Differential Equations Vs Multivariable Calculus Reddit . The two are almost completely independent. In calc 3, you will need to get used to memorizing the. Some very elementary multivariable calculus material, such as partial derivatives, will show up, but this will all be very straightforward if you. In linear algebra you're learning. We had a lot of multivariable calc and beginning differential equations in my calc 2 class. In linear algebra terms, they are orthogonal to each other. Having taught both courses a number of times, i would suggest multivariable calculus before differential equations. So far, i am finding differential equations to be simple compared to calc 3. It wasn't hard when you get used to it. I will tell you that linear. Differential equations is actually fairly easy, you should only need calculus skills from calc 2 to be able to do well in it. Having knowledge of multivariable calculus is useful in fields such as engineering, physics, computer science, and economics.
        	
		 
	 
    
         
         
        from www.scribd.com 
     
        
        In calc 3, you will need to get used to memorizing the. Differential equations is actually fairly easy, you should only need calculus skills from calc 2 to be able to do well in it. I will tell you that linear. It wasn't hard when you get used to it. Some very elementary multivariable calculus material, such as partial derivatives, will show up, but this will all be very straightforward if you. So far, i am finding differential equations to be simple compared to calc 3. Having knowledge of multivariable calculus is useful in fields such as engineering, physics, computer science, and economics. We had a lot of multivariable calc and beginning differential equations in my calc 2 class. In linear algebra you're learning. Having taught both courses a number of times, i would suggest multivariable calculus before differential equations.
    
    	
		 
	 
    Numerical Solution of Partial Differential Equations Solution Manual 
    Differential Equations Vs Multivariable Calculus Reddit  In linear algebra you're learning. We had a lot of multivariable calc and beginning differential equations in my calc 2 class. In calc 3, you will need to get used to memorizing the. Having knowledge of multivariable calculus is useful in fields such as engineering, physics, computer science, and economics. The two are almost completely independent. Some very elementary multivariable calculus material, such as partial derivatives, will show up, but this will all be very straightforward if you. In linear algebra terms, they are orthogonal to each other. In linear algebra you're learning. I will tell you that linear. So far, i am finding differential equations to be simple compared to calc 3. Having taught both courses a number of times, i would suggest multivariable calculus before differential equations. Differential equations is actually fairly easy, you should only need calculus skills from calc 2 to be able to do well in it. It wasn't hard when you get used to it.
 
    
         
        From people.smp.uq.edu.au 
                    MT152 Multivariable Calculus and Differential Equations Differential Equations Vs Multivariable Calculus Reddit  Differential equations is actually fairly easy, you should only need calculus skills from calc 2 to be able to do well in it. In linear algebra you're learning. Having taught both courses a number of times, i would suggest multivariable calculus before differential equations. The two are almost completely independent. In calc 3, you will need to get used to. Differential Equations Vs Multivariable Calculus Reddit.
     
    
         
        From www.scribd.com 
                    Partial Differential Equation PDF Multivariable Calculus Applied Differential Equations Vs Multivariable Calculus Reddit  Some very elementary multivariable calculus material, such as partial derivatives, will show up, but this will all be very straightforward if you. Having taught both courses a number of times, i would suggest multivariable calculus before differential equations. In calc 3, you will need to get used to memorizing the. In linear algebra terms, they are orthogonal to each other.. Differential Equations Vs Multivariable Calculus Reddit.
     
    
         
        From www.youtube.com 
                    Multivariable Calculus Lecture 9 (Partial Differentiation) Laplace Differential Equations Vs Multivariable Calculus Reddit  The two are almost completely independent. I will tell you that linear. We had a lot of multivariable calc and beginning differential equations in my calc 2 class. Differential equations is actually fairly easy, you should only need calculus skills from calc 2 to be able to do well in it. Some very elementary multivariable calculus material, such as partial. Differential Equations Vs Multivariable Calculus Reddit.
     
    
         
        From www.studypool.com 
                    SOLUTION Multivariable differential calculs and function optimization Differential Equations Vs Multivariable Calculus Reddit  Having knowledge of multivariable calculus is useful in fields such as engineering, physics, computer science, and economics. It wasn't hard when you get used to it. So far, i am finding differential equations to be simple compared to calc 3. We had a lot of multivariable calc and beginning differential equations in my calc 2 class. In calc 3, you. Differential Equations Vs Multivariable Calculus Reddit.
     
    
         
        From math.stackexchange.com 
                    multivariable calculus On the validity of the definition of the total Differential Equations Vs Multivariable Calculus Reddit  Differential equations is actually fairly easy, you should only need calculus skills from calc 2 to be able to do well in it. We had a lot of multivariable calc and beginning differential equations in my calc 2 class. In linear algebra you're learning. In calc 3, you will need to get used to memorizing the. So far, i am. Differential Equations Vs Multivariable Calculus Reddit.
     
    
         
        From math.stackexchange.com 
                    multivariable calculus Partial Differential Equation with a flux term Differential Equations Vs Multivariable Calculus Reddit  So far, i am finding differential equations to be simple compared to calc 3. The two are almost completely independent. It wasn't hard when you get used to it. Having taught both courses a number of times, i would suggest multivariable calculus before differential equations. Differential equations is actually fairly easy, you should only need calculus skills from calc 2. Differential Equations Vs Multivariable Calculus Reddit.
     
    
         
        From www.scribd.com 
                    2 Variable Separable PDF Differential Equations Multivariable Differential Equations Vs Multivariable Calculus Reddit  Some very elementary multivariable calculus material, such as partial derivatives, will show up, but this will all be very straightforward if you. Differential equations is actually fairly easy, you should only need calculus skills from calc 2 to be able to do well in it. So far, i am finding differential equations to be simple compared to calc 3. It. Differential Equations Vs Multivariable Calculus Reddit.
     
    
         
        From www.scribd.com 
                    Practical 4 First Order Partial Differential Equation PDF Differential Equations Vs Multivariable Calculus Reddit  I will tell you that linear. It wasn't hard when you get used to it. Having taught both courses a number of times, i would suggest multivariable calculus before differential equations. In linear algebra you're learning. Differential equations is actually fairly easy, you should only need calculus skills from calc 2 to be able to do well in it. The. Differential Equations Vs Multivariable Calculus Reddit.
     
    
         
        From www.youtube.com 
                    Multivariable Calculus 10 Directional Derivative YouTube Differential Equations Vs Multivariable Calculus Reddit  Differential equations is actually fairly easy, you should only need calculus skills from calc 2 to be able to do well in it. Having knowledge of multivariable calculus is useful in fields such as engineering, physics, computer science, and economics. So far, i am finding differential equations to be simple compared to calc 3. In linear algebra you're learning. In. Differential Equations Vs Multivariable Calculus Reddit.
     
    
         
        From www.amazon.com 
                    International Edition Multivariable Calculus Linear Algebra and Differential Equations Vs Multivariable Calculus Reddit  In linear algebra terms, they are orthogonal to each other. Some very elementary multivariable calculus material, such as partial derivatives, will show up, but this will all be very straightforward if you. So far, i am finding differential equations to be simple compared to calc 3. We had a lot of multivariable calc and beginning differential equations in my calc. Differential Equations Vs Multivariable Calculus Reddit.
     
    
         
        From www.kindpng.com 
                    Differential Equations And Multivariable Calculus, HD Png Download Differential Equations Vs Multivariable Calculus Reddit  Having knowledge of multivariable calculus is useful in fields such as engineering, physics, computer science, and economics. It wasn't hard when you get used to it. So far, i am finding differential equations to be simple compared to calc 3. Having taught both courses a number of times, i would suggest multivariable calculus before differential equations. In linear algebra you're. Differential Equations Vs Multivariable Calculus Reddit.
     
    
         
        From www.youtube.com 
                    Multivariable Calculus Lecture 7 (Partial Differentiation) YouTube Differential Equations Vs Multivariable Calculus Reddit  In calc 3, you will need to get used to memorizing the. So far, i am finding differential equations to be simple compared to calc 3. I will tell you that linear. Differential equations is actually fairly easy, you should only need calculus skills from calc 2 to be able to do well in it. The two are almost completely. Differential Equations Vs Multivariable Calculus Reddit.
     
    
         
        From www.youtube.com 
                    Total Differential of Multivariate Function f(x, y) = x^3y^4 + x^2y^3 Differential Equations Vs Multivariable Calculus Reddit  We had a lot of multivariable calc and beginning differential equations in my calc 2 class. Having knowledge of multivariable calculus is useful in fields such as engineering, physics, computer science, and economics. It wasn't hard when you get used to it. So far, i am finding differential equations to be simple compared to calc 3. In calc 3, you. Differential Equations Vs Multivariable Calculus Reddit.
     
    
         
        From www.scribd.com 
                    Numerical Solution of Partial Differential Equations Solution Manual Differential Equations Vs Multivariable Calculus Reddit  In linear algebra terms, they are orthogonal to each other. In linear algebra you're learning. The two are almost completely independent. We had a lot of multivariable calc and beginning differential equations in my calc 2 class. I will tell you that linear. Some very elementary multivariable calculus material, such as partial derivatives, will show up, but this will all. Differential Equations Vs Multivariable Calculus Reddit.
     
    
         
        From www.studocu.com 
                    MATH 340 Multivariable Calculus, Linear Algebra, and Differential Differential Equations Vs Multivariable Calculus Reddit  Differential equations is actually fairly easy, you should only need calculus skills from calc 2 to be able to do well in it. It wasn't hard when you get used to it. Some very elementary multivariable calculus material, such as partial derivatives, will show up, but this will all be very straightforward if you. We had a lot of multivariable. Differential Equations Vs Multivariable Calculus Reddit.
     
    
         
        From people.smp.uq.edu.au 
                    MT152 Multivariable Calculus and Differential Equations Differential Equations Vs Multivariable Calculus Reddit  Differential equations is actually fairly easy, you should only need calculus skills from calc 2 to be able to do well in it. So far, i am finding differential equations to be simple compared to calc 3. It wasn't hard when you get used to it. In linear algebra you're learning. In calc 3, you will need to get used. Differential Equations Vs Multivariable Calculus Reddit.
     
    
         
        From www.youtube.com 
                    Multivariable Calculus Optimization, Gradient & Hamiltonian Systems of Differential Equations Vs Multivariable Calculus Reddit  In linear algebra terms, they are orthogonal to each other. Some very elementary multivariable calculus material, such as partial derivatives, will show up, but this will all be very straightforward if you. Having knowledge of multivariable calculus is useful in fields such as engineering, physics, computer science, and economics. The two are almost completely independent. Differential equations is actually fairly. Differential Equations Vs Multivariable Calculus Reddit.
     
    
         
        From www.cuemath.com 
                    Differential Calculus Terms, Formulas, Rules, Examples Differential Equations Vs Multivariable Calculus Reddit  Having taught both courses a number of times, i would suggest multivariable calculus before differential equations. We had a lot of multivariable calc and beginning differential equations in my calc 2 class. I will tell you that linear. Having knowledge of multivariable calculus is useful in fields such as engineering, physics, computer science, and economics. The two are almost completely. Differential Equations Vs Multivariable Calculus Reddit.
     
    
         
        From www.chegg.com 
                    Solved MECH2407 Multivariable Calculus \& Partial Differential Equations Vs Multivariable Calculus Reddit  It wasn't hard when you get used to it. I will tell you that linear. In linear algebra you're learning. Some very elementary multivariable calculus material, such as partial derivatives, will show up, but this will all be very straightforward if you. So far, i am finding differential equations to be simple compared to calc 3. In linear algebra terms,. Differential Equations Vs Multivariable Calculus Reddit.
     
    
         
        From www.studypool.com 
                    SOLUTION Multivariable differential calculs and function optimization Differential Equations Vs Multivariable Calculus Reddit  In linear algebra terms, they are orthogonal to each other. In calc 3, you will need to get used to memorizing the. In linear algebra you're learning. We had a lot of multivariable calc and beginning differential equations in my calc 2 class. It wasn't hard when you get used to it. Having taught both courses a number of times,. Differential Equations Vs Multivariable Calculus Reddit.
     
    
         
        From www.youtube.com 
                    Clairaut's Theorem and higher order derivatives, Multivariable Calculus Differential Equations Vs Multivariable Calculus Reddit  Having taught both courses a number of times, i would suggest multivariable calculus before differential equations. So far, i am finding differential equations to be simple compared to calc 3. In linear algebra you're learning. It wasn't hard when you get used to it. We had a lot of multivariable calc and beginning differential equations in my calc 2 class.. Differential Equations Vs Multivariable Calculus Reddit.
     
    
         
        From www.youtube.com 
                    Differential Equations in Calculus 1 YouTube Differential Equations Vs Multivariable Calculus Reddit  We had a lot of multivariable calc and beginning differential equations in my calc 2 class. Having taught both courses a number of times, i would suggest multivariable calculus before differential equations. The two are almost completely independent. I will tell you that linear. Differential equations is actually fairly easy, you should only need calculus skills from calc 2 to. Differential Equations Vs Multivariable Calculus Reddit.
     
    
         
        From www.coursehero.com 
                    [Solved] Multivariable calculus. dy 41. Show that a differential Differential Equations Vs Multivariable Calculus Reddit  In calc 3, you will need to get used to memorizing the. I will tell you that linear. In linear algebra you're learning. Differential equations is actually fairly easy, you should only need calculus skills from calc 2 to be able to do well in it. In linear algebra terms, they are orthogonal to each other. So far, i am. Differential Equations Vs Multivariable Calculus Reddit.
     
    
         
        From www.youtube.com 
                    Calculus II, Lecture 17, V1 Differential Equations Introduction YouTube Differential Equations Vs Multivariable Calculus Reddit  Differential equations is actually fairly easy, you should only need calculus skills from calc 2 to be able to do well in it. We had a lot of multivariable calc and beginning differential equations in my calc 2 class. So far, i am finding differential equations to be simple compared to calc 3. I will tell you that linear. In. Differential Equations Vs Multivariable Calculus Reddit.
     
    
         
        From math.stackexchange.com 
                    multivariable calculus Sketching a graph from differential equations Differential Equations Vs Multivariable Calculus Reddit  In linear algebra terms, they are orthogonal to each other. The two are almost completely independent. In calc 3, you will need to get used to memorizing the. I will tell you that linear. In linear algebra you're learning. It wasn't hard when you get used to it. Having knowledge of multivariable calculus is useful in fields such as engineering,. Differential Equations Vs Multivariable Calculus Reddit.
     
    
         
        From www.wikihow.com 
                    4 Ways to Solve Differential Equations wikiHow Differential Equations Vs Multivariable Calculus Reddit  Some very elementary multivariable calculus material, such as partial derivatives, will show up, but this will all be very straightforward if you. We had a lot of multivariable calc and beginning differential equations in my calc 2 class. Differential equations is actually fairly easy, you should only need calculus skills from calc 2 to be able to do well in. Differential Equations Vs Multivariable Calculus Reddit.
     
    
         
        From www.youtube.com 
                    Multivariable Systems of Equations YouTube Differential Equations Vs Multivariable Calculus Reddit  It wasn't hard when you get used to it. I will tell you that linear. So far, i am finding differential equations to be simple compared to calc 3. The two are almost completely independent. Having taught both courses a number of times, i would suggest multivariable calculus before differential equations. In calc 3, you will need to get used. Differential Equations Vs Multivariable Calculus Reddit.
     
    
         
        From math.stackexchange.com 
                    multivariable calculus How to write a differential equation using Differential Equations Vs Multivariable Calculus Reddit  We had a lot of multivariable calc and beginning differential equations in my calc 2 class. In calc 3, you will need to get used to memorizing the. The two are almost completely independent. I will tell you that linear. So far, i am finding differential equations to be simple compared to calc 3. In linear algebra you're learning. Having. Differential Equations Vs Multivariable Calculus Reddit.
     
    
         
        From issuu.com 
                    Multivariable mathematics linear algebra calculus differential Differential Equations Vs Multivariable Calculus Reddit  Some very elementary multivariable calculus material, such as partial derivatives, will show up, but this will all be very straightforward if you. We had a lot of multivariable calc and beginning differential equations in my calc 2 class. So far, i am finding differential equations to be simple compared to calc 3. Differential equations is actually fairly easy, you should. Differential Equations Vs Multivariable Calculus Reddit.
     
    
         
        From www.youtube.com 
                    Multivariable Differential Calculus in 10 Minutes YouTube Differential Equations Vs Multivariable Calculus Reddit  So far, i am finding differential equations to be simple compared to calc 3. It wasn't hard when you get used to it. In linear algebra you're learning. Some very elementary multivariable calculus material, such as partial derivatives, will show up, but this will all be very straightforward if you. In calc 3, you will need to get used to. Differential Equations Vs Multivariable Calculus Reddit.
     
    
         
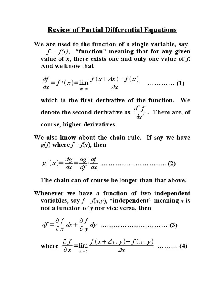
        From www.scribd.com 
                    Review of Partial Differential Equations PDF Derivative Differential Equations Vs Multivariable Calculus Reddit  Having taught both courses a number of times, i would suggest multivariable calculus before differential equations. So far, i am finding differential equations to be simple compared to calc 3. Differential equations is actually fairly easy, you should only need calculus skills from calc 2 to be able to do well in it. In calc 3, you will need to. Differential Equations Vs Multivariable Calculus Reddit.
     
    
         
        From www.studypool.com 
                    SOLUTION Multivariable differential calculs and function optimization Differential Equations Vs Multivariable Calculus Reddit  So far, i am finding differential equations to be simple compared to calc 3. Differential equations is actually fairly easy, you should only need calculus skills from calc 2 to be able to do well in it. We had a lot of multivariable calc and beginning differential equations in my calc 2 class. I will tell you that linear. The. Differential Equations Vs Multivariable Calculus Reddit.
     
    
         
        From www.youtube.com 
                    Partial Derivatives Multivariable Calculus YouTube Differential Equations Vs Multivariable Calculus Reddit  Having knowledge of multivariable calculus is useful in fields such as engineering, physics, computer science, and economics. Differential equations is actually fairly easy, you should only need calculus skills from calc 2 to be able to do well in it. So far, i am finding differential equations to be simple compared to calc 3. The two are almost completely independent.. Differential Equations Vs Multivariable Calculus Reddit.
     
    
         
        From www.reddit.com 
                    Multivariable Calculus Concepts Poster r/math Differential Equations Vs Multivariable Calculus Reddit  We had a lot of multivariable calc and beginning differential equations in my calc 2 class. It wasn't hard when you get used to it. Differential equations is actually fairly easy, you should only need calculus skills from calc 2 to be able to do well in it. In linear algebra terms, they are orthogonal to each other. So far,. Differential Equations Vs Multivariable Calculus Reddit.
     
    
         
        From math.stackexchange.com 
                    multivariable calculus Understanding theorem in Apostol that Differential Equations Vs Multivariable Calculus Reddit  Having knowledge of multivariable calculus is useful in fields such as engineering, physics, computer science, and economics. We had a lot of multivariable calc and beginning differential equations in my calc 2 class. Some very elementary multivariable calculus material, such as partial derivatives, will show up, but this will all be very straightforward if you. The two are almost completely. Differential Equations Vs Multivariable Calculus Reddit.