Aleks Qualitatively Predicting Reaction Entropy . Aleks ch 20 a tl predicting qualitively now entropy changes w temp g voi tt t s th as vp ps. homework aleks ch 20 tl predicting. predicting the change in entropy for mixing pure substances or separating a mixture. how to predict the change in entropy for a reaction. Determine for the given reaction whether phases have changed from solid to liquid or to gas or whether the number of. predicting the strength of intermolecular forces from an electrostatic potential map. practice qualitatively predicting reaction entropy with practice problems and explanations. about press copyright contact us creators advertise developers terms privacy policy & safety how youtube.
from www.numerade.com
about press copyright contact us creators advertise developers terms privacy policy & safety how youtube. Determine for the given reaction whether phases have changed from solid to liquid or to gas or whether the number of. practice qualitatively predicting reaction entropy with practice problems and explanations. predicting the change in entropy for mixing pure substances or separating a mixture. Aleks ch 20 a tl predicting qualitively now entropy changes w temp g voi tt t s th as vp ps. how to predict the change in entropy for a reaction. homework aleks ch 20 tl predicting. predicting the strength of intermolecular forces from an electrostatic potential map.
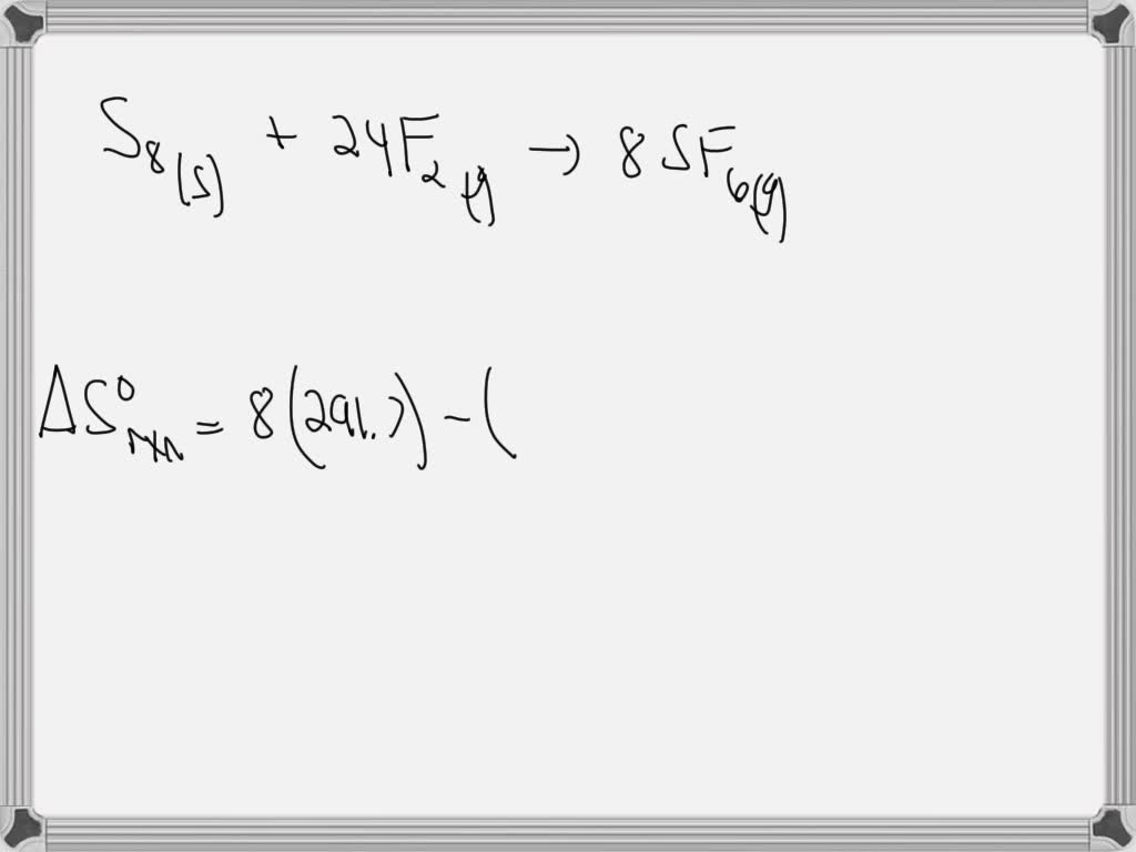
SOLVED Using the thermodynamic information in the ALEKS Data tab
Aleks Qualitatively Predicting Reaction Entropy predicting the strength of intermolecular forces from an electrostatic potential map. predicting the strength of intermolecular forces from an electrostatic potential map. Determine for the given reaction whether phases have changed from solid to liquid or to gas or whether the number of. Aleks ch 20 a tl predicting qualitively now entropy changes w temp g voi tt t s th as vp ps. predicting the change in entropy for mixing pure substances or separating a mixture. homework aleks ch 20 tl predicting. about press copyright contact us creators advertise developers terms privacy policy & safety how youtube. practice qualitatively predicting reaction entropy with practice problems and explanations. how to predict the change in entropy for a reaction.
From www.numerade.com
SOLVED ENTROPY AND FREE ENERGY Qualitatively predicting reaction Aleks Qualitatively Predicting Reaction Entropy how to predict the change in entropy for a reaction. predicting the change in entropy for mixing pure substances or separating a mixture. predicting the strength of intermolecular forces from an electrostatic potential map. Aleks ch 20 a tl predicting qualitively now entropy changes w temp g voi tt t s th as vp ps. practice. Aleks Qualitatively Predicting Reaction Entropy.
From www.youtube.com
18.1e Predicting qualitatively how entropy changes with mixing and Aleks Qualitatively Predicting Reaction Entropy Aleks ch 20 a tl predicting qualitively now entropy changes w temp g voi tt t s th as vp ps. how to predict the change in entropy for a reaction. predicting the strength of intermolecular forces from an electrostatic potential map. Determine for the given reaction whether phases have changed from solid to liquid or to gas. Aleks Qualitatively Predicting Reaction Entropy.
From www.youtube.com
ALEKS Predicting qualitatively how entropy changes with mixing and Aleks Qualitatively Predicting Reaction Entropy Determine for the given reaction whether phases have changed from solid to liquid or to gas or whether the number of. predicting the strength of intermolecular forces from an electrostatic potential map. Aleks ch 20 a tl predicting qualitively now entropy changes w temp g voi tt t s th as vp ps. about press copyright contact us. Aleks Qualitatively Predicting Reaction Entropy.
From www.youtube.com
ALEKS Predicting qualitatively how entropy changes with temperature Aleks Qualitatively Predicting Reaction Entropy Aleks ch 20 a tl predicting qualitively now entropy changes w temp g voi tt t s th as vp ps. how to predict the change in entropy for a reaction. predicting the strength of intermolecular forces from an electrostatic potential map. Determine for the given reaction whether phases have changed from solid to liquid or to gas. Aleks Qualitatively Predicting Reaction Entropy.
From study.com
Qualitatively Predicting Reaction Entropy Chemistry Aleks Qualitatively Predicting Reaction Entropy Determine for the given reaction whether phases have changed from solid to liquid or to gas or whether the number of. about press copyright contact us creators advertise developers terms privacy policy & safety how youtube. how to predict the change in entropy for a reaction. Aleks ch 20 a tl predicting qualitively now entropy changes w temp. Aleks Qualitatively Predicting Reaction Entropy.
From www.youtube.com
ALEKS Calculating entropy change for reversible heat flow YouTube Aleks Qualitatively Predicting Reaction Entropy homework aleks ch 20 tl predicting. Aleks ch 20 a tl predicting qualitively now entropy changes w temp g voi tt t s th as vp ps. how to predict the change in entropy for a reaction. Determine for the given reaction whether phases have changed from solid to liquid or to gas or whether the number of.. Aleks Qualitatively Predicting Reaction Entropy.
From www.youtube.com
ALEKS Calculating reaction entropy using standard molar entropies of Aleks Qualitatively Predicting Reaction Entropy Determine for the given reaction whether phases have changed from solid to liquid or to gas or whether the number of. predicting the strength of intermolecular forces from an electrostatic potential map. predicting the change in entropy for mixing pure substances or separating a mixture. practice qualitatively predicting reaction entropy with practice problems and explanations. about. Aleks Qualitatively Predicting Reaction Entropy.
From www.youtube.com
ALEKS Predicting precipitation (Example 1) YouTube Aleks Qualitatively Predicting Reaction Entropy predicting the change in entropy for mixing pure substances or separating a mixture. Determine for the given reaction whether phases have changed from solid to liquid or to gas or whether the number of. about press copyright contact us creators advertise developers terms privacy policy & safety how youtube. practice qualitatively predicting reaction entropy with practice problems. Aleks Qualitatively Predicting Reaction Entropy.
From www.numerade.com
SOLVED Using the thermodynamic information in the ALEKS Data tab Aleks Qualitatively Predicting Reaction Entropy about press copyright contact us creators advertise developers terms privacy policy & safety how youtube. Determine for the given reaction whether phases have changed from solid to liquid or to gas or whether the number of. Aleks ch 20 a tl predicting qualitively now entropy changes w temp g voi tt t s th as vp ps. predicting. Aleks Qualitatively Predicting Reaction Entropy.
From www.numerade.com
SOLVED Text Qualitatively predicting reaction entropy For each Aleks Qualitatively Predicting Reaction Entropy Determine for the given reaction whether phases have changed from solid to liquid or to gas or whether the number of. how to predict the change in entropy for a reaction. practice qualitatively predicting reaction entropy with practice problems and explanations. Aleks ch 20 a tl predicting qualitively now entropy changes w temp g voi tt t s. Aleks Qualitatively Predicting Reaction Entropy.
From www.chegg.com
Solved Qualitatively predicting reaction entropy For each Aleks Qualitatively Predicting Reaction Entropy about press copyright contact us creators advertise developers terms privacy policy & safety how youtube. practice qualitatively predicting reaction entropy with practice problems and explanations. how to predict the change in entropy for a reaction. homework aleks ch 20 tl predicting. predicting the change in entropy for mixing pure substances or separating a mixture. Aleks. Aleks Qualitatively Predicting Reaction Entropy.
From www.numerade.com
SOLVED Using the thermodynamic information in the ALEKS Data tab Aleks Qualitatively Predicting Reaction Entropy Aleks ch 20 a tl predicting qualitively now entropy changes w temp g voi tt t s th as vp ps. predicting the change in entropy for mixing pure substances or separating a mixture. predicting the strength of intermolecular forces from an electrostatic potential map. Determine for the given reaction whether phases have changed from solid to liquid. Aleks Qualitatively Predicting Reaction Entropy.
From www.youtube.com
Aleks Predicting the reactants of a neutralization reaction YouTube Aleks Qualitatively Predicting Reaction Entropy about press copyright contact us creators advertise developers terms privacy policy & safety how youtube. predicting the strength of intermolecular forces from an electrostatic potential map. Determine for the given reaction whether phases have changed from solid to liquid or to gas or whether the number of. Aleks ch 20 a tl predicting qualitively now entropy changes w. Aleks Qualitatively Predicting Reaction Entropy.
From www.youtube.com
Aleks Predicting how reaction rate varies with pressure, concentration Aleks Qualitatively Predicting Reaction Entropy Determine for the given reaction whether phases have changed from solid to liquid or to gas or whether the number of. how to predict the change in entropy for a reaction. about press copyright contact us creators advertise developers terms privacy policy & safety how youtube. Aleks ch 20 a tl predicting qualitively now entropy changes w temp. Aleks Qualitatively Predicting Reaction Entropy.
From www.youtube.com
ALEKS Predicting how reaction rate varies with pressure, concentration Aleks Qualitatively Predicting Reaction Entropy Determine for the given reaction whether phases have changed from solid to liquid or to gas or whether the number of. homework aleks ch 20 tl predicting. predicting the strength of intermolecular forces from an electrostatic potential map. about press copyright contact us creators advertise developers terms privacy policy & safety how youtube. Aleks ch 20 a. Aleks Qualitatively Predicting Reaction Entropy.
From www.chegg.com
Solved Using the thermodynamic information in the ALEKS Data Aleks Qualitatively Predicting Reaction Entropy Determine for the given reaction whether phases have changed from solid to liquid or to gas or whether the number of. how to predict the change in entropy for a reaction. practice qualitatively predicting reaction entropy with practice problems and explanations. homework aleks ch 20 tl predicting. predicting the strength of intermolecular forces from an electrostatic. Aleks Qualitatively Predicting Reaction Entropy.
From www.youtube.com
ALEKS Qualitatively predicting reaction entropy YouTube Aleks Qualitatively Predicting Reaction Entropy predicting the strength of intermolecular forces from an electrostatic potential map. practice qualitatively predicting reaction entropy with practice problems and explanations. Aleks ch 20 a tl predicting qualitively now entropy changes w temp g voi tt t s th as vp ps. how to predict the change in entropy for a reaction. about press copyright contact. Aleks Qualitatively Predicting Reaction Entropy.
From www.numerade.com
SOLVED Using the thermodynamic information in the ALEKS Data tab Aleks Qualitatively Predicting Reaction Entropy practice qualitatively predicting reaction entropy with practice problems and explanations. Aleks ch 20 a tl predicting qualitively now entropy changes w temp g voi tt t s th as vp ps. predicting the change in entropy for mixing pure substances or separating a mixture. Determine for the given reaction whether phases have changed from solid to liquid or. Aleks Qualitatively Predicting Reaction Entropy.
From www.youtube.com
Qualitatively predicting reaction entropy YouTube Aleks Qualitatively Predicting Reaction Entropy how to predict the change in entropy for a reaction. about press copyright contact us creators advertise developers terms privacy policy & safety how youtube. predicting the change in entropy for mixing pure substances or separating a mixture. homework aleks ch 20 tl predicting. practice qualitatively predicting reaction entropy with practice problems and explanations. Determine. Aleks Qualitatively Predicting Reaction Entropy.
From www.chegg.com
Solved Using the thermodynamic information in the ALEKS Data Aleks Qualitatively Predicting Reaction Entropy predicting the change in entropy for mixing pure substances or separating a mixture. how to predict the change in entropy for a reaction. Aleks ch 20 a tl predicting qualitively now entropy changes w temp g voi tt t s th as vp ps. about press copyright contact us creators advertise developers terms privacy policy & safety. Aleks Qualitatively Predicting Reaction Entropy.
From www.youtube.com
Aleks Predicting qualitatively how entropy changes with temperature and Aleks Qualitatively Predicting Reaction Entropy predicting the change in entropy for mixing pure substances or separating a mixture. homework aleks ch 20 tl predicting. Aleks ch 20 a tl predicting qualitively now entropy changes w temp g voi tt t s th as vp ps. practice qualitatively predicting reaction entropy with practice problems and explanations. how to predict the change in. Aleks Qualitatively Predicting Reaction Entropy.
From www.youtube.com
Aleks Predicting whether simple electrochemical reactions happen YouTube Aleks Qualitatively Predicting Reaction Entropy how to predict the change in entropy for a reaction. practice qualitatively predicting reaction entropy with practice problems and explanations. predicting the strength of intermolecular forces from an electrostatic potential map. predicting the change in entropy for mixing pure substances or separating a mixture. Aleks ch 20 a tl predicting qualitively now entropy changes w temp. Aleks Qualitatively Predicting Reaction Entropy.
From www.youtube.com
ALEKS Predicting qualitatively how entropy changes with mixing and Aleks Qualitatively Predicting Reaction Entropy Determine for the given reaction whether phases have changed from solid to liquid or to gas or whether the number of. predicting the change in entropy for mixing pure substances or separating a mixture. practice qualitatively predicting reaction entropy with practice problems and explanations. homework aleks ch 20 tl predicting. how to predict the change in. Aleks Qualitatively Predicting Reaction Entropy.
From www.chegg.com
Solved Using the thermodynamic information in the ALEKS Data Aleks Qualitatively Predicting Reaction Entropy predicting the change in entropy for mixing pure substances or separating a mixture. homework aleks ch 20 tl predicting. practice qualitatively predicting reaction entropy with practice problems and explanations. predicting the strength of intermolecular forces from an electrostatic potential map. Determine for the given reaction whether phases have changed from solid to liquid or to gas. Aleks Qualitatively Predicting Reaction Entropy.
From www.chegg.com
Using the thermodynamic information in the ALEKS Data Aleks Qualitatively Predicting Reaction Entropy Determine for the given reaction whether phases have changed from solid to liquid or to gas or whether the number of. predicting the strength of intermolecular forces from an electrostatic potential map. practice qualitatively predicting reaction entropy with practice problems and explanations. Aleks ch 20 a tl predicting qualitively now entropy changes w temp g voi tt t. Aleks Qualitatively Predicting Reaction Entropy.
From www.youtube.com
ALEKS Predicting qualitatively how entropy changes with temperature Aleks Qualitatively Predicting Reaction Entropy predicting the change in entropy for mixing pure substances or separating a mixture. practice qualitatively predicting reaction entropy with practice problems and explanations. Determine for the given reaction whether phases have changed from solid to liquid or to gas or whether the number of. Aleks ch 20 a tl predicting qualitively now entropy changes w temp g voi. Aleks Qualitatively Predicting Reaction Entropy.
From www.youtube.com
Aleks Predicting relative forward and reverse rates of reaction in a Aleks Qualitatively Predicting Reaction Entropy Aleks ch 20 a tl predicting qualitively now entropy changes w temp g voi tt t s th as vp ps. how to predict the change in entropy for a reaction. practice qualitatively predicting reaction entropy with practice problems and explanations. predicting the change in entropy for mixing pure substances or separating a mixture. Determine for the. Aleks Qualitatively Predicting Reaction Entropy.
From www.numerade.com
SOLVED Texts ENTROPY AND FREE ENERGY Calculating reaction entropy Aleks Qualitatively Predicting Reaction Entropy Aleks ch 20 a tl predicting qualitively now entropy changes w temp g voi tt t s th as vp ps. about press copyright contact us creators advertise developers terms privacy policy & safety how youtube. predicting the strength of intermolecular forces from an electrostatic potential map. predicting the change in entropy for mixing pure substances or. Aleks Qualitatively Predicting Reaction Entropy.
From www.numerade.com
SOLVED Qualitatively predicting reaction entropy QUESTION For each Aleks Qualitatively Predicting Reaction Entropy homework aleks ch 20 tl predicting. predicting the change in entropy for mixing pure substances or separating a mixture. predicting the strength of intermolecular forces from an electrostatic potential map. about press copyright contact us creators advertise developers terms privacy policy & safety how youtube. Aleks ch 20 a tl predicting qualitively now entropy changes w. Aleks Qualitatively Predicting Reaction Entropy.
From www.youtube.com
ALEKS Qualitatively Predicting Reaction Entropy YouTube Aleks Qualitatively Predicting Reaction Entropy predicting the strength of intermolecular forces from an electrostatic potential map. how to predict the change in entropy for a reaction. predicting the change in entropy for mixing pure substances or separating a mixture. Determine for the given reaction whether phases have changed from solid to liquid or to gas or whether the number of. homework. Aleks Qualitatively Predicting Reaction Entropy.
From www.youtube.com
18.1f Qualitatively predicting reaction entropy YouTube Aleks Qualitatively Predicting Reaction Entropy predicting the strength of intermolecular forces from an electrostatic potential map. homework aleks ch 20 tl predicting. how to predict the change in entropy for a reaction. Aleks ch 20 a tl predicting qualitively now entropy changes w temp g voi tt t s th as vp ps. about press copyright contact us creators advertise developers. Aleks Qualitatively Predicting Reaction Entropy.
From www.numerade.com
SOLVED Using the thermodynamic information in the ALEKS Data tab Aleks Qualitatively Predicting Reaction Entropy predicting the change in entropy for mixing pure substances or separating a mixture. how to predict the change in entropy for a reaction. Determine for the given reaction whether phases have changed from solid to liquid or to gas or whether the number of. about press copyright contact us creators advertise developers terms privacy policy & safety. Aleks Qualitatively Predicting Reaction Entropy.
From www.numerade.com
SOLVED Using the thermodynamic information in the ALEKS Data tab Aleks Qualitatively Predicting Reaction Entropy practice qualitatively predicting reaction entropy with practice problems and explanations. predicting the change in entropy for mixing pure substances or separating a mixture. how to predict the change in entropy for a reaction. Aleks ch 20 a tl predicting qualitively now entropy changes w temp g voi tt t s th as vp ps. predicting the. Aleks Qualitatively Predicting Reaction Entropy.
From www.youtube.com
ALEKS Identifying precipitation, combustion and acidbase reactions Aleks Qualitatively Predicting Reaction Entropy predicting the change in entropy for mixing pure substances or separating a mixture. Aleks ch 20 a tl predicting qualitively now entropy changes w temp g voi tt t s th as vp ps. Determine for the given reaction whether phases have changed from solid to liquid or to gas or whether the number of. predicting the strength. Aleks Qualitatively Predicting Reaction Entropy.
From www.numerade.com
SOLVED Qualitatively predicting reaction entropy QUESTION For each Aleks Qualitatively Predicting Reaction Entropy practice qualitatively predicting reaction entropy with practice problems and explanations. how to predict the change in entropy for a reaction. homework aleks ch 20 tl predicting. predicting the change in entropy for mixing pure substances or separating a mixture. about press copyright contact us creators advertise developers terms privacy policy & safety how youtube. Determine. Aleks Qualitatively Predicting Reaction Entropy.