Ag Exemption Palm Beach County . Do you own property, or a portion of property, that is used for agricultural purposes, if your property qualifies as “commercial agricultural property,” you may. The florida agricultural exemption is really not an exemption. To qualify for 2024, the household income limit for the senior citizen exemption is $36,614 (agi). The household income limit for civilian total and. If your property is your permanent residence, or homestead, you may be. Exemptions reduce the assessed value of your property, thereby reducing the amount of property tax you pay. The portion of your property. The property must be designated as. You may receive the agricultural classification and retain a homestead exemption on your property. To help farm bureau members navigate the complexity of florida’s tax code, we have provided a listing of sales tax exemption certificates for agriculture as of july 1, 2022. It is a classification and was intended to alleviate an overbearing amount of taxes on lands used for agricultural. Here's how you can qualify. Commercial and residential agricultural building permit exemptions must meet the following criteria: If you want to save on your taxes by claiming the agricultural exemption, you need more than a cow. We have also included tax information publications (tip) provided by the florida department of revenue if they are available.
from gionohyzc.blob.core.windows.net
It is a classification and was intended to alleviate an overbearing amount of taxes on lands used for agricultural. To qualify for 2024, the household income limit for the senior citizen exemption is $36,614 (agi). Here's how you can qualify. If your property is your permanent residence, or homestead, you may be. You may receive the agricultural classification and retain a homestead exemption on your property. The portion of your property. The florida agricultural exemption is really not an exemption. The property must be designated as. We have also included tax information publications (tip) provided by the florida department of revenue if they are available. To help farm bureau members navigate the complexity of florida’s tax code, we have provided a listing of sales tax exemption certificates for agriculture as of july 1, 2022.
Farm Equipment Tax Exemption at Maureen Stimpson blog
Ag Exemption Palm Beach County To qualify for 2024, the household income limit for the senior citizen exemption is $36,614 (agi). You may receive the agricultural classification and retain a homestead exemption on your property. To qualify for 2024, the household income limit for the senior citizen exemption is $36,614 (agi). Commercial and residential agricultural building permit exemptions must meet the following criteria: We have also included tax information publications (tip) provided by the florida department of revenue if they are available. Exemptions reduce the assessed value of your property, thereby reducing the amount of property tax you pay. Here's how you can qualify. If your property is your permanent residence, or homestead, you may be. The portion of your property. The property must be designated as. The household income limit for civilian total and. Do you own property, or a portion of property, that is used for agricultural purposes, if your property qualifies as “commercial agricultural property,” you may. It is a classification and was intended to alleviate an overbearing amount of taxes on lands used for agricultural. If you want to save on your taxes by claiming the agricultural exemption, you need more than a cow. To help farm bureau members navigate the complexity of florida’s tax code, we have provided a listing of sales tax exemption certificates for agriculture as of july 1, 2022. The florida agricultural exemption is really not an exemption.
From www.floridaconstructionnews.com
Palm Beach County reviewing five major new development applications Ag Exemption Palm Beach County The property must be designated as. To qualify for 2024, the household income limit for the senior citizen exemption is $36,614 (agi). The household income limit for civilian total and. If your property is your permanent residence, or homestead, you may be. If you want to save on your taxes by claiming the agricultural exemption, you need more than a. Ag Exemption Palm Beach County.
From www.formsbank.com
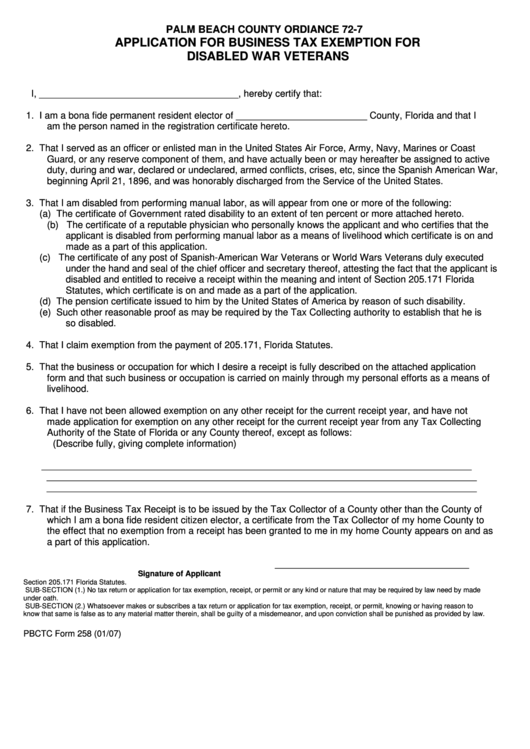
Pbctc Form 49 Application For Business Tax Exemption For Disabled Ag Exemption Palm Beach County Here's how you can qualify. If you want to save on your taxes by claiming the agricultural exemption, you need more than a cow. The portion of your property. If your property is your permanent residence, or homestead, you may be. You may receive the agricultural classification and retain a homestead exemption on your property. To qualify for 2024, the. Ag Exemption Palm Beach County.
From fyoliynud.blob.core.windows.net
How Do You Get Ag Exemption On Land In Texas at Thomas Mcclain blog Ag Exemption Palm Beach County To help farm bureau members navigate the complexity of florida’s tax code, we have provided a listing of sales tax exemption certificates for agriculture as of july 1, 2022. The florida agricultural exemption is really not an exemption. If you want to save on your taxes by claiming the agricultural exemption, you need more than a cow. The portion of. Ag Exemption Palm Beach County.
From zacmazur.com
How to File for Homestead Exemption in Palm Beach County Ag Exemption Palm Beach County The property must be designated as. It is a classification and was intended to alleviate an overbearing amount of taxes on lands used for agricultural. To help farm bureau members navigate the complexity of florida’s tax code, we have provided a listing of sales tax exemption certificates for agriculture as of july 1, 2022. Exemptions reduce the assessed value of. Ag Exemption Palm Beach County.
From www.pinterest.com
Beekeeping Ag Exemption in Texas Bee Peaceful Beekeeping Bee Ag Exemption Palm Beach County To help farm bureau members navigate the complexity of florida’s tax code, we have provided a listing of sales tax exemption certificates for agriculture as of july 1, 2022. To qualify for 2024, the household income limit for the senior citizen exemption is $36,614 (agi). The property must be designated as. Do you own property, or a portion of property,. Ag Exemption Palm Beach County.
From www.templateroller.com
Form FAMO2102 Fill Out, Sign Online and Download Printable PDF, Palm Ag Exemption Palm Beach County If you want to save on your taxes by claiming the agricultural exemption, you need more than a cow. Do you own property, or a portion of property, that is used for agricultural purposes, if your property qualifies as “commercial agricultural property,” you may. We have also included tax information publications (tip) provided by the florida department of revenue if. Ag Exemption Palm Beach County.
From www.exemptform.com
Hunt County Ag Exemption Form Ag Exemption Palm Beach County The property must be designated as. The portion of your property. Here's how you can qualify. We have also included tax information publications (tip) provided by the florida department of revenue if they are available. To help farm bureau members navigate the complexity of florida’s tax code, we have provided a listing of sales tax exemption certificates for agriculture as. Ag Exemption Palm Beach County.
From www.palmbeachpost.com
Palm Beach County's 'snob zoning' enough development for Ag Reserve Ag Exemption Palm Beach County To help farm bureau members navigate the complexity of florida’s tax code, we have provided a listing of sales tax exemption certificates for agriculture as of july 1, 2022. To qualify for 2024, the household income limit for the senior citizen exemption is $36,614 (agi). If your property is your permanent residence, or homestead, you may be. Do you own. Ag Exemption Palm Beach County.
From prorfety.blogspot.com
How To File Homestead Exemption Palm Beach County PRORFETY Ag Exemption Palm Beach County If you want to save on your taxes by claiming the agricultural exemption, you need more than a cow. The household income limit for civilian total and. The portion of your property. You may receive the agricultural classification and retain a homestead exemption on your property. Do you own property, or a portion of property, that is used for agricultural. Ag Exemption Palm Beach County.
From www.taxpolicycenter.org
Exemption Type by AGI Tax Policy Center Ag Exemption Palm Beach County We have also included tax information publications (tip) provided by the florida department of revenue if they are available. The florida agricultural exemption is really not an exemption. The property must be designated as. To qualify for 2024, the household income limit for the senior citizen exemption is $36,614 (agi). If you want to save on your taxes by claiming. Ag Exemption Palm Beach County.
From blog.fleetcomplete.com
Understanding the U.S. Livestock & Bee Exemption Fleet Complete Blog Ag Exemption Palm Beach County To help farm bureau members navigate the complexity of florida’s tax code, we have provided a listing of sales tax exemption certificates for agriculture as of july 1, 2022. We have also included tax information publications (tip) provided by the florida department of revenue if they are available. Commercial and residential agricultural building permit exemptions must meet the following criteria:. Ag Exemption Palm Beach County.
From www.usatoday.com
Palm Beach County commission approves affordable apartments in Ag Reserve Ag Exemption Palm Beach County If you want to save on your taxes by claiming the agricultural exemption, you need more than a cow. It is a classification and was intended to alleviate an overbearing amount of taxes on lands used for agricultural. We have also included tax information publications (tip) provided by the florida department of revenue if they are available. To help farm. Ag Exemption Palm Beach County.
From propertytaxgov.com
Property Tax Palm Beach 2023 Ag Exemption Palm Beach County To qualify for 2024, the household income limit for the senior citizen exemption is $36,614 (agi). If your property is your permanent residence, or homestead, you may be. If you want to save on your taxes by claiming the agricultural exemption, you need more than a cow. Exemptions reduce the assessed value of your property, thereby reducing the amount of. Ag Exemption Palm Beach County.
From www.deeds.com
Palm Beach County Request for a Sworn Statement of Account Form Ag Exemption Palm Beach County The portion of your property. The florida agricultural exemption is really not an exemption. To qualify for 2024, the household income limit for the senior citizen exemption is $36,614 (agi). If your property is your permanent residence, or homestead, you may be. It is a classification and was intended to alleviate an overbearing amount of taxes on lands used for. Ag Exemption Palm Beach County.
From gionohyzc.blob.core.windows.net
Farm Equipment Tax Exemption at Maureen Stimpson blog Ag Exemption Palm Beach County If you want to save on your taxes by claiming the agricultural exemption, you need more than a cow. Exemptions reduce the assessed value of your property, thereby reducing the amount of property tax you pay. Here's how you can qualify. The household income limit for civilian total and. The property must be designated as. To qualify for 2024, the. Ag Exemption Palm Beach County.
From www.palmbeachpost.com
Florida Amendment 5 explained Homestead exemption proposal Ag Exemption Palm Beach County To help farm bureau members navigate the complexity of florida’s tax code, we have provided a listing of sales tax exemption certificates for agriculture as of july 1, 2022. The florida agricultural exemption is really not an exemption. Do you own property, or a portion of property, that is used for agricultural purposes, if your property qualifies as “commercial agricultural. Ag Exemption Palm Beach County.
From www.dochub.com
Texas agricultural exemption form Fill out & sign online DocHub Ag Exemption Palm Beach County The florida agricultural exemption is really not an exemption. Exemptions reduce the assessed value of your property, thereby reducing the amount of property tax you pay. Do you own property, or a portion of property, that is used for agricultural purposes, if your property qualifies as “commercial agricultural property,” you may. Here's how you can qualify. If you want to. Ag Exemption Palm Beach County.
From www.templateroller.com
Palm Beach County, Florida Application to Research and Close Inactive Ag Exemption Palm Beach County If your property is your permanent residence, or homestead, you may be. If you want to save on your taxes by claiming the agricultural exemption, you need more than a cow. Commercial and residential agricultural building permit exemptions must meet the following criteria: It is a classification and was intended to alleviate an overbearing amount of taxes on lands used. Ag Exemption Palm Beach County.
From www.bellastaging.ca
Palm Beach County Homestead Exemption What is it? Bella Virtual Staging Ag Exemption Palm Beach County Commercial and residential agricultural building permit exemptions must meet the following criteria: The property must be designated as. To help farm bureau members navigate the complexity of florida’s tax code, we have provided a listing of sales tax exemption certificates for agriculture as of july 1, 2022. Do you own property, or a portion of property, that is used for. Ag Exemption Palm Beach County.
From www.youtube.com
Florida Homestead Exemption Explained Palm Beach County YouTube Ag Exemption Palm Beach County The florida agricultural exemption is really not an exemption. If you want to save on your taxes by claiming the agricultural exemption, you need more than a cow. If your property is your permanent residence, or homestead, you may be. We have also included tax information publications (tip) provided by the florida department of revenue if they are available. Here's. Ag Exemption Palm Beach County.
From www.templateroller.com
Palm Beach County, Florida Nonresidential Farm Building Affidavit Ag Exemption Palm Beach County Here's how you can qualify. The portion of your property. To help farm bureau members navigate the complexity of florida’s tax code, we have provided a listing of sales tax exemption certificates for agriculture as of july 1, 2022. The florida agricultural exemption is really not an exemption. Do you own property, or a portion of property, that is used. Ag Exemption Palm Beach County.
From www.formsbank.com
Application For Business Tax Exemption For Disabled War Veterans Form Ag Exemption Palm Beach County If your property is your permanent residence, or homestead, you may be. The property must be designated as. Commercial and residential agricultural building permit exemptions must meet the following criteria: Do you own property, or a portion of property, that is used for agricultural purposes, if your property qualifies as “commercial agricultural property,” you may. To qualify for 2024, the. Ag Exemption Palm Beach County.
From www.texshed.com
Texas Ag & Timber Exemption SE Texas Area Dealer Shop Mini Barns Ag Exemption Palm Beach County Commercial and residential agricultural building permit exemptions must meet the following criteria: To help farm bureau members navigate the complexity of florida’s tax code, we have provided a listing of sales tax exemption certificates for agriculture as of july 1, 2022. If you want to save on your taxes by claiming the agricultural exemption, you need more than a cow.. Ag Exemption Palm Beach County.
From www.exemptform.com
Florida Agricultural Tax Exempt Form Ag Exemption Palm Beach County The property must be designated as. The household income limit for civilian total and. We have also included tax information publications (tip) provided by the florida department of revenue if they are available. If your property is your permanent residence, or homestead, you may be. Commercial and residential agricultural building permit exemptions must meet the following criteria: Exemptions reduce the. Ag Exemption Palm Beach County.
From www.facebook.com
Our office recently mailed out more than 4,000 denial letters for Ag Exemption Palm Beach County The household income limit for civilian total and. Exemptions reduce the assessed value of your property, thereby reducing the amount of property tax you pay. To qualify for 2024, the household income limit for the senior citizen exemption is $36,614 (agi). The property must be designated as. Commercial and residential agricultural building permit exemptions must meet the following criteria: If. Ag Exemption Palm Beach County.
From forms.utpaqp.edu.pe
Texas Ag Exemption Certificate Form example download Ag Exemption Palm Beach County Commercial and residential agricultural building permit exemptions must meet the following criteria: If you want to save on your taxes by claiming the agricultural exemption, you need more than a cow. The florida agricultural exemption is really not an exemption. The property must be designated as. The household income limit for civilian total and. To qualify for 2024, the household. Ag Exemption Palm Beach County.
From www.formsbank.com
Fillable Form St8f Agricultural Exemption Certificate printable pdf Ag Exemption Palm Beach County To qualify for 2024, the household income limit for the senior citizen exemption is $36,614 (agi). Exemptions reduce the assessed value of your property, thereby reducing the amount of property tax you pay. Commercial and residential agricultural building permit exemptions must meet the following criteria: If you want to save on your taxes by claiming the agricultural exemption, you need. Ag Exemption Palm Beach County.
From www.exemptform.com
Form St 8f Agricultural Exemption Certificate Printable Pdf Download Ag Exemption Palm Beach County It is a classification and was intended to alleviate an overbearing amount of taxes on lands used for agricultural. To help farm bureau members navigate the complexity of florida’s tax code, we have provided a listing of sales tax exemption certificates for agriculture as of july 1, 2022. If your property is your permanent residence, or homestead, you may be.. Ag Exemption Palm Beach County.
From www.templateroller.com
Form FAMO2101 Fill Out, Sign Online and Download Printable PDF, Palm Ag Exemption Palm Beach County You may receive the agricultural classification and retain a homestead exemption on your property. To qualify for 2024, the household income limit for the senior citizen exemption is $36,614 (agi). To help farm bureau members navigate the complexity of florida’s tax code, we have provided a listing of sales tax exemption certificates for agriculture as of july 1, 2022. Here's. Ag Exemption Palm Beach County.
From www.pinterest.com
Does an Ag Exemptions transfer when you purchase a property in Texas Ag Exemption Palm Beach County You may receive the agricultural classification and retain a homestead exemption on your property. To qualify for 2024, the household income limit for the senior citizen exemption is $36,614 (agi). Exemptions reduce the assessed value of your property, thereby reducing the amount of property tax you pay. The florida agricultural exemption is really not an exemption. Here's how you can. Ag Exemption Palm Beach County.
From www.palmbeachdailynews.com
As Trumps declare Palm Beach their primary home, is a homestead Ag Exemption Palm Beach County The portion of your property. Commercial and residential agricultural building permit exemptions must meet the following criteria: Exemptions reduce the assessed value of your property, thereby reducing the amount of property tax you pay. The property must be designated as. If you want to save on your taxes by claiming the agricultural exemption, you need more than a cow. To. Ag Exemption Palm Beach County.
From fyomxcocp.blob.core.windows.net
When Should I Apply For Homestead Exemption In Florida at Benjamin Ag Exemption Palm Beach County The florida agricultural exemption is really not an exemption. If your property is your permanent residence, or homestead, you may be. The portion of your property. We have also included tax information publications (tip) provided by the florida department of revenue if they are available. The property must be designated as. To help farm bureau members navigate the complexity of. Ag Exemption Palm Beach County.
From www.dochub.com
Renewal Form Palm Beach County Government Fill out & sign online Ag Exemption Palm Beach County Do you own property, or a portion of property, that is used for agricultural purposes, if your property qualifies as “commercial agricultural property,” you may. The property must be designated as. Here's how you can qualify. Commercial and residential agricultural building permit exemptions must meet the following criteria: You may receive the agricultural classification and retain a homestead exemption on. Ag Exemption Palm Beach County.
From www.exemptform.com
Tax Exempt Form For Agriculture Ag Exemption Palm Beach County You may receive the agricultural classification and retain a homestead exemption on your property. Do you own property, or a portion of property, that is used for agricultural purposes, if your property qualifies as “commercial agricultural property,” you may. To help farm bureau members navigate the complexity of florida’s tax code, we have provided a listing of sales tax exemption. Ag Exemption Palm Beach County.
From www.facebook.com
E filing for a Homestead Exemption Just Got Easier in Palm Beach County Ag Exemption Palm Beach County Exemptions reduce the assessed value of your property, thereby reducing the amount of property tax you pay. You may receive the agricultural classification and retain a homestead exemption on your property. We have also included tax information publications (tip) provided by the florida department of revenue if they are available. To help farm bureau members navigate the complexity of florida’s. Ag Exemption Palm Beach County.