Ignition History Max Time Between Samples . When max time between samples is greater than 0, inserts at this sample time are not honored during historical data flushes. Max and min time between samples normally, tag historian only stores records when values change. Will the tag historian still use this function? Maximum time between samples (integer). When a tag uses the tag group sample mode, and is set to this tag group, it will ignore it's own max time between settings setting. So far the only way i have been able to achieve this is by setting up a reference tag to the “max time between samples” attribute of a. The next actor is the min/max timer. When specifying a 'max time between records' in a tag's history the historian does write a new record to the sqlt_data_* table. Where applicable, if the mode's minimum time between samples has not yet been reached, then the new value is discarded. Hello, what happens if the max time between samples is set to 0 hours?
from forum.inductiveautomation.com
Max and min time between samples normally, tag historian only stores records when values change. So far the only way i have been able to achieve this is by setting up a reference tag to the “max time between samples” attribute of a. When a tag uses the tag group sample mode, and is set to this tag group, it will ignore it's own max time between settings setting. Maximum time between samples (integer). When specifying a 'max time between records' in a tag's history the historian does write a new record to the sqlt_data_* table. Will the tag historian still use this function? Hello, what happens if the max time between samples is set to 0 hours? When max time between samples is greater than 0, inserts at this sample time are not honored during historical data flushes. The next actor is the min/max timer. Where applicable, if the mode's minimum time between samples has not yet been reached, then the new value is discarded.
Tag History Configuration max time between records Ignition
Ignition History Max Time Between Samples Maximum time between samples (integer). The next actor is the min/max timer. Hello, what happens if the max time between samples is set to 0 hours? When specifying a 'max time between records' in a tag's history the historian does write a new record to the sqlt_data_* table. When max time between samples is greater than 0, inserts at this sample time are not honored during historical data flushes. Will the tag historian still use this function? So far the only way i have been able to achieve this is by setting up a reference tag to the “max time between samples” attribute of a. Max and min time between samples normally, tag historian only stores records when values change. Maximum time between samples (integer). Where applicable, if the mode's minimum time between samples has not yet been reached, then the new value is discarded. When a tag uses the tag group sample mode, and is set to this tag group, it will ignore it's own max time between settings setting.
From www.researchgate.net
(a) Comparison between the experimental and modelled ignition time Ignition History Max Time Between Samples Where applicable, if the mode's minimum time between samples has not yet been reached, then the new value is discarded. Hello, what happens if the max time between samples is set to 0 hours? The next actor is the min/max timer. When specifying a 'max time between records' in a tag's history the historian does write a new record to. Ignition History Max Time Between Samples.
From www.researchgate.net
Histogram of time between two consecutive ignition events ( T Ignition Ignition History Max Time Between Samples Hello, what happens if the max time between samples is set to 0 hours? Maximum time between samples (integer). Max and min time between samples normally, tag historian only stores records when values change. Where applicable, if the mode's minimum time between samples has not yet been reached, then the new value is discarded. The next actor is the min/max. Ignition History Max Time Between Samples.
From www.researchgate.net
Ignition delay time comparison between the measurements and simulations Ignition History Max Time Between Samples Where applicable, if the mode's minimum time between samples has not yet been reached, then the new value is discarded. So far the only way i have been able to achieve this is by setting up a reference tag to the “max time between samples” attribute of a. When max time between samples is greater than 0, inserts at this. Ignition History Max Time Between Samples.
From www.caretxdigital.com
Car Ignition System Circuit Diagram Wiring Diagram and Schematics Ignition History Max Time Between Samples The next actor is the min/max timer. Will the tag historian still use this function? Where applicable, if the mode's minimum time between samples has not yet been reached, then the new value is discarded. When a tag uses the tag group sample mode, and is set to this tag group, it will ignore it's own max time between settings. Ignition History Max Time Between Samples.
From modrinth.com
Ignition Minecraft Mod Ignition History Max Time Between Samples Max and min time between samples normally, tag historian only stores records when values change. Hello, what happens if the max time between samples is set to 0 hours? Will the tag historian still use this function? When specifying a 'max time between records' in a tag's history the historian does write a new record to the sqlt_data_* table. Maximum. Ignition History Max Time Between Samples.
From learnmechanical.com
Electronic Ignition System Definition, Parts, Working, Applications Ignition History Max Time Between Samples When a tag uses the tag group sample mode, and is set to this tag group, it will ignore it's own max time between settings setting. Will the tag historian still use this function? The next actor is the min/max timer. Max and min time between samples normally, tag historian only stores records when values change. When specifying a 'max. Ignition History Max Time Between Samples.
From dizz.com
Difference Between Battery Ignition & Ignition System [With PDF] Ignition History Max Time Between Samples Will the tag historian still use this function? Max and min time between samples normally, tag historian only stores records when values change. The next actor is the min/max timer. When specifying a 'max time between records' in a tag's history the historian does write a new record to the sqlt_data_* table. When a tag uses the tag group sample. Ignition History Max Time Between Samples.
From forum.inductiveautomation.com
History is not showing Tag Quality Correctly for Float Value Ignition Ignition History Max Time Between Samples When max time between samples is greater than 0, inserts at this sample time are not honored during historical data flushes. When a tag uses the tag group sample mode, and is set to this tag group, it will ignore it's own max time between settings setting. When specifying a 'max time between records' in a tag's history the historian. Ignition History Max Time Between Samples.
From stewart-switch.com
5 Wire Ignition Switch Wiring Diagram Ignition History Max Time Between Samples When specifying a 'max time between records' in a tag's history the historian does write a new record to the sqlt_data_* table. Max and min time between samples normally, tag historian only stores records when values change. Maximum time between samples (integer). The next actor is the min/max timer. Where applicable, if the mode's minimum time between samples has not. Ignition History Max Time Between Samples.
From forum.inductiveautomation.com
Ignition History rows replicated in sqlth_partitions Ignition Ignition History Max Time Between Samples The next actor is the min/max timer. Will the tag historian still use this function? Where applicable, if the mode's minimum time between samples has not yet been reached, then the new value is discarded. Hello, what happens if the max time between samples is set to 0 hours? Maximum time between samples (integer). So far the only way i. Ignition History Max Time Between Samples.
From www.smart-fly.com
Ignition_Cutoff_for_Single_Receiver_Single_Ignition_Engines_Regulated Ignition History Max Time Between Samples Hello, what happens if the max time between samples is set to 0 hours? When a tag uses the tag group sample mode, and is set to this tag group, it will ignore it's own max time between settings setting. Will the tag historian still use this function? Maximum time between samples (integer). So far the only way i have. Ignition History Max Time Between Samples.
From myazlawyers.com
The Many Inconveniences of an Ignition Interlock Device My AZ Lawyers Ignition History Max Time Between Samples The next actor is the min/max timer. When specifying a 'max time between records' in a tag's history the historian does write a new record to the sqlt_data_* table. Hello, what happens if the max time between samples is set to 0 hours? Max and min time between samples normally, tag historian only stores records when values change. So far. Ignition History Max Time Between Samples.
From help.summitracing.com
How does an ignition coil work? · Help Center Ignition History Max Time Between Samples When max time between samples is greater than 0, inserts at this sample time are not honored during historical data flushes. When specifying a 'max time between records' in a tag's history the historian does write a new record to the sqlt_data_* table. Where applicable, if the mode's minimum time between samples has not yet been reached, then the new. Ignition History Max Time Between Samples.
From www.snapon.com
Ignition_Scope Ignition History Max Time Between Samples So far the only way i have been able to achieve this is by setting up a reference tag to the “max time between samples” attribute of a. When max time between samples is greater than 0, inserts at this sample time are not honored during historical data flushes. Where applicable, if the mode's minimum time between samples has not. Ignition History Max Time Between Samples.
From www.researchgate.net
Probability of successful ignition between the newly designed ignition Ignition History Max Time Between Samples When specifying a 'max time between records' in a tag's history the historian does write a new record to the sqlt_data_* table. When max time between samples is greater than 0, inserts at this sample time are not honored during historical data flushes. Maximum time between samples (integer). Max and min time between samples normally, tag historian only stores records. Ignition History Max Time Between Samples.
From boilersinfo.com
Understanding the Ignition System in Automobiles Ignition History Max Time Between Samples Where applicable, if the mode's minimum time between samples has not yet been reached, then the new value is discarded. Hello, what happens if the max time between samples is set to 0 hours? When max time between samples is greater than 0, inserts at this sample time are not honored during historical data flushes. When specifying a 'max time. Ignition History Max Time Between Samples.
From forum.inductiveautomation.com
Tag History Configuration max time between records Ignition Ignition History Max Time Between Samples Max and min time between samples normally, tag historian only stores records when values change. Where applicable, if the mode's minimum time between samples has not yet been reached, then the new value is discarded. Maximum time between samples (integer). So far the only way i have been able to achieve this is by setting up a reference tag to. Ignition History Max Time Between Samples.
From stewart-switch.com
Conventional Ignition System Diagram Ignition History Max Time Between Samples When max time between samples is greater than 0, inserts at this sample time are not honored during historical data flushes. Will the tag historian still use this function? So far the only way i have been able to achieve this is by setting up a reference tag to the “max time between samples” attribute of a. Where applicable, if. Ignition History Max Time Between Samples.
From www.researchgate.net
An example of the ignition boundary between successful and failed Ignition History Max Time Between Samples Hello, what happens if the max time between samples is set to 0 hours? Max and min time between samples normally, tag historian only stores records when values change. When specifying a 'max time between records' in a tag's history the historian does write a new record to the sqlt_data_* table. Maximum time between samples (integer). Where applicable, if the. Ignition History Max Time Between Samples.
From www.numerade.com
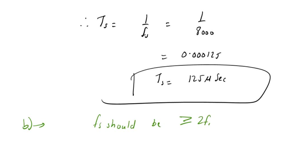
SOLVED A voice signal is sampled at 8000 samples per second. a. What Ignition History Max Time Between Samples When max time between samples is greater than 0, inserts at this sample time are not honored during historical data flushes. Hello, what happens if the max time between samples is set to 0 hours? When a tag uses the tag group sample mode, and is set to this tag group, it will ignore it's own max time between settings. Ignition History Max Time Between Samples.
From userlistsandra.z19.web.core.windows.net
1976 Toyota Ignition Wiring Schematic Ignition History Max Time Between Samples Where applicable, if the mode's minimum time between samples has not yet been reached, then the new value is discarded. So far the only way i have been able to achieve this is by setting up a reference tag to the “max time between samples” attribute of a. Will the tag historian still use this function? Max and min time. Ignition History Max Time Between Samples.
From www.got2bwireless.com
Ignition System Wiring Diagram Database Ignition History Max Time Between Samples The next actor is the min/max timer. Hello, what happens if the max time between samples is set to 0 hours? When max time between samples is greater than 0, inserts at this sample time are not honored during historical data flushes. Max and min time between samples normally, tag historian only stores records when values change. Will the tag. Ignition History Max Time Between Samples.
From www.researchgate.net
Ignition time and ignition temperature of wood samples Download Table Ignition History Max Time Between Samples When specifying a 'max time between records' in a tag's history the historian does write a new record to the sqlt_data_* table. When max time between samples is greater than 0, inserts at this sample time are not honored during historical data flushes. Maximum time between samples (integer). Max and min time between samples normally, tag historian only stores records. Ignition History Max Time Between Samples.
From www.desertcart.in
Buy Ignition, Valve Timing and Automobile Electric Systems (Self Ignition History Max Time Between Samples When max time between samples is greater than 0, inserts at this sample time are not honored during historical data flushes. So far the only way i have been able to achieve this is by setting up a reference tag to the “max time between samples” attribute of a. When a tag uses the tag group sample mode, and is. Ignition History Max Time Between Samples.
From www.ignitionapp.com
Enae JacksonAtkins Ignition Ignition History Max Time Between Samples Will the tag historian still use this function? When specifying a 'max time between records' in a tag's history the historian does write a new record to the sqlt_data_* table. When a tag uses the tag group sample mode, and is set to this tag group, it will ignore it's own max time between settings setting. When max time between. Ignition History Max Time Between Samples.
From mechanicbase.com
How to Wire an Ignition Switch? Ignition History Max Time Between Samples The next actor is the min/max timer. Hello, what happens if the max time between samples is set to 0 hours? When max time between samples is greater than 0, inserts at this sample time are not honored during historical data flushes. When a tag uses the tag group sample mode, and is set to this tag group, it will. Ignition History Max Time Between Samples.
From www.researchgate.net
(PDF) Ignition of fires Ignition History Max Time Between Samples Will the tag historian still use this function? When a tag uses the tag group sample mode, and is set to this tag group, it will ignore it's own max time between settings setting. Where applicable, if the mode's minimum time between samples has not yet been reached, then the new value is discarded. When specifying a 'max time between. Ignition History Max Time Between Samples.
From towtruck.ae
Types of Car Ignition Systems And How It Works? Tow Truck Ignition History Max Time Between Samples Max and min time between samples normally, tag historian only stores records when values change. When a tag uses the tag group sample mode, and is set to this tag group, it will ignore it's own max time between settings setting. The next actor is the min/max timer. Hello, what happens if the max time between samples is set to. Ignition History Max Time Between Samples.
From www.selettra-ignitioncoil.it
Contacts Selettra ignition coils Ignition History Max Time Between Samples Maximum time between samples (integer). When max time between samples is greater than 0, inserts at this sample time are not honored during historical data flushes. When a tag uses the tag group sample mode, and is set to this tag group, it will ignore it's own max time between settings setting. Hello, what happens if the max time between. Ignition History Max Time Between Samples.
From www.researchgate.net
Ignition history for Set 3 from 1030 to 1040, (a) without and (b Ignition History Max Time Between Samples Where applicable, if the mode's minimum time between samples has not yet been reached, then the new value is discarded. Will the tag historian still use this function? When specifying a 'max time between records' in a tag's history the historian does write a new record to the sqlt_data_* table. Hello, what happens if the max time between samples is. Ignition History Max Time Between Samples.
From www.bike24.fr
2XU Ignition stormy/silver reflective BIKE24 Ignition History Max Time Between Samples When max time between samples is greater than 0, inserts at this sample time are not honored during historical data flushes. So far the only way i have been able to achieve this is by setting up a reference tag to the “max time between samples” attribute of a. Maximum time between samples (integer). Will the tag historian still use. Ignition History Max Time Between Samples.
From www.researchgate.net
Illustration of the pilotedignition and autoignition regions as a Ignition History Max Time Between Samples Max and min time between samples normally, tag historian only stores records when values change. When a tag uses the tag group sample mode, and is set to this tag group, it will ignore it's own max time between settings setting. The next actor is the min/max timer. When specifying a 'max time between records' in a tag's history the. Ignition History Max Time Between Samples.
From www.youtube.com
Petromax 827 / 250cp Ignition Video オールドペトロマックス vintagelantern YouTube Ignition History Max Time Between Samples When max time between samples is greater than 0, inserts at this sample time are not honored during historical data flushes. Where applicable, if the mode's minimum time between samples has not yet been reached, then the new value is discarded. Maximum time between samples (integer). Max and min time between samples normally, tag historian only stores records when values. Ignition History Max Time Between Samples.
From www.youtube.com
Difference between Battery Ignition System and Ignition System Ignition History Max Time Between Samples When specifying a 'max time between records' in a tag's history the historian does write a new record to the sqlt_data_* table. So far the only way i have been able to achieve this is by setting up a reference tag to the “max time between samples” attribute of a. Maximum time between samples (integer). Will the tag historian still. Ignition History Max Time Between Samples.
From forum.inductiveautomation.com
History is not showing Tag Quality Correctly for Float Value Ignition Ignition History Max Time Between Samples When a tag uses the tag group sample mode, and is set to this tag group, it will ignore it's own max time between settings setting. Max and min time between samples normally, tag historian only stores records when values change. Maximum time between samples (integer). When specifying a 'max time between records' in a tag's history the historian does. Ignition History Max Time Between Samples.