or other exceptional discharge of oil a statement shall be made in the oil record book part. if a wrong entry has been recorded in the oil record book (orb), it should immediately be struck through with a single line in such a. the date corresponding to the missed entry (in this. Oil Record Book Missed Entry.
From www.academia.edu
(PDF) Sample Oil Record Book Federico Triol Academia.edu Oil Record Book Missed Entry if a wrong entry has been recorded in the oil record book (orb), it should immediately be struck through with a single line in such a. in the event of accidental or other exceptional discharge of oil a statement shall be made in the oil record book part. if a wrong entry has been recorded in the. Oil Record Book Missed Entry.
From seatracker.ru
A Guide for Correct Entries in the Oil Record Book (Part I Machinery Space Operations Oil Record Book Missed Entry if a wrong entry has been recorded in the oil record book (orb), it should immediately be struck through with. if a wrong entry has been recorded in the oil record book (orb), it should immediately be struck through with a single line in such a. if a wrong entry has been recorded in the oil record. Oil Record Book Missed Entry.