Waxes And Triglycerides . identify waxes as being mixtures of long‑chain esters, and write the general structure for such compounds. Natural waxes are typically esters of fatty acids and long chain. Major types include fats and oils, waxes, phospholipids, and. another type of lipid is wax. They include fats, waxes, oils, hormones, and certain. explore the diverse functions of waxes in biology, from protective barriers in plants and animals to their role in food preservation. Wax covers some aquatic birds' feathers and some plants' leaf surfaces. a lipid is any of various organic compounds that are insoluble in water. lipids are a class of macromolecules that are nonpolar and hydrophobic in nature. They provide protection, especially to plants in. waxes are a type of long chain nonpolar lipid. although they appear different—animal fats like butter and lard are solids, whereas vegetable oils like corn.
from courses.lumenlearning.com
lipids are a class of macromolecules that are nonpolar and hydrophobic in nature. They provide protection, especially to plants in. another type of lipid is wax. a lipid is any of various organic compounds that are insoluble in water. although they appear different—animal fats like butter and lard are solids, whereas vegetable oils like corn. waxes are a type of long chain nonpolar lipid. Natural waxes are typically esters of fatty acids and long chain. Major types include fats and oils, waxes, phospholipids, and. explore the diverse functions of waxes in biology, from protective barriers in plants and animals to their role in food preservation. identify waxes as being mixtures of long‑chain esters, and write the general structure for such compounds.
Biological Molecules Biology I
Waxes And Triglycerides lipids are a class of macromolecules that are nonpolar and hydrophobic in nature. Wax covers some aquatic birds' feathers and some plants' leaf surfaces. lipids are a class of macromolecules that are nonpolar and hydrophobic in nature. although they appear different—animal fats like butter and lard are solids, whereas vegetable oils like corn. a lipid is any of various organic compounds that are insoluble in water. They include fats, waxes, oils, hormones, and certain. identify waxes as being mixtures of long‑chain esters, and write the general structure for such compounds. Natural waxes are typically esters of fatty acids and long chain. another type of lipid is wax. waxes are a type of long chain nonpolar lipid. They provide protection, especially to plants in. Major types include fats and oils, waxes, phospholipids, and. explore the diverse functions of waxes in biology, from protective barriers in plants and animals to their role in food preservation.
From exyinbexl.blob.core.windows.net
Functions Of Waxes In Human Body at William Chambers blog Waxes And Triglycerides They provide protection, especially to plants in. Natural waxes are typically esters of fatty acids and long chain. explore the diverse functions of waxes in biology, from protective barriers in plants and animals to their role in food preservation. waxes are a type of long chain nonpolar lipid. They include fats, waxes, oils, hormones, and certain. identify. Waxes And Triglycerides.
From www.expii.com
What Are Lipids? — Structure & Function Expii Waxes And Triglycerides Natural waxes are typically esters of fatty acids and long chain. They include fats, waxes, oils, hormones, and certain. waxes are a type of long chain nonpolar lipid. identify waxes as being mixtures of long‑chain esters, and write the general structure for such compounds. a lipid is any of various organic compounds that are insoluble in water.. Waxes And Triglycerides.
From pressbooks.bccampus.ca
Unit 3 Biochemistry Douglas College Human Anatomy & Physiology I (2nd ed.) Waxes And Triglycerides another type of lipid is wax. Major types include fats and oils, waxes, phospholipids, and. They include fats, waxes, oils, hormones, and certain. They provide protection, especially to plants in. waxes are a type of long chain nonpolar lipid. Natural waxes are typically esters of fatty acids and long chain. lipids are a class of macromolecules that. Waxes And Triglycerides.
From www.studocu.com
BSc Fatty Acids Triglycerides And Waxes Biology Studocu Waxes And Triglycerides They include fats, waxes, oils, hormones, and certain. another type of lipid is wax. Wax covers some aquatic birds' feathers and some plants' leaf surfaces. They provide protection, especially to plants in. waxes are a type of long chain nonpolar lipid. Major types include fats and oils, waxes, phospholipids, and. Natural waxes are typically esters of fatty acids. Waxes And Triglycerides.
From www.savemyexams.co.uk
Lipids & Ester Bonds (2.2.7) OCR A Level Biology Revision Notes 2017 Save My Exams Waxes And Triglycerides another type of lipid is wax. identify waxes as being mixtures of long‑chain esters, and write the general structure for such compounds. explore the diverse functions of waxes in biology, from protective barriers in plants and animals to their role in food preservation. although they appear different—animal fats like butter and lard are solids, whereas vegetable. Waxes And Triglycerides.
From www.studyorgo.com
Organic Chemistry of Lipids Waxes And Triglycerides another type of lipid is wax. a lipid is any of various organic compounds that are insoluble in water. explore the diverse functions of waxes in biology, from protective barriers in plants and animals to their role in food preservation. although they appear different—animal fats like butter and lard are solids, whereas vegetable oils like corn.. Waxes And Triglycerides.
From www.slideshare.net
Biology Keynote Waxes And Triglycerides identify waxes as being mixtures of long‑chain esters, and write the general structure for such compounds. Natural waxes are typically esters of fatty acids and long chain. Wax covers some aquatic birds' feathers and some plants' leaf surfaces. a lipid is any of various organic compounds that are insoluble in water. lipids are a class of macromolecules. Waxes And Triglycerides.
From www.slideserve.com
PPT Lipids PowerPoint Presentation, free download ID2328161 Waxes And Triglycerides another type of lipid is wax. explore the diverse functions of waxes in biology, from protective barriers in plants and animals to their role in food preservation. lipids are a class of macromolecules that are nonpolar and hydrophobic in nature. They include fats, waxes, oils, hormones, and certain. Natural waxes are typically esters of fatty acids and. Waxes And Triglycerides.
From www.youtube.com
Nursing Chem Lipids Part 4 Waxes and Triglycerides YouTube Waxes And Triglycerides a lipid is any of various organic compounds that are insoluble in water. waxes are a type of long chain nonpolar lipid. Wax covers some aquatic birds' feathers and some plants' leaf surfaces. lipids are a class of macromolecules that are nonpolar and hydrophobic in nature. explore the diverse functions of waxes in biology, from protective. Waxes And Triglycerides.
From www.slideserve.com
PPT Biomolecules Lipids and Their Metabolism PowerPoint Presentation ID3854412 Waxes And Triglycerides They provide protection, especially to plants in. Natural waxes are typically esters of fatty acids and long chain. Wax covers some aquatic birds' feathers and some plants' leaf surfaces. another type of lipid is wax. They include fats, waxes, oils, hormones, and certain. waxes are a type of long chain nonpolar lipid. identify waxes as being mixtures. Waxes And Triglycerides.
From www.animalia-life.club
Triglyceride Structure Diagram Waxes And Triglycerides They include fats, waxes, oils, hormones, and certain. explore the diverse functions of waxes in biology, from protective barriers in plants and animals to their role in food preservation. identify waxes as being mixtures of long‑chain esters, and write the general structure for such compounds. although they appear different—animal fats like butter and lard are solids, whereas. Waxes And Triglycerides.
From courses.lumenlearning.com
Biological Molecules Biology I Waxes And Triglycerides They provide protection, especially to plants in. although they appear different—animal fats like butter and lard are solids, whereas vegetable oils like corn. explore the diverse functions of waxes in biology, from protective barriers in plants and animals to their role in food preservation. another type of lipid is wax. Natural waxes are typically esters of fatty. Waxes And Triglycerides.
From openoregon.pressbooks.pub
Lipids Principles of Biology Waxes And Triglycerides They provide protection, especially to plants in. Major types include fats and oils, waxes, phospholipids, and. although they appear different—animal fats like butter and lard are solids, whereas vegetable oils like corn. They include fats, waxes, oils, hormones, and certain. waxes are a type of long chain nonpolar lipid. a lipid is any of various organic compounds. Waxes And Triglycerides.
From www.numerade.com
SOLVED Differentiate Triglycerides, phospholipids, steroids, and waxes with each other. Waxes And Triglycerides identify waxes as being mixtures of long‑chain esters, and write the general structure for such compounds. Wax covers some aquatic birds' feathers and some plants' leaf surfaces. Major types include fats and oils, waxes, phospholipids, and. They provide protection, especially to plants in. a lipid is any of various organic compounds that are insoluble in water. They include. Waxes And Triglycerides.
From slideplayer.com
The Chemical Basis of Life ppt download Waxes And Triglycerides Natural waxes are typically esters of fatty acids and long chain. Major types include fats and oils, waxes, phospholipids, and. although they appear different—animal fats like butter and lard are solids, whereas vegetable oils like corn. explore the diverse functions of waxes in biology, from protective barriers in plants and animals to their role in food preservation. . Waxes And Triglycerides.
From www.youtube.com
Survey of Organic Waxes, Triglycerides, & Phospholipids YouTube Waxes And Triglycerides explore the diverse functions of waxes in biology, from protective barriers in plants and animals to their role in food preservation. Natural waxes are typically esters of fatty acids and long chain. although they appear different—animal fats like butter and lard are solids, whereas vegetable oils like corn. identify waxes as being mixtures of long‑chain esters, and. Waxes And Triglycerides.
From www.thesciencehive.co.uk
Carbohydrates and Lipids AQA — the science sauce Waxes And Triglycerides another type of lipid is wax. explore the diverse functions of waxes in biology, from protective barriers in plants and animals to their role in food preservation. Major types include fats and oils, waxes, phospholipids, and. Natural waxes are typically esters of fatty acids and long chain. waxes are a type of long chain nonpolar lipid. . Waxes And Triglycerides.
From slideplayer.com
THEME Lipids classification, structure and biological role. ppt download Waxes And Triglycerides Major types include fats and oils, waxes, phospholipids, and. waxes are a type of long chain nonpolar lipid. explore the diverse functions of waxes in biology, from protective barriers in plants and animals to their role in food preservation. They provide protection, especially to plants in. identify waxes as being mixtures of long‑chain esters, and write the. Waxes And Triglycerides.
From www.youtube.com
Fatty Acids, Waxes, Triglycerides Overview Structure of Organic Molecules Griti YouTube Waxes And Triglycerides lipids are a class of macromolecules that are nonpolar and hydrophobic in nature. They provide protection, especially to plants in. They include fats, waxes, oils, hormones, and certain. explore the diverse functions of waxes in biology, from protective barriers in plants and animals to their role in food preservation. Major types include fats and oils, waxes, phospholipids, and.. Waxes And Triglycerides.
From www.numerade.com
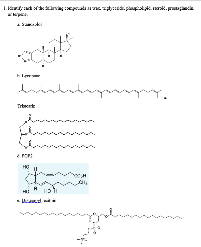
SOLVED Identify each of the following compounds as wax, triglyceride, phospholipid, steroid Waxes And Triglycerides lipids are a class of macromolecules that are nonpolar and hydrophobic in nature. a lipid is any of various organic compounds that are insoluble in water. another type of lipid is wax. waxes are a type of long chain nonpolar lipid. Natural waxes are typically esters of fatty acids and long chain. Major types include fats. Waxes And Triglycerides.
From www.slideserve.com
PPT Lipids Fats, Oils & Waxes PowerPoint Presentation, free download ID6100313 Waxes And Triglycerides Natural waxes are typically esters of fatty acids and long chain. waxes are a type of long chain nonpolar lipid. Major types include fats and oils, waxes, phospholipids, and. a lipid is any of various organic compounds that are insoluble in water. They include fats, waxes, oils, hormones, and certain. identify waxes as being mixtures of long‑chain. Waxes And Triglycerides.
From pt.slideshare.net
TRIGLYCERIDES Waxes And Triglycerides another type of lipid is wax. lipids are a class of macromolecules that are nonpolar and hydrophobic in nature. a lipid is any of various organic compounds that are insoluble in water. Wax covers some aquatic birds' feathers and some plants' leaf surfaces. Natural waxes are typically esters of fatty acids and long chain. although they. Waxes And Triglycerides.
From www.youtube.com
Triacylglycerols or Triglycerides and Waxes YouTube Waxes And Triglycerides Major types include fats and oils, waxes, phospholipids, and. identify waxes as being mixtures of long‑chain esters, and write the general structure for such compounds. Natural waxes are typically esters of fatty acids and long chain. another type of lipid is wax. Wax covers some aquatic birds' feathers and some plants' leaf surfaces. although they appear different—animal. Waxes And Triglycerides.
From www.youtube.com
Lipids Fatty Acids, Triglycerides, Phospholipids, Terpenes, Waxes, Eicosanoids YouTube Waxes And Triglycerides although they appear different—animal fats like butter and lard are solids, whereas vegetable oils like corn. Natural waxes are typically esters of fatty acids and long chain. Major types include fats and oils, waxes, phospholipids, and. another type of lipid is wax. identify waxes as being mixtures of long‑chain esters, and write the general structure for such. Waxes And Triglycerides.
From app.pandai.org
Lipids Waxes And Triglycerides lipids are a class of macromolecules that are nonpolar and hydrophobic in nature. They include fats, waxes, oils, hormones, and certain. identify waxes as being mixtures of long‑chain esters, and write the general structure for such compounds. explore the diverse functions of waxes in biology, from protective barriers in plants and animals to their role in food. Waxes And Triglycerides.
From ar.inspiredpencil.com
Phospholipid Vs Triglyceride Structure Waxes And Triglycerides Major types include fats and oils, waxes, phospholipids, and. explore the diverse functions of waxes in biology, from protective barriers in plants and animals to their role in food preservation. lipids are a class of macromolecules that are nonpolar and hydrophobic in nature. although they appear different—animal fats like butter and lard are solids, whereas vegetable oils. Waxes And Triglycerides.
From www.slideserve.com
PPT Lovely Lipids PowerPoint Presentation, free download ID425291 Waxes And Triglycerides identify waxes as being mixtures of long‑chain esters, and write the general structure for such compounds. although they appear different—animal fats like butter and lard are solids, whereas vegetable oils like corn. Natural waxes are typically esters of fatty acids and long chain. Wax covers some aquatic birds' feathers and some plants' leaf surfaces. waxes are a. Waxes And Triglycerides.
From www.dreamstime.com
Lipids Vector Illustration. Triglycerides, Waxes and Steroids Diagram. Stock Vector Waxes And Triglycerides explore the diverse functions of waxes in biology, from protective barriers in plants and animals to their role in food preservation. a lipid is any of various organic compounds that are insoluble in water. They include fats, waxes, oils, hormones, and certain. Wax covers some aquatic birds' feathers and some plants' leaf surfaces. waxes are a type. Waxes And Triglycerides.
From www.slideserve.com
PPT CH 3 The Molecules of Cells PowerPoint Presentation, free download ID1460017 Waxes And Triglycerides lipids are a class of macromolecules that are nonpolar and hydrophobic in nature. Natural waxes are typically esters of fatty acids and long chain. a lipid is any of various organic compounds that are insoluble in water. Major types include fats and oils, waxes, phospholipids, and. waxes are a type of long chain nonpolar lipid. another. Waxes And Triglycerides.
From www.slideserve.com
PPT Biological Molecules PowerPoint Presentation, free download ID824039 Waxes And Triglycerides identify waxes as being mixtures of long‑chain esters, and write the general structure for such compounds. a lipid is any of various organic compounds that are insoluble in water. They provide protection, especially to plants in. lipids are a class of macromolecules that are nonpolar and hydrophobic in nature. Major types include fats and oils, waxes, phospholipids,. Waxes And Triglycerides.
From www.expii.com
Chemical Structure of Lipids Expii Waxes And Triglycerides explore the diverse functions of waxes in biology, from protective barriers in plants and animals to their role in food preservation. identify waxes as being mixtures of long‑chain esters, and write the general structure for such compounds. waxes are a type of long chain nonpolar lipid. lipids are a class of macromolecules that are nonpolar and. Waxes And Triglycerides.
From www.researchgate.net
The structure of triglyceride showing the simple and mixed types. Download Scientific Diagram Waxes And Triglycerides waxes are a type of long chain nonpolar lipid. They provide protection, especially to plants in. explore the diverse functions of waxes in biology, from protective barriers in plants and animals to their role in food preservation. Natural waxes are typically esters of fatty acids and long chain. another type of lipid is wax. lipids are. Waxes And Triglycerides.
From finwise.edu.vn
List 92+ Pictures Compared To A Triglyceride Molecule, A Protein Molecule Excellent Waxes And Triglycerides although they appear different—animal fats like butter and lard are solids, whereas vegetable oils like corn. They include fats, waxes, oils, hormones, and certain. Natural waxes are typically esters of fatty acids and long chain. another type of lipid is wax. explore the diverse functions of waxes in biology, from protective barriers in plants and animals to. Waxes And Triglycerides.
From www.slideserve.com
PPT Chemistry 2100 PowerPoint Presentation, free download ID2985171 Waxes And Triglycerides a lipid is any of various organic compounds that are insoluble in water. explore the diverse functions of waxes in biology, from protective barriers in plants and animals to their role in food preservation. lipids are a class of macromolecules that are nonpolar and hydrophobic in nature. They provide protection, especially to plants in. They include fats,. Waxes And Triglycerides.
From slideplayer.com
Atoms, Molecules, and Life ppt download Waxes And Triglycerides Natural waxes are typically esters of fatty acids and long chain. a lipid is any of various organic compounds that are insoluble in water. Major types include fats and oils, waxes, phospholipids, and. explore the diverse functions of waxes in biology, from protective barriers in plants and animals to their role in food preservation. although they appear. Waxes And Triglycerides.