Tax Preparation Course Exam . 1m+ visitors in the past month Jackson hewitt has numerous tax preparer courses at various levels. Sample questions for the registered tax return preparer test. Discover webinars, articles, podcasts, and more. 5/5 (2.278) 1m+ visitors in the past month 1m+ visitors in the past month Select the single best answer for each question. 5/5 (2.278) With our comprehensive tax classes, courses, and training program, you’ll be preparing taxes like a pro. The fundamentals of tax preparation course (ftp) is the basic tax course and estimated to be about 32 hours. Enroll in h&r block’s virtual tax preparation course to master your return or start a career. Tax preparation certifications are professional credentials that signal authoritative competence to individual taxpayers seeking assistance with their annual tax filings.
from www.pinterest.com
Jackson hewitt has numerous tax preparer courses at various levels. 5/5 (2.278) Select the single best answer for each question. With our comprehensive tax classes, courses, and training program, you’ll be preparing taxes like a pro. 1m+ visitors in the past month The fundamentals of tax preparation course (ftp) is the basic tax course and estimated to be about 32 hours. Tax preparation certifications are professional credentials that signal authoritative competence to individual taxpayers seeking assistance with their annual tax filings. Enroll in h&r block’s virtual tax preparation course to master your return or start a career. 5/5 (2.278) 1m+ visitors in the past month
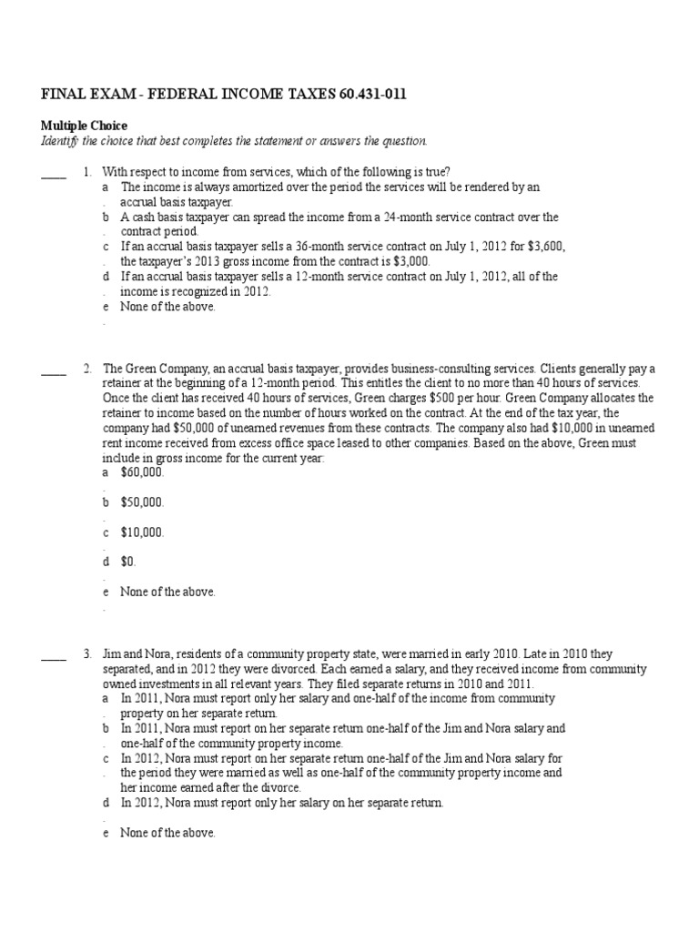
Corporate Tax Final Exam 108 Exam Questions with Correct Answers
Tax Preparation Course Exam Jackson hewitt has numerous tax preparer courses at various levels. Tax preparation certifications are professional credentials that signal authoritative competence to individual taxpayers seeking assistance with their annual tax filings. 5/5 (2.278) Select the single best answer for each question. Sample questions for the registered tax return preparer test. Jackson hewitt has numerous tax preparer courses at various levels. With our comprehensive tax classes, courses, and training program, you’ll be preparing taxes like a pro. The fundamentals of tax preparation course (ftp) is the basic tax course and estimated to be about 32 hours. 5/5 (2.278) 1m+ visitors in the past month Enroll in h&r block’s virtual tax preparation course to master your return or start a career. 1m+ visitors in the past month Discover webinars, articles, podcasts, and more. 1m+ visitors in the past month
From www.scribd.com
Final Exam Solutions Federal Tax Course Tax Deduction Expense Tax Preparation Course Exam 5/5 (2.278) Discover webinars, articles, podcasts, and more. Select the single best answer for each question. Sample questions for the registered tax return preparer test. 1m+ visitors in the past month The fundamentals of tax preparation course (ftp) is the basic tax course and estimated to be about 32 hours. 5/5 (2.278) Jackson hewitt has numerous tax preparer. Tax Preparation Course Exam.
From www.theincometaxschool.com
Advanced Tax Preparation Courses Tax Preparation Course Exam Discover webinars, articles, podcasts, and more. Select the single best answer for each question. With our comprehensive tax classes, courses, and training program, you’ll be preparing taxes like a pro. Tax preparation certifications are professional credentials that signal authoritative competence to individual taxpayers seeking assistance with their annual tax filings. 1m+ visitors in the past month Enroll in h&r block’s. Tax Preparation Course Exam.
From universalaccountingschool.com
IRS Approved Build Your Own Successful Tax Practice Universal Tax Preparation Course Exam Tax preparation certifications are professional credentials that signal authoritative competence to individual taxpayers seeking assistance with their annual tax filings. 1m+ visitors in the past month Sample questions for the registered tax return preparer test. 1m+ visitors in the past month 1m+ visitors in the past month Jackson hewitt has numerous tax preparer courses at various levels. Enroll in h&r. Tax Preparation Course Exam.
From www.pinterest.com
Get instant access to Free Tax Preparation courses through Udemy. We Tax Preparation Course Exam 5/5 (2.278) Select the single best answer for each question. With our comprehensive tax classes, courses, and training program, you’ll be preparing taxes like a pro. Discover webinars, articles, podcasts, and more. Enroll in h&r block’s virtual tax preparation course to master your return or start a career. Tax preparation certifications are professional credentials that signal authoritative competence to. Tax Preparation Course Exam.
From www.youtube.com
How do you a tax preparer? Tax Courses & Training for Tax Tax Preparation Course Exam Jackson hewitt has numerous tax preparer courses at various levels. 1m+ visitors in the past month Enroll in h&r block’s virtual tax preparation course to master your return or start a career. 5/5 (2.278) The fundamentals of tax preparation course (ftp) is the basic tax course and estimated to be about 32 hours. Discover webinars, articles, podcasts, and more.. Tax Preparation Course Exam.
From www.benzinga.com
The Best Cheap Tax Preparation Courses for 2019 • Benzinga Tax Preparation Course Exam Enroll in h&r block’s virtual tax preparation course to master your return or start a career. Jackson hewitt has numerous tax preparer courses at various levels. 1m+ visitors in the past month Tax preparation certifications are professional credentials that signal authoritative competence to individual taxpayers seeking assistance with their annual tax filings. 1m+ visitors in the past month 1m+ visitors. Tax Preparation Course Exam.
From wisdomfuel.com
Best Online Tax Preparation Courses Top 10 Courses Tax Preparation Course Exam Tax preparation certifications are professional credentials that signal authoritative competence to individual taxpayers seeking assistance with their annual tax filings. 1m+ visitors in the past month Jackson hewitt has numerous tax preparer courses at various levels. 5/5 (2.278) Enroll in h&r block’s virtual tax preparation course to master your return or start a career. 5/5 (2.278) Select the. Tax Preparation Course Exam.
From www.immaculatetaxsolutions.com
Tax Preparation 101 Course Immaculate Tax Solutions Tax Preparation Course Exam Enroll in h&r block’s virtual tax preparation course to master your return or start a career. The fundamentals of tax preparation course (ftp) is the basic tax course and estimated to be about 32 hours. With our comprehensive tax classes, courses, and training program, you’ll be preparing taxes like a pro. Jackson hewitt has numerous tax preparer courses at various. Tax Preparation Course Exam.
From www.creditrepaircloud.com
Top 10 Tax Preparer Trainings to Take in the Off Season Tax Preparation Course Exam Select the single best answer for each question. 1m+ visitors in the past month Discover webinars, articles, podcasts, and more. Sample questions for the registered tax return preparer test. 1m+ visitors in the past month 5/5 (2.278) The fundamentals of tax preparation course (ftp) is the basic tax course and estimated to be about 32 hours. Tax preparation certifications. Tax Preparation Course Exam.
From www.pinterest.com
This H&R Block Tax Preparation Checklist offers taxpayers a jump start Tax Preparation Course Exam Jackson hewitt has numerous tax preparer courses at various levels. 5/5 (2.278) Tax preparation certifications are professional credentials that signal authoritative competence to individual taxpayers seeking assistance with their annual tax filings. The fundamentals of tax preparation course (ftp) is the basic tax course and estimated to be about 32 hours. With our comprehensive tax classes, courses, and training. Tax Preparation Course Exam.
From issuu.com
Learn Tax Preparation courses Online with Universal Accounting School Tax Preparation Course Exam Enroll in h&r block’s virtual tax preparation course to master your return or start a career. With our comprehensive tax classes, courses, and training program, you’ll be preparing taxes like a pro. The fundamentals of tax preparation course (ftp) is the basic tax course and estimated to be about 32 hours. 1m+ visitors in the past month 1m+ visitors in. Tax Preparation Course Exam.
From teejaytrue.com
How to Choose a Tax Preparation Course Generational Wealth Now Tax Preparation Course Exam Jackson hewitt has numerous tax preparer courses at various levels. Sample questions for the registered tax return preparer test. With our comprehensive tax classes, courses, and training program, you’ll be preparing taxes like a pro. 1m+ visitors in the past month Select the single best answer for each question. Discover webinars, articles, podcasts, and more. 5/5 (2.278) The fundamentals. Tax Preparation Course Exam.
From www.youtube.com
Tax Preparation Training 2018 YouTube Tax Preparation Course Exam Select the single best answer for each question. 1m+ visitors in the past month Enroll in h&r block’s virtual tax preparation course to master your return or start a career. 1m+ visitors in the past month 5/5 (2.278) Discover webinars, articles, podcasts, and more. Jackson hewitt has numerous tax preparer courses at various levels. 1m+ visitors in the past. Tax Preparation Course Exam.
From issuu.com
How to Find the Best Tax Preparation for Your Business by Tax Preparation Course Exam With our comprehensive tax classes, courses, and training program, you’ll be preparing taxes like a pro. 5/5 (2.278) The fundamentals of tax preparation course (ftp) is the basic tax course and estimated to be about 32 hours. Enroll in h&r block’s virtual tax preparation course to master your return or start a career. 5/5 (2.278) Sample questions for. Tax Preparation Course Exam.
From www.tangolearn.com
Best Tax Preparation Training With Top 9 Courses Online TangoLearn Tax Preparation Course Exam Jackson hewitt has numerous tax preparer courses at various levels. Discover webinars, articles, podcasts, and more. 5/5 (2.278) 1m+ visitors in the past month 1m+ visitors in the past month Enroll in h&r block’s virtual tax preparation course to master your return or start a career. Select the single best answer for each question. 1m+ visitors in the past. Tax Preparation Course Exam.
From multiculturalinstitute.com
MEI Tax Preparation Course → Multicultural Entrepreneurial Institute Tax Preparation Course Exam 5/5 (2.278) 5/5 (2.278) Discover webinars, articles, podcasts, and more. With our comprehensive tax classes, courses, and training program, you’ll be preparing taxes like a pro. The fundamentals of tax preparation course (ftp) is the basic tax course and estimated to be about 32 hours. Select the single best answer for each question. 1m+ visitors in the past. Tax Preparation Course Exam.
From www.tangolearn.com
Best Tax Preparation Training & Courses Online TangoLearn Tax Preparation Course Exam Discover webinars, articles, podcasts, and more. 1m+ visitors in the past month 1m+ visitors in the past month Select the single best answer for each question. The fundamentals of tax preparation course (ftp) is the basic tax course and estimated to be about 32 hours. Sample questions for the registered tax return preparer test. Jackson hewitt has numerous tax preparer. Tax Preparation Course Exam.
From www.studocu.com
TAX2601exam study notes TAX USING TL, SG & NOTES FROM LECTURERS AND Tax Preparation Course Exam With our comprehensive tax classes, courses, and training program, you’ll be preparing taxes like a pro. 5/5 (2.278) Enroll in h&r block’s virtual tax preparation course to master your return or start a career. The fundamentals of tax preparation course (ftp) is the basic tax course and estimated to be about 32 hours. Sample questions for the registered tax. Tax Preparation Course Exam.
From www.pinterest.com
Start Your Own Tax Preparation Business in 4 Months Tax Preparation Course Exam 1m+ visitors in the past month 5/5 (2.278) The fundamentals of tax preparation course (ftp) is the basic tax course and estimated to be about 32 hours. Sample questions for the registered tax return preparer test. 1m+ visitors in the past month Enroll in h&r block’s virtual tax preparation course to master your return or start a career. Tax. Tax Preparation Course Exam.
From tscer.org
Tax Preparer Professional Course in Houston Tax Preparation Course Exam 1m+ visitors in the past month Select the single best answer for each question. Jackson hewitt has numerous tax preparer courses at various levels. The fundamentals of tax preparation course (ftp) is the basic tax course and estimated to be about 32 hours. Enroll in h&r block’s virtual tax preparation course to master your return or start a career. 1m+. Tax Preparation Course Exam.
From www.youtube.com
Free tax preparation course YouTube Tax Preparation Course Exam 1m+ visitors in the past month 5/5 (2.278) Tax preparation certifications are professional credentials that signal authoritative competence to individual taxpayers seeking assistance with their annual tax filings. The fundamentals of tax preparation course (ftp) is the basic tax course and estimated to be about 32 hours. Jackson hewitt has numerous tax preparer courses at various levels. 1m+ visitors. Tax Preparation Course Exam.
From www.pinterest.com
How to a Tax Preparer Online with Tax preparation Tax Preparation Course Exam 1m+ visitors in the past month Tax preparation certifications are professional credentials that signal authoritative competence to individual taxpayers seeking assistance with their annual tax filings. Enroll in h&r block’s virtual tax preparation course to master your return or start a career. 1m+ visitors in the past month 5/5 (2.278) Select the single best answer for each question. Jackson. Tax Preparation Course Exam.
From www.hrblock.com
Online Tax Preparation Course H&R Block® Tax Preparation Course Exam 1m+ visitors in the past month Jackson hewitt has numerous tax preparer courses at various levels. Discover webinars, articles, podcasts, and more. 1m+ visitors in the past month 5/5 (2.278) Select the single best answer for each question. 5/5 (2.278) The fundamentals of tax preparation course (ftp) is the basic tax course and estimated to be about 32. Tax Preparation Course Exam.
From www.youtube.com
tax and tds certification coursePractical Online tax Tax Preparation Course Exam The fundamentals of tax preparation course (ftp) is the basic tax course and estimated to be about 32 hours. 1m+ visitors in the past month 1m+ visitors in the past month Discover webinars, articles, podcasts, and more. Enroll in h&r block’s virtual tax preparation course to master your return or start a career. 5/5 (2.278) Jackson hewitt has numerous. Tax Preparation Course Exam.
From www.tangolearn.com
Best Tax Preparation Training & Courses Online TangoLearn Tax Preparation Course Exam With our comprehensive tax classes, courses, and training program, you’ll be preparing taxes like a pro. 1m+ visitors in the past month Discover webinars, articles, podcasts, and more. 5/5 (2.278) Tax preparation certifications are professional credentials that signal authoritative competence to individual taxpayers seeking assistance with their annual tax filings. Select the single best answer for each question. Sample. Tax Preparation Course Exam.
From www.thecareerproject.org
6 Tax Preparation Courses Online The Career Project Tax Preparation Course Exam Jackson hewitt has numerous tax preparer courses at various levels. 5/5 (2.278) Discover webinars, articles, podcasts, and more. Select the single best answer for each question. Enroll in h&r block’s virtual tax preparation course to master your return or start a career. 5/5 (2.278) With our comprehensive tax classes, courses, and training program, you’ll be preparing taxes like. Tax Preparation Course Exam.
From taxbiztraining.com
Tax Preparation Course eBook Tax Preparation Course Exam With our comprehensive tax classes, courses, and training program, you’ll be preparing taxes like a pro. Select the single best answer for each question. Discover webinars, articles, podcasts, and more. 5/5 (2.278) Jackson hewitt has numerous tax preparer courses at various levels. 1m+ visitors in the past month 1m+ visitors in the past month 5/5 (2.278) 1m+ visitors. Tax Preparation Course Exam.
From www.thecareerproject.org
6 Tax Preparation Courses Online The Career Project Tax Preparation Course Exam 5/5 (2.278) Jackson hewitt has numerous tax preparer courses at various levels. Tax preparation certifications are professional credentials that signal authoritative competence to individual taxpayers seeking assistance with their annual tax filings. With our comprehensive tax classes, courses, and training program, you’ll be preparing taxes like a pro. Discover webinars, articles, podcasts, and more. Enroll in h&r block’s virtual. Tax Preparation Course Exam.
From www.youtube.com
Tax Preparation Course for Professional Preparers (Module 4, Part 2 Tax Preparation Course Exam Discover webinars, articles, podcasts, and more. 1m+ visitors in the past month Jackson hewitt has numerous tax preparer courses at various levels. Enroll in h&r block’s virtual tax preparation course to master your return or start a career. Select the single best answer for each question. 1m+ visitors in the past month 5/5 (2.278) The fundamentals of tax preparation. Tax Preparation Course Exam.
From www.toptaxtrainers.com
Tax Preparation Courses What To Look For & How to Decide Tax Preparation Course Exam The fundamentals of tax preparation course (ftp) is the basic tax course and estimated to be about 32 hours. Select the single best answer for each question. With our comprehensive tax classes, courses, and training program, you’ll be preparing taxes like a pro. Enroll in h&r block’s virtual tax preparation course to master your return or start a career. Discover. Tax Preparation Course Exam.
From www.youtube.com
Tax Preparer Exam Prep Course YouTube Tax Preparation Course Exam 5/5 (2.278) Enroll in h&r block’s virtual tax preparation course to master your return or start a career. Sample questions for the registered tax return preparer test. 1m+ visitors in the past month 1m+ visitors in the past month With our comprehensive tax classes, courses, and training program, you’ll be preparing taxes like a pro. Tax preparation certifications are. Tax Preparation Course Exam.
From www.pinterest.com
Corporate Tax Final Exam 108 Exam Questions with Correct Answers Tax Preparation Course Exam 5/5 (2.278) Jackson hewitt has numerous tax preparer courses at various levels. Tax preparation certifications are professional credentials that signal authoritative competence to individual taxpayers seeking assistance with their annual tax filings. 5/5 (2.278) Enroll in h&r block’s virtual tax preparation course to master your return or start a career. Discover webinars, articles, podcasts, and more. With our. Tax Preparation Course Exam.
From www.theincometaxschool.com
7 Checklists to Get You Ready for Tax Season Tax Preparation Course Exam Enroll in h&r block’s virtual tax preparation course to master your return or start a career. 1m+ visitors in the past month Tax preparation certifications are professional credentials that signal authoritative competence to individual taxpayers seeking assistance with their annual tax filings. Discover webinars, articles, podcasts, and more. With our comprehensive tax classes, courses, and training program, you’ll be preparing. Tax Preparation Course Exam.
From www.paypal.com
Tax Preparation Training Class PayPal Tax Preparation Course Exam 1m+ visitors in the past month Discover webinars, articles, podcasts, and more. Enroll in h&r block’s virtual tax preparation course to master your return or start a career. Jackson hewitt has numerous tax preparer courses at various levels. 5/5 (2.278) Select the single best answer for each question. The fundamentals of tax preparation course (ftp) is the basic tax. Tax Preparation Course Exam.
From www.tangolearn.com
Best Tax Preparation Training & Courses Online TangoLearn Tax Preparation Course Exam With our comprehensive tax classes, courses, and training program, you’ll be preparing taxes like a pro. Tax preparation certifications are professional credentials that signal authoritative competence to individual taxpayers seeking assistance with their annual tax filings. Select the single best answer for each question. 5/5 (2.278) Discover webinars, articles, podcasts, and more. 1m+ visitors in the past month 1m+. Tax Preparation Course Exam.