A Spring Balance Is Used To Find The Weight Of A Body X . A spring balance is a type of weighing scale that uses a spring to measure weight. A spring balance is used to find the weight of a body x on the surface of the moon. A spring scale, sometimes called a spring balance, is a device used to measure the weight of an object. The newton spring balance uses a law known as hooke’s law to relate the spring extension to the force being measured. The mass of the body x is 2 kg and its weight is recorded as 3.4 n. On the surface on the moon. Here in this question, question is saying that the spring balance is used to find the weight of the body x. It consists of a coiled. The mass of the body x is 2 kg and its weight is. What is a spring balance? It hangs from above and consists of a spring with a hook at the bottom where you can. B) a spring balance is used to find the weight of a body x on the surface of the moon. There is a direct relationship between how much.
from www.toppr.com
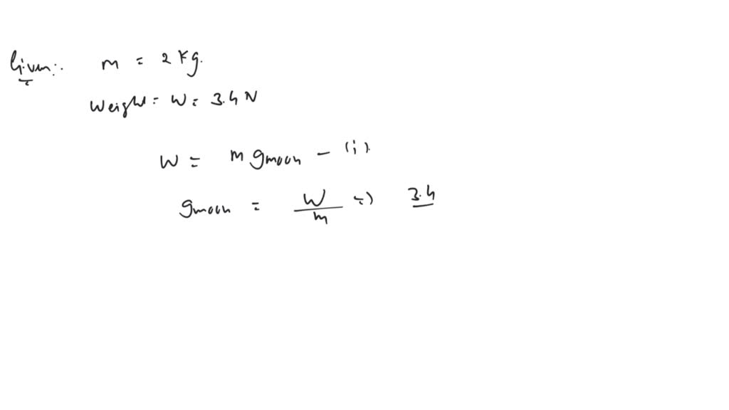
B) a spring balance is used to find the weight of a body x on the surface of the moon. The mass of the body x is 2 kg and its weight is. It hangs from above and consists of a spring with a hook at the bottom where you can. There is a direct relationship between how much. A spring balance is used to find the weight of a body x on the surface of the moon. Here in this question, question is saying that the spring balance is used to find the weight of the body x. It consists of a coiled. A spring balance is a type of weighing scale that uses a spring to measure weight. On the surface on the moon. What is a spring balance?
b) A spring balance is used to the weight of a body X on the surface of
A Spring Balance Is Used To Find The Weight Of A Body X What is a spring balance? On the surface on the moon. A spring balance is used to find the weight of a body x on the surface of the moon. What is a spring balance? A spring scale, sometimes called a spring balance, is a device used to measure the weight of an object. The mass of the body x is 2 kg and its weight is recorded as 3.4 n. It hangs from above and consists of a spring with a hook at the bottom where you can. A spring balance is a type of weighing scale that uses a spring to measure weight. There is a direct relationship between how much. B) a spring balance is used to find the weight of a body x on the surface of the moon. It consists of a coiled. The mass of the body x is 2 kg and its weight is. Here in this question, question is saying that the spring balance is used to find the weight of the body x. The newton spring balance uses a law known as hooke’s law to relate the spring extension to the force being measured.
From exouxoont.blob.core.windows.net
Parts Of A Spring Balance Scale at Steve Watts blog A Spring Balance Is Used To Find The Weight Of A Body X It consists of a coiled. B) a spring balance is used to find the weight of a body x on the surface of the moon. It hangs from above and consists of a spring with a hook at the bottom where you can. The mass of the body x is 2 kg and its weight is. A spring balance is. A Spring Balance Is Used To Find The Weight Of A Body X.
From brainly.in
Draw a well labeled diagram of a spring balance. Discuss about its A Spring Balance Is Used To Find The Weight Of A Body X It hangs from above and consists of a spring with a hook at the bottom where you can. The newton spring balance uses a law known as hooke’s law to relate the spring extension to the force being measured. A spring balance is a type of weighing scale that uses a spring to measure weight. It consists of a coiled.. A Spring Balance Is Used To Find The Weight Of A Body X.
From www.amathsdictionaryforkids.com
spring balance, spring scale A Maths Dictionary for Kids Quick A Spring Balance Is Used To Find The Weight Of A Body X A spring scale, sometimes called a spring balance, is a device used to measure the weight of an object. It consists of a coiled. A spring balance is used to find the weight of a body x on the surface of the moon. B) a spring balance is used to find the weight of a body x on the surface. A Spring Balance Is Used To Find The Weight Of A Body X.
From loearnxfh.blob.core.windows.net
Spring Balance Is Used For Measuring at Steven Morse blog A Spring Balance Is Used To Find The Weight Of A Body X B) a spring balance is used to find the weight of a body x on the surface of the moon. It consists of a coiled. It hangs from above and consists of a spring with a hook at the bottom where you can. The mass of the body x is 2 kg and its weight is. A spring scale, sometimes. A Spring Balance Is Used To Find The Weight Of A Body X.
From www.alamy.com
A spring scale, spring balance or newton meter is a type of mechanical A Spring Balance Is Used To Find The Weight Of A Body X B) a spring balance is used to find the weight of a body x on the surface of the moon. A spring balance is a type of weighing scale that uses a spring to measure weight. There is a direct relationship between how much. Here in this question, question is saying that the spring balance is used to find the. A Spring Balance Is Used To Find The Weight Of A Body X.
From byjus.com
What is a spring balance A Spring Balance Is Used To Find The Weight Of A Body X A spring scale, sometimes called a spring balance, is a device used to measure the weight of an object. B) a spring balance is used to find the weight of a body x on the surface of the moon. It hangs from above and consists of a spring with a hook at the bottom where you can. There is a. A Spring Balance Is Used To Find The Weight Of A Body X.
From www.toppr.com
wwwwwwwww wwww Weight (gwt) 1 1 2 7 8 3 4 5 6 Extension (cm) A spring A Spring Balance Is Used To Find The Weight Of A Body X The mass of the body x is 2 kg and its weight is recorded as 3.4 n. The mass of the body x is 2 kg and its weight is. Here in this question, question is saying that the spring balance is used to find the weight of the body x. B) a spring balance is used to find the. A Spring Balance Is Used To Find The Weight Of A Body X.
From www.toppr.com
Two 10 kg bodies are attached to a spring balance as shown in figure A Spring Balance Is Used To Find The Weight Of A Body X The mass of the body x is 2 kg and its weight is recorded as 3.4 n. The newton spring balance uses a law known as hooke’s law to relate the spring extension to the force being measured. What is a spring balance? B) a spring balance is used to find the weight of a body x on the surface. A Spring Balance Is Used To Find The Weight Of A Body X.
From loearnxfh.blob.core.windows.net
Spring Balance Is Used For Measuring at Steven Morse blog A Spring Balance Is Used To Find The Weight Of A Body X A spring balance is used to find the weight of a body x on the surface of the moon. A spring scale, sometimes called a spring balance, is a device used to measure the weight of an object. What is a spring balance? It hangs from above and consists of a spring with a hook at the bottom where you. A Spring Balance Is Used To Find The Weight Of A Body X.
From ar.inspiredpencil.com
Spring Balance Diagram A Spring Balance Is Used To Find The Weight Of A Body X The mass of the body x is 2 kg and its weight is recorded as 3.4 n. It hangs from above and consists of a spring with a hook at the bottom where you can. A spring balance is a type of weighing scale that uses a spring to measure weight. What is a spring balance? On the surface on. A Spring Balance Is Used To Find The Weight Of A Body X.
From www.advance-africa.com
Physics Notes Form 2 Free Download KCSE Revision Notes PDF A Spring Balance Is Used To Find The Weight Of A Body X A spring balance is a type of weighing scale that uses a spring to measure weight. What is a spring balance? Here in this question, question is saying that the spring balance is used to find the weight of the body x. There is a direct relationship between how much. B) a spring balance is used to find the weight. A Spring Balance Is Used To Find The Weight Of A Body X.
From www.homesciencetools.com
Springs Scales to Measure Weight or Force A Spring Balance Is Used To Find The Weight Of A Body X B) a spring balance is used to find the weight of a body x on the surface of the moon. It consists of a coiled. The newton spring balance uses a law known as hooke’s law to relate the spring extension to the force being measured. There is a direct relationship between how much. What is a spring balance? The. A Spring Balance Is Used To Find The Weight Of A Body X.
From fyoafudxu.blob.core.windows.net
Spring Balance Measure Weight Or Mass at Lisa Jensen blog A Spring Balance Is Used To Find The Weight Of A Body X A spring balance is a type of weighing scale that uses a spring to measure weight. Here in this question, question is saying that the spring balance is used to find the weight of the body x. On the surface on the moon. There is a direct relationship between how much. B) a spring balance is used to find the. A Spring Balance Is Used To Find The Weight Of A Body X.
From www.toppr.com
[2] (b) A spring balance is used to the weight of a body X on the A Spring Balance Is Used To Find The Weight Of A Body X The newton spring balance uses a law known as hooke’s law to relate the spring extension to the force being measured. The mass of the body x is 2 kg and its weight is. What is a spring balance? The mass of the body x is 2 kg and its weight is recorded as 3.4 n. A spring balance is. A Spring Balance Is Used To Find The Weight Of A Body X.
From www.toppr.com
2 of a Llandare La geuge b) A spring balance is used to the weight of a A Spring Balance Is Used To Find The Weight Of A Body X It consists of a coiled. A spring balance is a type of weighing scale that uses a spring to measure weight. Here in this question, question is saying that the spring balance is used to find the weight of the body x. The newton spring balance uses a law known as hooke’s law to relate the spring extension to the. A Spring Balance Is Used To Find The Weight Of A Body X.
From www.toppr.com
wwwwwwwww wwww Weight (gwt) 1 1 2 7 8 3 4 5 6 Extension (cm) A spring A Spring Balance Is Used To Find The Weight Of A Body X It consists of a coiled. Here in this question, question is saying that the spring balance is used to find the weight of the body x. A spring balance is used to find the weight of a body x on the surface of the moon. A spring scale, sometimes called a spring balance, is a device used to measure the. A Spring Balance Is Used To Find The Weight Of A Body X.
From exofetojr.blob.core.windows.net
Spring Scale Elementary Definition at Jennifer Diamond blog A Spring Balance Is Used To Find The Weight Of A Body X What is a spring balance? The newton spring balance uses a law known as hooke’s law to relate the spring extension to the force being measured. Here in this question, question is saying that the spring balance is used to find the weight of the body x. A spring balance is a type of weighing scale that uses a spring. A Spring Balance Is Used To Find The Weight Of A Body X.
From www.toppr.com
b) A spring balance is used to the weight of a body X on the surface of A Spring Balance Is Used To Find The Weight Of A Body X A spring balance is a type of weighing scale that uses a spring to measure weight. On the surface on the moon. A spring balance is used to find the weight of a body x on the surface of the moon. The mass of the body x is 2 kg and its weight is. There is a direct relationship between. A Spring Balance Is Used To Find The Weight Of A Body X.
From www.advance-africa.com
Physics Notes Form 1 to 4 Physics Form 4, 3, 2, 1 Notes Free Download A Spring Balance Is Used To Find The Weight Of A Body X A spring balance is used to find the weight of a body x on the surface of the moon. The mass of the body x is 2 kg and its weight is. On the surface on the moon. The mass of the body x is 2 kg and its weight is recorded as 3.4 n. The newton spring balance uses. A Spring Balance Is Used To Find The Weight Of A Body X.
From www.youtube.com
How to use a SPRING BALANCE Basic Science Physics Experiment YouTube A Spring Balance Is Used To Find The Weight Of A Body X B) a spring balance is used to find the weight of a body x on the surface of the moon. It hangs from above and consists of a spring with a hook at the bottom where you can. A spring scale, sometimes called a spring balance, is a device used to measure the weight of an object. On the surface. A Spring Balance Is Used To Find The Weight Of A Body X.
From ar.inspiredpencil.com
Spring Balance Diagram A Spring Balance Is Used To Find The Weight Of A Body X A spring scale, sometimes called a spring balance, is a device used to measure the weight of an object. The mass of the body x is 2 kg and its weight is recorded as 3.4 n. There is a direct relationship between how much. A spring balance is used to find the weight of a body x on the surface. A Spring Balance Is Used To Find The Weight Of A Body X.
From www.sciencephoto.com
Springloaded weight balance Stock Image C009/9438 Science Photo A Spring Balance Is Used To Find The Weight Of A Body X The newton spring balance uses a law known as hooke’s law to relate the spring extension to the force being measured. The mass of the body x is 2 kg and its weight is. It consists of a coiled. On the surface on the moon. Here in this question, question is saying that the spring balance is used to find. A Spring Balance Is Used To Find The Weight Of A Body X.
From physicscalculations.com
How to Use a Spring Balance A Spring Balance Is Used To Find The Weight Of A Body X A spring scale, sometimes called a spring balance, is a device used to measure the weight of an object. What is a spring balance? A spring balance is a type of weighing scale that uses a spring to measure weight. Here in this question, question is saying that the spring balance is used to find the weight of the body. A Spring Balance Is Used To Find The Weight Of A Body X.
From exouxoont.blob.core.windows.net
Parts Of A Spring Balance Scale at Steve Watts blog A Spring Balance Is Used To Find The Weight Of A Body X It consists of a coiled. A spring scale, sometimes called a spring balance, is a device used to measure the weight of an object. The mass of the body x is 2 kg and its weight is recorded as 3.4 n. A spring balance is a type of weighing scale that uses a spring to measure weight. B) a spring. A Spring Balance Is Used To Find The Weight Of A Body X.
From brainly.in
A spring balance is used to find the wt of a bodyx on the surface of A Spring Balance Is Used To Find The Weight Of A Body X The mass of the body x is 2 kg and its weight is recorded as 3.4 n. A spring scale, sometimes called a spring balance, is a device used to measure the weight of an object. Here in this question, question is saying that the spring balance is used to find the weight of the body x. The mass of. A Spring Balance Is Used To Find The Weight Of A Body X.
From www.youtube.com
How to use a spring scale YouTube A Spring Balance Is Used To Find The Weight Of A Body X The newton spring balance uses a law known as hooke’s law to relate the spring extension to the force being measured. What is a spring balance? A spring scale, sometimes called a spring balance, is a device used to measure the weight of an object. On the surface on the moon. The mass of the body x is 2 kg. A Spring Balance Is Used To Find The Weight Of A Body X.
From us.ohaus.com
OHAUS Spring Scales A Spring Balance Is Used To Find The Weight Of A Body X There is a direct relationship between how much. The newton spring balance uses a law known as hooke’s law to relate the spring extension to the force being measured. A spring balance is used to find the weight of a body x on the surface of the moon. A spring scale, sometimes called a spring balance, is a device used. A Spring Balance Is Used To Find The Weight Of A Body X.
From www.wiltronics.com.au
The Working Principle of a Spring Balance Wiltronics A Spring Balance Is Used To Find The Weight Of A Body X The mass of the body x is 2 kg and its weight is recorded as 3.4 n. The mass of the body x is 2 kg and its weight is. On the surface on the moon. A spring balance is used to find the weight of a body x on the surface of the moon. It consists of a coiled.. A Spring Balance Is Used To Find The Weight Of A Body X.
From www.numerade.com
SOLVED Spring balance is used to find the weight of a body x on the A Spring Balance Is Used To Find The Weight Of A Body X A spring balance is a type of weighing scale that uses a spring to measure weight. The mass of the body x is 2 kg and its weight is recorded as 3.4 n. What is a spring balance? The newton spring balance uses a law known as hooke’s law to relate the spring extension to the force being measured. There. A Spring Balance Is Used To Find The Weight Of A Body X.
From loesxftqy.blob.core.windows.net
What Does A Spring Balance Used For at Bertha Benitez blog A Spring Balance Is Used To Find The Weight Of A Body X It hangs from above and consists of a spring with a hook at the bottom where you can. Here in this question, question is saying that the spring balance is used to find the weight of the body x. A spring scale, sometimes called a spring balance, is a device used to measure the weight of an object. It consists. A Spring Balance Is Used To Find The Weight Of A Body X.
From loeqbwioc.blob.core.windows.net
How Does The Spring Balance Work at Rufus Tedder blog A Spring Balance Is Used To Find The Weight Of A Body X A spring scale, sometimes called a spring balance, is a device used to measure the weight of an object. A spring balance is a type of weighing scale that uses a spring to measure weight. The newton spring balance uses a law known as hooke’s law to relate the spring extension to the force being measured. B) a spring balance. A Spring Balance Is Used To Find The Weight Of A Body X.
From www.teachoo.com
What is a spring balance? with its Least count Teachoo A Spring Balance Is Used To Find The Weight Of A Body X A spring balance is used to find the weight of a body x on the surface of the moon. It hangs from above and consists of a spring with a hook at the bottom where you can. A spring balance is a type of weighing scale that uses a spring to measure weight. The mass of the body x is. A Spring Balance Is Used To Find The Weight Of A Body X.
From www.toppr.com
2 of a Llandare La geuge b) A spring balance is used to the weight of a A Spring Balance Is Used To Find The Weight Of A Body X A spring balance is a type of weighing scale that uses a spring to measure weight. A spring balance is used to find the weight of a body x on the surface of the moon. The mass of the body x is 2 kg and its weight is recorded as 3.4 n. The newton spring balance uses a law known. A Spring Balance Is Used To Find The Weight Of A Body X.
From www.toppr.com
Two 10 kg bodies are attached to a spring balance as shown in figure A Spring Balance Is Used To Find The Weight Of A Body X It consists of a coiled. It hangs from above and consists of a spring with a hook at the bottom where you can. Here in this question, question is saying that the spring balance is used to find the weight of the body x. A spring scale, sometimes called a spring balance, is a device used to measure the weight. A Spring Balance Is Used To Find The Weight Of A Body X.
From brainly.in
spring balance is used to find the weight of a body acts on the surface A Spring Balance Is Used To Find The Weight Of A Body X B) a spring balance is used to find the weight of a body x on the surface of the moon. It hangs from above and consists of a spring with a hook at the bottom where you can. It consists of a coiled. The mass of the body x is 2 kg and its weight is. What is a spring. A Spring Balance Is Used To Find The Weight Of A Body X.