Nursing Chest Tube Questions . Chest tubes nursing management practice questions with answers and nclex ® review. Study with quizlet and memorize flashcards containing terms like labeling lung, bedside equipment, care after chest tube and more. Test your knowledge on how to care for various tubes in the nursing setting, such as feeding, endotracheal, chest, nephrostomy and more. Study with quizlet and memorize flashcards containing terms like you are providing care to a patient with a chest tube. Assess for an air leak due to. Chest tubes are used to treat clients who have fluid in their lungs. Test your knowledge on how to care for a chest tube as a nurse in preparation for the nclex exam. Find out the priority assessment, the correct action for a dislodged. Document your findings as normal. Find out the correct nursing intervention. Which of the following is the most appropriate nursing intervention?
from www.studypool.com
Study with quizlet and memorize flashcards containing terms like labeling lung, bedside equipment, care after chest tube and more. Chest tubes are used to treat clients who have fluid in their lungs. Study with quizlet and memorize flashcards containing terms like you are providing care to a patient with a chest tube. Which of the following is the most appropriate nursing intervention? Assess for an air leak due to. Find out the priority assessment, the correct action for a dislodged. Test your knowledge on how to care for a chest tube as a nurse in preparation for the nclex exam. Chest tubes nursing management practice questions with answers and nclex ® review. Document your findings as normal. Find out the correct nursing intervention.
SOLUTION Chest tubes nclex or nursing exams questions Studypool
Nursing Chest Tube Questions Assess for an air leak due to. Test your knowledge on how to care for a chest tube as a nurse in preparation for the nclex exam. Find out the priority assessment, the correct action for a dislodged. Chest tubes nursing management practice questions with answers and nclex ® review. Find out the correct nursing intervention. Document your findings as normal. Study with quizlet and memorize flashcards containing terms like you are providing care to a patient with a chest tube. Test your knowledge on how to care for various tubes in the nursing setting, such as feeding, endotracheal, chest, nephrostomy and more. Study with quizlet and memorize flashcards containing terms like labeling lung, bedside equipment, care after chest tube and more. Assess for an air leak due to. Chest tubes are used to treat clients who have fluid in their lungs. Which of the following is the most appropriate nursing intervention?
From www.nursemear.com
Chest Tubes Made Easy Full NCLEX & Clinicals Guide — nursemear Nursing Chest Tube Questions Test your knowledge on how to care for a chest tube as a nurse in preparation for the nclex exam. Chest tubes nursing management practice questions with answers and nclex ® review. Assess for an air leak due to. Study with quizlet and memorize flashcards containing terms like you are providing care to a patient with a chest tube. Test. Nursing Chest Tube Questions.
From www.etsy.com
Nursing Chest Tube Etsy Nursing Chest Tube Questions Assess for an air leak due to. Test your knowledge on how to care for a chest tube as a nurse in preparation for the nclex exam. Which of the following is the most appropriate nursing intervention? Test your knowledge on how to care for various tubes in the nursing setting, such as feeding, endotracheal, chest, nephrostomy and more. Study. Nursing Chest Tube Questions.
From www.youtube.com
Chest Tubes Nursing Care with NCLEX Quiz YouTube Nursing Chest Tube Questions Assess for an air leak due to. Chest tubes are used to treat clients who have fluid in their lungs. Document your findings as normal. Find out the priority assessment, the correct action for a dislodged. Which of the following is the most appropriate nursing intervention? Test your knowledge on how to care for various tubes in the nursing setting,. Nursing Chest Tube Questions.
From browsegrades.net
Chest Tube Insertion and Care NOTES Browsegrades Nursing Chest Tube Questions Assess for an air leak due to. Test your knowledge on how to care for various tubes in the nursing setting, such as feeding, endotracheal, chest, nephrostomy and more. Chest tubes are used to treat clients who have fluid in their lungs. Study with quizlet and memorize flashcards containing terms like labeling lung, bedside equipment, care after chest tube and. Nursing Chest Tube Questions.
From www.smartn.ca
Smart'n Instant & Intelligent Support for Nurses Nursing Chest Tube Questions Test your knowledge on how to care for various tubes in the nursing setting, such as feeding, endotracheal, chest, nephrostomy and more. Test your knowledge on how to care for a chest tube as a nurse in preparation for the nclex exam. Assess for an air leak due to. Study with quizlet and memorize flashcards containing terms like labeling lung,. Nursing Chest Tube Questions.
From www.studypool.com
SOLUTION Chest tubes nclex or nursing exams questions Studypool Nursing Chest Tube Questions Study with quizlet and memorize flashcards containing terms like you are providing care to a patient with a chest tube. Test your knowledge on how to care for various tubes in the nursing setting, such as feeding, endotracheal, chest, nephrostomy and more. Find out the correct nursing intervention. Assess for an air leak due to. Chest tubes are used to. Nursing Chest Tube Questions.
From nursestudy.net
Set up Chest Tube Drainage w/DOPE mnemonic (Skills) Nursing Chest Tube Questions Chest tubes are used to treat clients who have fluid in their lungs. Chest tubes nursing management practice questions with answers and nclex ® review. Test your knowledge on how to care for various tubes in the nursing setting, such as feeding, endotracheal, chest, nephrostomy and more. Study with quizlet and memorize flashcards containing terms like labeling lung, bedside equipment,. Nursing Chest Tube Questions.
From www.nursesnotehelp.com
CHEST TUBE INSERTION AND MONITORING Nurses note help Nursing Chest Tube Questions Which of the following is the most appropriate nursing intervention? Find out the correct nursing intervention. Test your knowledge on how to care for a chest tube as a nurse in preparation for the nclex exam. Chest tubes are used to treat clients who have fluid in their lungs. Study with quizlet and memorize flashcards containing terms like you are. Nursing Chest Tube Questions.
From simplenursing.com
Chest Tubes Practice Questions with Answers & NCLEX Review Nursing Chest Tube Questions Document your findings as normal. Study with quizlet and memorize flashcards containing terms like labeling lung, bedside equipment, care after chest tube and more. Test your knowledge on how to care for a chest tube as a nurse in preparation for the nclex exam. Study with quizlet and memorize flashcards containing terms like you are providing care to a patient. Nursing Chest Tube Questions.
From www.studypool.com
SOLUTION Chest tubes nclex or nursing exams questions Studypool Nursing Chest Tube Questions Test your knowledge on how to care for various tubes in the nursing setting, such as feeding, endotracheal, chest, nephrostomy and more. Find out the priority assessment, the correct action for a dislodged. Chest tubes nursing management practice questions with answers and nclex ® review. Assess for an air leak due to. Test your knowledge on how to care for. Nursing Chest Tube Questions.
From www.slideshare.net
Nursing care patient with Chest tube ppt Nursing Chest Tube Questions Test your knowledge on how to care for a chest tube as a nurse in preparation for the nclex exam. Document your findings as normal. Find out the priority assessment, the correct action for a dislodged. Which of the following is the most appropriate nursing intervention? Chest tubes nursing management practice questions with answers and nclex ® review. Study with. Nursing Chest Tube Questions.
From nursingcecentral.com
Chest Tubes Nursing Care CEU Nursing CE Central Nursing Chest Tube Questions Test your knowledge on how to care for a chest tube as a nurse in preparation for the nclex exam. Test your knowledge on how to care for various tubes in the nursing setting, such as feeding, endotracheal, chest, nephrostomy and more. Find out the priority assessment, the correct action for a dislodged. Assess for an air leak due to.. Nursing Chest Tube Questions.
From www.youtube.com
NCLEX Question PE & Chest tube priorities YouTube Nursing Chest Tube Questions Chest tubes are used to treat clients who have fluid in their lungs. Study with quizlet and memorize flashcards containing terms like labeling lung, bedside equipment, care after chest tube and more. Test your knowledge on how to care for a chest tube as a nurse in preparation for the nclex exam. Find out the correct nursing intervention. Test your. Nursing Chest Tube Questions.
From www.studocu.com
Respiratory Notes From Simple Nursing Respiratory Chest Tubes Nursing Chest Tube Questions Which of the following is the most appropriate nursing intervention? Document your findings as normal. Test your knowledge on how to care for a chest tube as a nurse in preparation for the nclex exam. Chest tubes nursing management practice questions with answers and nclex ® review. Study with quizlet and memorize flashcards containing terms like you are providing care. Nursing Chest Tube Questions.
From organizednursedesigns.com
Chest Tube Nursing Care & Pneumothorax Nursing School Study Guide Nursing Chest Tube Questions Chest tubes nursing management practice questions with answers and nclex ® review. Which of the following is the most appropriate nursing intervention? Find out the priority assessment, the correct action for a dislodged. Document your findings as normal. Chest tubes are used to treat clients who have fluid in their lungs. Study with quizlet and memorize flashcards containing terms like. Nursing Chest Tube Questions.
From www.studypool.com
SOLUTION Chest tubes nclex or nursing exams questions Studypool Nursing Chest Tube Questions Assess for an air leak due to. Chest tubes nursing management practice questions with answers and nclex ® review. Test your knowledge on how to care for various tubes in the nursing setting, such as feeding, endotracheal, chest, nephrostomy and more. Test your knowledge on how to care for a chest tube as a nurse in preparation for the nclex. Nursing Chest Tube Questions.
From www.youtube.com
How To Assess and Manage A Chest Tube For Nurses Clinical Skills Nursing Chest Tube Questions Chest tubes nursing management practice questions with answers and nclex ® review. Find out the correct nursing intervention. Study with quizlet and memorize flashcards containing terms like you are providing care to a patient with a chest tube. Assess for an air leak due to. Test your knowledge on how to care for various tubes in the nursing setting, such. Nursing Chest Tube Questions.
From nursestudy.net
Chest Tubes Nursing Diagnosis and Nursing Care Plan Nursing Chest Tube Questions Find out the correct nursing intervention. Test your knowledge on how to care for a chest tube as a nurse in preparation for the nclex exam. Which of the following is the most appropriate nursing intervention? Find out the priority assessment, the correct action for a dislodged. Study with quizlet and memorize flashcards containing terms like labeling lung, bedside equipment,. Nursing Chest Tube Questions.
From www.youtube.com
Chest Tubes Nursing Care, Management and troubleshooting (part3) YouTube Nursing Chest Tube Questions Chest tubes nursing management practice questions with answers and nclex ® review. Document your findings as normal. Study with quizlet and memorize flashcards containing terms like labeling lung, bedside equipment, care after chest tube and more. Which of the following is the most appropriate nursing intervention? Find out the correct nursing intervention. Find out the priority assessment, the correct action. Nursing Chest Tube Questions.
From www.etsy.com
Chest Tubes nursing Study Sheets Etsy UK Nursing Chest Tube Questions Study with quizlet and memorize flashcards containing terms like you are providing care to a patient with a chest tube. Chest tubes are used to treat clients who have fluid in their lungs. Test your knowledge on how to care for various tubes in the nursing setting, such as feeding, endotracheal, chest, nephrostomy and more. Document your findings as normal.. Nursing Chest Tube Questions.
From www.etsy.com
Chest Tubes Nursing School Notes, Med Surg Pulmonary Basics, Chest Nursing Chest Tube Questions Find out the correct nursing intervention. Find out the priority assessment, the correct action for a dislodged. Chest tubes nursing management practice questions with answers and nclex ® review. Document your findings as normal. Chest tubes are used to treat clients who have fluid in their lungs. Which of the following is the most appropriate nursing intervention? Study with quizlet. Nursing Chest Tube Questions.
From www.studypool.com
SOLUTION Chest tubes nclex or nursing exams questions Studypool Nursing Chest Tube Questions Chest tubes are used to treat clients who have fluid in their lungs. Assess for an air leak due to. Study with quizlet and memorize flashcards containing terms like labeling lung, bedside equipment, care after chest tube and more. Find out the priority assessment, the correct action for a dislodged. Chest tubes nursing management practice questions with answers and nclex. Nursing Chest Tube Questions.
From www.studocu.com
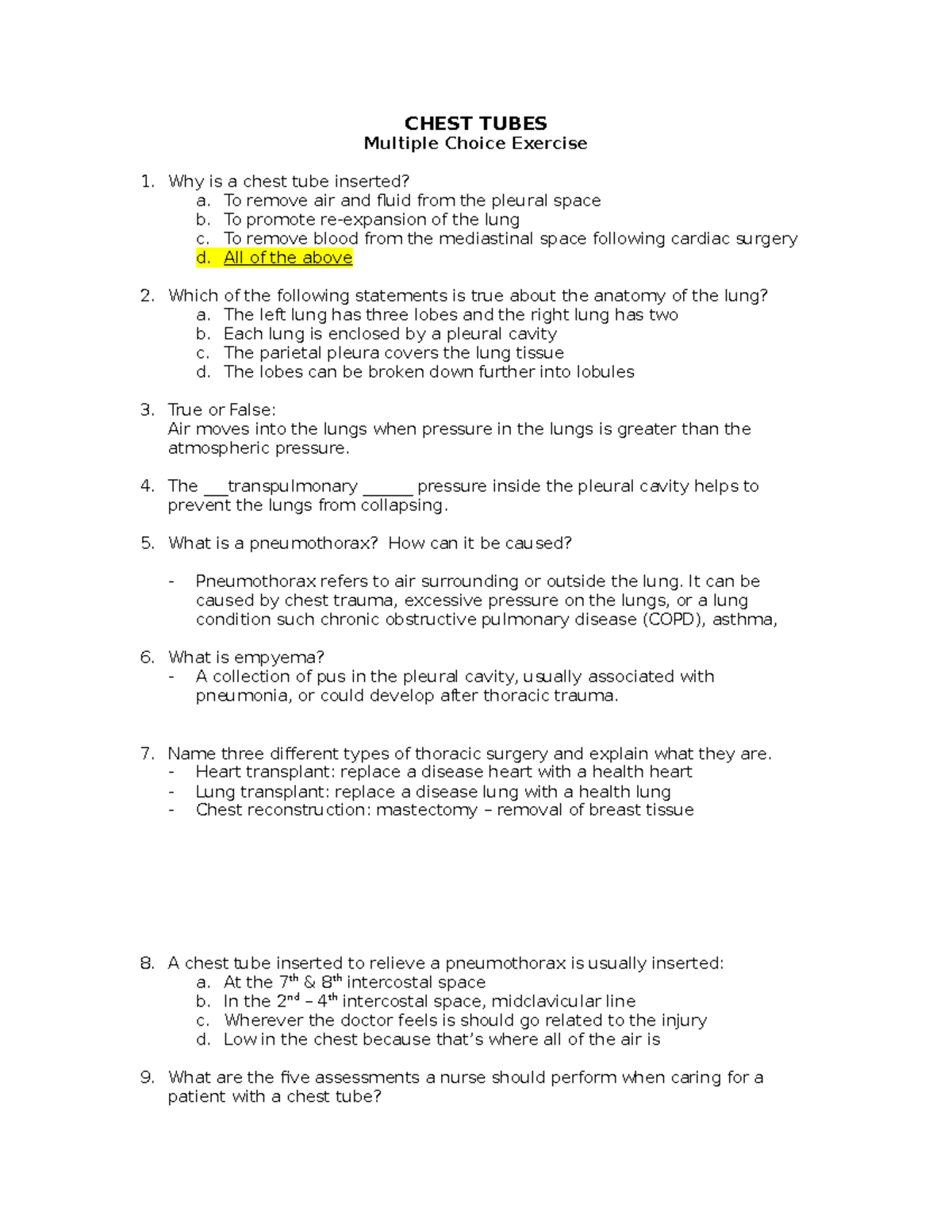
Chest tubes questions CHEST TUBES Multiple Choice Exercise 1. Why is Nursing Chest Tube Questions Assess for an air leak due to. Chest tubes are used to treat clients who have fluid in their lungs. Find out the priority assessment, the correct action for a dislodged. Test your knowledge on how to care for various tubes in the nursing setting, such as feeding, endotracheal, chest, nephrostomy and more. Document your findings as normal. Study with. Nursing Chest Tube Questions.
From simplenursing.com
Chest Tubes Practice Questions with Answers & NCLEX Review Nursing Chest Tube Questions Chest tubes are used to treat clients who have fluid in their lungs. Assess for an air leak due to. Study with quizlet and memorize flashcards containing terms like labeling lung, bedside equipment, care after chest tube and more. Document your findings as normal. Find out the correct nursing intervention. Test your knowledge on how to care for various tubes. Nursing Chest Tube Questions.
From www.studocu.com
Answer Key for Chest Tubes Perry Clinical Nursing Skills Nursing Chest Tube Questions Which of the following is the most appropriate nursing intervention? Chest tubes are used to treat clients who have fluid in their lungs. Find out the priority assessment, the correct action for a dislodged. Document your findings as normal. Study with quizlet and memorize flashcards containing terms like you are providing care to a patient with a chest tube. Study. Nursing Chest Tube Questions.
From www.youtube.com
Adult Chest Tube (Basic Care and Comfort) NCLEX Practice Questions Nursing Chest Tube Questions Find out the correct nursing intervention. Chest tubes nursing management practice questions with answers and nclex ® review. Test your knowledge on how to care for various tubes in the nursing setting, such as feeding, endotracheal, chest, nephrostomy and more. Find out the priority assessment, the correct action for a dislodged. Document your findings as normal. Assess for an air. Nursing Chest Tube Questions.
From mungfali.com
Chest Tube Cheat Sheet Nursing Chest Tube Questions Chest tubes are used to treat clients who have fluid in their lungs. Find out the priority assessment, the correct action for a dislodged. Which of the following is the most appropriate nursing intervention? Document your findings as normal. Find out the correct nursing intervention. Test your knowledge on how to care for various tubes in the nursing setting, such. Nursing Chest Tube Questions.
From data1.skinnyms.com
Chest Tube Nursing Skill Template Nursing Chest Tube Questions Test your knowledge on how to care for various tubes in the nursing setting, such as feeding, endotracheal, chest, nephrostomy and more. Study with quizlet and memorize flashcards containing terms like you are providing care to a patient with a chest tube. Study with quizlet and memorize flashcards containing terms like labeling lung, bedside equipment, care after chest tube and. Nursing Chest Tube Questions.
From www.youtube.com
Chest Tubes Nursing Management & Assessment NCLEX RN & LPN YouTube Nursing Chest Tube Questions Chest tubes are used to treat clients who have fluid in their lungs. Find out the priority assessment, the correct action for a dislodged. Test your knowledge on how to care for a chest tube as a nurse in preparation for the nclex exam. Chest tubes nursing management practice questions with answers and nclex ® review. Test your knowledge on. Nursing Chest Tube Questions.
From old.sermitsiaq.ag
Chest Tube Nursing Skill Template Nursing Chest Tube Questions Document your findings as normal. Which of the following is the most appropriate nursing intervention? Study with quizlet and memorize flashcards containing terms like you are providing care to a patient with a chest tube. Find out the priority assessment, the correct action for a dislodged. Chest tubes are used to treat clients who have fluid in their lungs. Test. Nursing Chest Tube Questions.
From organizednursedesigns.com
Chest Tube Nursing Care & Pneumothorax Nursing School Study Guide Nursing Chest Tube Questions Assess for an air leak due to. Chest tubes nursing management practice questions with answers and nclex ® review. Study with quizlet and memorize flashcards containing terms like labeling lung, bedside equipment, care after chest tube and more. Study with quizlet and memorize flashcards containing terms like you are providing care to a patient with a chest tube. Document your. Nursing Chest Tube Questions.
From www.nclexquiz.com
Nursing Management of Chest Tube Drainage Systems NCLEX Quiz Nursing Chest Tube Questions Find out the correct nursing intervention. Find out the priority assessment, the correct action for a dislodged. Test your knowledge on how to care for various tubes in the nursing setting, such as feeding, endotracheal, chest, nephrostomy and more. Study with quizlet and memorize flashcards containing terms like labeling lung, bedside equipment, care after chest tube and more. Assess for. Nursing Chest Tube Questions.
From www.dailymotion.com
Chest Tubes Nursing Care Management Assessment NCLEX Review Drainage Nursing Chest Tube Questions Test your knowledge on how to care for a chest tube as a nurse in preparation for the nclex exam. Find out the correct nursing intervention. Which of the following is the most appropriate nursing intervention? Chest tubes nursing management practice questions with answers and nclex ® review. Test your knowledge on how to care for various tubes in the. Nursing Chest Tube Questions.
From www.pinterest.com
Chest Tubes Easy to Understand Notes 4 Pages Nursing Etsy Chest Nursing Chest Tube Questions Document your findings as normal. Which of the following is the most appropriate nursing intervention? Study with quizlet and memorize flashcards containing terms like you are providing care to a patient with a chest tube. Find out the correct nursing intervention. Assess for an air leak due to. Test your knowledge on how to care for a chest tube as. Nursing Chest Tube Questions.
From www.pinterest.ph
NCLEX Tip Chest Tube Chambers in 2022 Nursing school survival Nursing Chest Tube Questions Chest tubes are used to treat clients who have fluid in their lungs. Assess for an air leak due to. Test your knowledge on how to care for various tubes in the nursing setting, such as feeding, endotracheal, chest, nephrostomy and more. Test your knowledge on how to care for a chest tube as a nurse in preparation for the. Nursing Chest Tube Questions.