Kansas Eviction Moratorium Declaration . Community aid and tenant advocacy groups say evictions have continued in kansas despite federal and state bans. Eviction, foreclosure moratorium in kansas abolished after republican lawmakers voted to end gov. As we finally start to. “the governor strongly disagrees with the lcc’s decision to revoke her evictions and foreclosure moratorium. On may 28, 2021, the legislative coordinating council (lcc) voted 6 to 2 to extend the declaration through june 15, 2021. Kansas renters covered by a nationwide ban on evictions will continue to receive that protection until the end of july, after the. This declaration is for tenants, lessees, or residents of residential properties who are covered by the cdc’s order temporarily halting residential.
from eforms.com
“the governor strongly disagrees with the lcc’s decision to revoke her evictions and foreclosure moratorium. Kansas renters covered by a nationwide ban on evictions will continue to receive that protection until the end of july, after the. On may 28, 2021, the legislative coordinating council (lcc) voted 6 to 2 to extend the declaration through june 15, 2021. This declaration is for tenants, lessees, or residents of residential properties who are covered by the cdc’s order temporarily halting residential. Community aid and tenant advocacy groups say evictions have continued in kansas despite federal and state bans. Eviction, foreclosure moratorium in kansas abolished after republican lawmakers voted to end gov. As we finally start to.
Free Kansas Eviction Notice Forms Process & Laws Word PDF eForms
Kansas Eviction Moratorium Declaration On may 28, 2021, the legislative coordinating council (lcc) voted 6 to 2 to extend the declaration through june 15, 2021. As we finally start to. This declaration is for tenants, lessees, or residents of residential properties who are covered by the cdc’s order temporarily halting residential. Community aid and tenant advocacy groups say evictions have continued in kansas despite federal and state bans. On may 28, 2021, the legislative coordinating council (lcc) voted 6 to 2 to extend the declaration through june 15, 2021. “the governor strongly disagrees with the lcc’s decision to revoke her evictions and foreclosure moratorium. Kansas renters covered by a nationwide ban on evictions will continue to receive that protection until the end of july, after the. Eviction, foreclosure moratorium in kansas abolished after republican lawmakers voted to end gov.
From evictionnotice.com
Free Kansas Eviction Notices Kansas Eviction Moratorium Declaration Eviction, foreclosure moratorium in kansas abolished after republican lawmakers voted to end gov. This declaration is for tenants, lessees, or residents of residential properties who are covered by the cdc’s order temporarily halting residential. On may 28, 2021, the legislative coordinating council (lcc) voted 6 to 2 to extend the declaration through june 15, 2021. Kansas renters covered by a. Kansas Eviction Moratorium Declaration.
From www.pdffiller.com
Fillable Online Eviction Moratorium Tenant Declaration.docx Fax Email Kansas Eviction Moratorium Declaration Kansas renters covered by a nationwide ban on evictions will continue to receive that protection until the end of july, after the. On may 28, 2021, the legislative coordinating council (lcc) voted 6 to 2 to extend the declaration through june 15, 2021. Eviction, foreclosure moratorium in kansas abolished after republican lawmakers voted to end gov. “the governor strongly disagrees. Kansas Eviction Moratorium Declaration.
From www.simplifyem.com
Kansas Eviction Notice Kansas Eviction Moratorium Declaration As we finally start to. “the governor strongly disagrees with the lcc’s decision to revoke her evictions and foreclosure moratorium. Eviction, foreclosure moratorium in kansas abolished after republican lawmakers voted to end gov. Kansas renters covered by a nationwide ban on evictions will continue to receive that protection until the end of july, after the. On may 28, 2021, the. Kansas Eviction Moratorium Declaration.
From www.pdffiller.com
Fillable Online Download Kansas Eviction Notice Forms Notice to Quit Kansas Eviction Moratorium Declaration Kansas renters covered by a nationwide ban on evictions will continue to receive that protection until the end of july, after the. “the governor strongly disagrees with the lcc’s decision to revoke her evictions and foreclosure moratorium. On may 28, 2021, the legislative coordinating council (lcc) voted 6 to 2 to extend the declaration through june 15, 2021. As we. Kansas Eviction Moratorium Declaration.
From www.templateroller.com
Kansas Petition (Eviction) Fill Out, Sign Online and Download PDF Kansas Eviction Moratorium Declaration Kansas renters covered by a nationwide ban on evictions will continue to receive that protection until the end of july, after the. On may 28, 2021, the legislative coordinating council (lcc) voted 6 to 2 to extend the declaration through june 15, 2021. This declaration is for tenants, lessees, or residents of residential properties who are covered by the cdc’s. Kansas Eviction Moratorium Declaration.
From www.scribd.com
CDC Eviction Moratorium Declaration Form Thru October 3 2021 PDF Kansas Eviction Moratorium Declaration “the governor strongly disagrees with the lcc’s decision to revoke her evictions and foreclosure moratorium. On may 28, 2021, the legislative coordinating council (lcc) voted 6 to 2 to extend the declaration through june 15, 2021. As we finally start to. This declaration is for tenants, lessees, or residents of residential properties who are covered by the cdc’s order temporarily. Kansas Eviction Moratorium Declaration.
From esign.com
Free Kansas Eviction Notice Templates (3) PDF Word Kansas Eviction Moratorium Declaration As we finally start to. “the governor strongly disagrees with the lcc’s decision to revoke her evictions and foreclosure moratorium. Kansas renters covered by a nationwide ban on evictions will continue to receive that protection until the end of july, after the. On may 28, 2021, the legislative coordinating council (lcc) voted 6 to 2 to extend the declaration through. Kansas Eviction Moratorium Declaration.
From eforms.com
Free Kansas Eviction Notice Forms (5) PDF Word eForms Kansas Eviction Moratorium Declaration “the governor strongly disagrees with the lcc’s decision to revoke her evictions and foreclosure moratorium. Kansas renters covered by a nationwide ban on evictions will continue to receive that protection until the end of july, after the. On may 28, 2021, the legislative coordinating council (lcc) voted 6 to 2 to extend the declaration through june 15, 2021. This declaration. Kansas Eviction Moratorium Declaration.
From www.pdffiller.com
Fillable Online Free Kansas Eviction Notice Forms (5) PDFWord Fax Kansas Eviction Moratorium Declaration Kansas renters covered by a nationwide ban on evictions will continue to receive that protection until the end of july, after the. Eviction, foreclosure moratorium in kansas abolished after republican lawmakers voted to end gov. As we finally start to. “the governor strongly disagrees with the lcc’s decision to revoke her evictions and foreclosure moratorium. This declaration is for tenants,. Kansas Eviction Moratorium Declaration.
From www.scribd.com
CDC Eviction Moratorium Flyer and Declaration (English) PDF Kansas Eviction Moratorium Declaration As we finally start to. Kansas renters covered by a nationwide ban on evictions will continue to receive that protection until the end of july, after the. Eviction, foreclosure moratorium in kansas abolished after republican lawmakers voted to end gov. “the governor strongly disagrees with the lcc’s decision to revoke her evictions and foreclosure moratorium. On may 28, 2021, the. Kansas Eviction Moratorium Declaration.
From www2.ljworld.com
Eviction moratorium explainer Here’s the situation in Kansas News Kansas Eviction Moratorium Declaration As we finally start to. Kansas renters covered by a nationwide ban on evictions will continue to receive that protection until the end of july, after the. This declaration is for tenants, lessees, or residents of residential properties who are covered by the cdc’s order temporarily halting residential. “the governor strongly disagrees with the lcc’s decision to revoke her evictions. Kansas Eviction Moratorium Declaration.
From www.templateroller.com
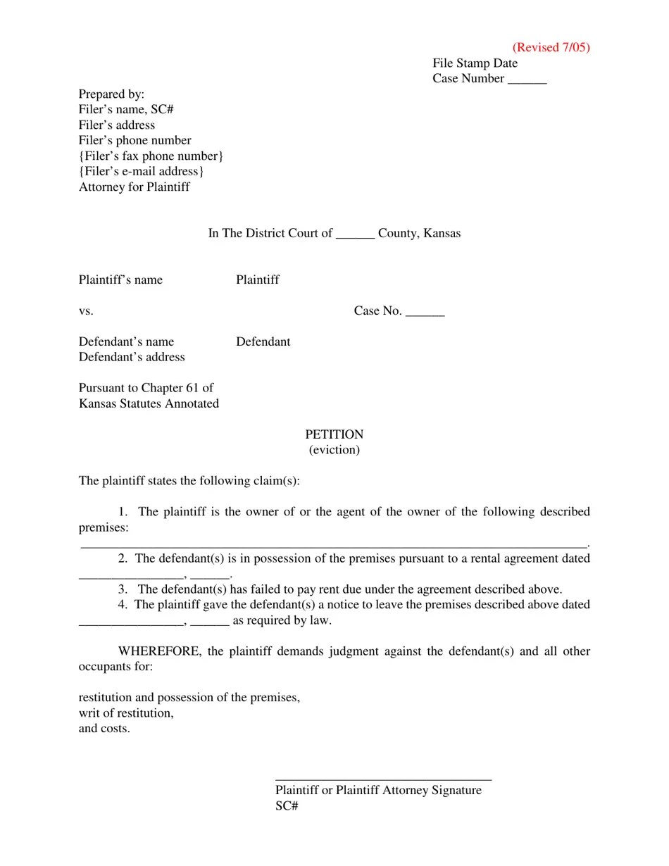
Kansas Petition for Eviction Fill Out, Sign Online and Download PDF Kansas Eviction Moratorium Declaration On may 28, 2021, the legislative coordinating council (lcc) voted 6 to 2 to extend the declaration through june 15, 2021. Community aid and tenant advocacy groups say evictions have continued in kansas despite federal and state bans. Eviction, foreclosure moratorium in kansas abolished after republican lawmakers voted to end gov. “the governor strongly disagrees with the lcc’s decision to. Kansas Eviction Moratorium Declaration.
From eforms.com
Free Kansas Eviction Notice Forms Process & Laws Word PDF eForms Kansas Eviction Moratorium Declaration On may 28, 2021, the legislative coordinating council (lcc) voted 6 to 2 to extend the declaration through june 15, 2021. Eviction, foreclosure moratorium in kansas abolished after republican lawmakers voted to end gov. This declaration is for tenants, lessees, or residents of residential properties who are covered by the cdc’s order temporarily halting residential. Community aid and tenant advocacy. Kansas Eviction Moratorium Declaration.
From www.youtube.com
Kansas Eviction Notice GUIDE YouTube Kansas Eviction Moratorium Declaration Community aid and tenant advocacy groups say evictions have continued in kansas despite federal and state bans. “the governor strongly disagrees with the lcc’s decision to revoke her evictions and foreclosure moratorium. On may 28, 2021, the legislative coordinating council (lcc) voted 6 to 2 to extend the declaration through june 15, 2021. As we finally start to. This declaration. Kansas Eviction Moratorium Declaration.
From esign.com
Free Kansas Eviction Notice Templates Laws PDF Word Kansas Eviction Moratorium Declaration Eviction, foreclosure moratorium in kansas abolished after republican lawmakers voted to end gov. “the governor strongly disagrees with the lcc’s decision to revoke her evictions and foreclosure moratorium. This declaration is for tenants, lessees, or residents of residential properties who are covered by the cdc’s order temporarily halting residential. As we finally start to. On may 28, 2021, the legislative. Kansas Eviction Moratorium Declaration.
From www.doctemplates.net
42 FREE Eviction Notice Templates Word PDF Kansas Eviction Moratorium Declaration Eviction, foreclosure moratorium in kansas abolished after republican lawmakers voted to end gov. Kansas renters covered by a nationwide ban on evictions will continue to receive that protection until the end of july, after the. On may 28, 2021, the legislative coordinating council (lcc) voted 6 to 2 to extend the declaration through june 15, 2021. This declaration is for. Kansas Eviction Moratorium Declaration.
From www.disasterloanadvisors.com
Kansas Eviction Moratorium Landlord Financial Help for Property Owners Kansas Eviction Moratorium Declaration Community aid and tenant advocacy groups say evictions have continued in kansas despite federal and state bans. As we finally start to. “the governor strongly disagrees with the lcc’s decision to revoke her evictions and foreclosure moratorium. On may 28, 2021, the legislative coordinating council (lcc) voted 6 to 2 to extend the declaration through june 15, 2021. Eviction, foreclosure. Kansas Eviction Moratorium Declaration.
From legaltemplates.net
Eviction Process for Landlords in Kansas Legal Templates Kansas Eviction Moratorium Declaration “the governor strongly disagrees with the lcc’s decision to revoke her evictions and foreclosure moratorium. Community aid and tenant advocacy groups say evictions have continued in kansas despite federal and state bans. Eviction, foreclosure moratorium in kansas abolished after republican lawmakers voted to end gov. This declaration is for tenants, lessees, or residents of residential properties who are covered by. Kansas Eviction Moratorium Declaration.
From esign.com
Free Kansas Eviction Notice Templates (3) PDF Word Kansas Eviction Moratorium Declaration As we finally start to. “the governor strongly disagrees with the lcc’s decision to revoke her evictions and foreclosure moratorium. Community aid and tenant advocacy groups say evictions have continued in kansas despite federal and state bans. On may 28, 2021, the legislative coordinating council (lcc) voted 6 to 2 to extend the declaration through june 15, 2021. Kansas renters. Kansas Eviction Moratorium Declaration.
From pdfsimpli.com
Kansas Eviction Notice to Quit Form PDFSimpli Kansas Eviction Moratorium Declaration “the governor strongly disagrees with the lcc’s decision to revoke her evictions and foreclosure moratorium. As we finally start to. Kansas renters covered by a nationwide ban on evictions will continue to receive that protection until the end of july, after the. On may 28, 2021, the legislative coordinating council (lcc) voted 6 to 2 to extend the declaration through. Kansas Eviction Moratorium Declaration.
From eforms.com
Free Kansas Eviction Notice Forms Process & Laws Word PDF eForms Kansas Eviction Moratorium Declaration This declaration is for tenants, lessees, or residents of residential properties who are covered by the cdc’s order temporarily halting residential. Eviction, foreclosure moratorium in kansas abolished after republican lawmakers voted to end gov. On may 28, 2021, the legislative coordinating council (lcc) voted 6 to 2 to extend the declaration through june 15, 2021. Community aid and tenant advocacy. Kansas Eviction Moratorium Declaration.
From www.dochub.com
Kansas eviction laws for roommate Fill out & sign online DocHub Kansas Eviction Moratorium Declaration As we finally start to. On may 28, 2021, the legislative coordinating council (lcc) voted 6 to 2 to extend the declaration through june 15, 2021. “the governor strongly disagrees with the lcc’s decision to revoke her evictions and foreclosure moratorium. This declaration is for tenants, lessees, or residents of residential properties who are covered by the cdc’s order temporarily. Kansas Eviction Moratorium Declaration.
From eforms.com
Free Kansas Eviction Notice Forms (5) PDF Word eForms Kansas Eviction Moratorium Declaration On may 28, 2021, the legislative coordinating council (lcc) voted 6 to 2 to extend the declaration through june 15, 2021. “the governor strongly disagrees with the lcc’s decision to revoke her evictions and foreclosure moratorium. Community aid and tenant advocacy groups say evictions have continued in kansas despite federal and state bans. As we finally start to. This declaration. Kansas Eviction Moratorium Declaration.
From hintinsider.com
Kansas Eviction Process Hint Insider Kansas Eviction Moratorium Declaration Eviction, foreclosure moratorium in kansas abolished after republican lawmakers voted to end gov. Community aid and tenant advocacy groups say evictions have continued in kansas despite federal and state bans. As we finally start to. “the governor strongly disagrees with the lcc’s decision to revoke her evictions and foreclosure moratorium. On may 28, 2021, the legislative coordinating council (lcc) voted. Kansas Eviction Moratorium Declaration.
From ipropertymanagement.com
FREE Kansas Eviction Notice Form [2021] Notice to Vacate PDF Kansas Eviction Moratorium Declaration Eviction, foreclosure moratorium in kansas abolished after republican lawmakers voted to end gov. As we finally start to. Kansas renters covered by a nationwide ban on evictions will continue to receive that protection until the end of july, after the. Community aid and tenant advocacy groups say evictions have continued in kansas despite federal and state bans. “the governor strongly. Kansas Eviction Moratorium Declaration.
From esign.com
Free Kansas Eviction Notice Templates (3) PDF Word Kansas Eviction Moratorium Declaration Community aid and tenant advocacy groups say evictions have continued in kansas despite federal and state bans. As we finally start to. On may 28, 2021, the legislative coordinating council (lcc) voted 6 to 2 to extend the declaration through june 15, 2021. This declaration is for tenants, lessees, or residents of residential properties who are covered by the cdc’s. Kansas Eviction Moratorium Declaration.
From www.templateroller.com
Kansas Petition (Eviction & Rent) Fill Out, Sign Online and Download Kansas Eviction Moratorium Declaration Community aid and tenant advocacy groups say evictions have continued in kansas despite federal and state bans. Kansas renters covered by a nationwide ban on evictions will continue to receive that protection until the end of july, after the. “the governor strongly disagrees with the lcc’s decision to revoke her evictions and foreclosure moratorium. Eviction, foreclosure moratorium in kansas abolished. Kansas Eviction Moratorium Declaration.
From esign.com
Free Kansas Eviction Notice Templates (3) PDF Word Kansas Eviction Moratorium Declaration Eviction, foreclosure moratorium in kansas abolished after republican lawmakers voted to end gov. As we finally start to. “the governor strongly disagrees with the lcc’s decision to revoke her evictions and foreclosure moratorium. On may 28, 2021, the legislative coordinating council (lcc) voted 6 to 2 to extend the declaration through june 15, 2021. Community aid and tenant advocacy groups. Kansas Eviction Moratorium Declaration.
From www.rocketlawyer.com
Free KS Eviction Notice Make & Download Rocket Lawyer Kansas Eviction Moratorium Declaration “the governor strongly disagrees with the lcc’s decision to revoke her evictions and foreclosure moratorium. On may 28, 2021, the legislative coordinating council (lcc) voted 6 to 2 to extend the declaration through june 15, 2021. This declaration is for tenants, lessees, or residents of residential properties who are covered by the cdc’s order temporarily halting residential. As we finally. Kansas Eviction Moratorium Declaration.
From formspal.com
Free Kansas Eviction Notice Forms KS Notice to Quit FormsPal Kansas Eviction Moratorium Declaration “the governor strongly disagrees with the lcc’s decision to revoke her evictions and foreclosure moratorium. As we finally start to. This declaration is for tenants, lessees, or residents of residential properties who are covered by the cdc’s order temporarily halting residential. Community aid and tenant advocacy groups say evictions have continued in kansas despite federal and state bans. Kansas renters. Kansas Eviction Moratorium Declaration.
From www.pdffiller.com
Fillable Online Eviction Moratorium Declaration Form Fax Email Print Kansas Eviction Moratorium Declaration On may 28, 2021, the legislative coordinating council (lcc) voted 6 to 2 to extend the declaration through june 15, 2021. As we finally start to. Eviction, foreclosure moratorium in kansas abolished after republican lawmakers voted to end gov. “the governor strongly disagrees with the lcc’s decision to revoke her evictions and foreclosure moratorium. This declaration is for tenants, lessees,. Kansas Eviction Moratorium Declaration.
From evictionnotice.com
Free Kansas Eviction Notices Kansas Eviction Moratorium Declaration As we finally start to. Kansas renters covered by a nationwide ban on evictions will continue to receive that protection until the end of july, after the. On may 28, 2021, the legislative coordinating council (lcc) voted 6 to 2 to extend the declaration through june 15, 2021. “the governor strongly disagrees with the lcc’s decision to revoke her evictions. Kansas Eviction Moratorium Declaration.
From www.pdffiller.com
Fillable Online Download Kansas Eviction Notice Forms Notice to Quit Kansas Eviction Moratorium Declaration “the governor strongly disagrees with the lcc’s decision to revoke her evictions and foreclosure moratorium. As we finally start to. Eviction, foreclosure moratorium in kansas abolished after republican lawmakers voted to end gov. Community aid and tenant advocacy groups say evictions have continued in kansas despite federal and state bans. This declaration is for tenants, lessees, or residents of residential. Kansas Eviction Moratorium Declaration.
From www.uslegalforms.com
Kansas 3 Day Eviction Notice Form US Legal Forms Kansas Eviction Moratorium Declaration “the governor strongly disagrees with the lcc’s decision to revoke her evictions and foreclosure moratorium. As we finally start to. Eviction, foreclosure moratorium in kansas abolished after republican lawmakers voted to end gov. This declaration is for tenants, lessees, or residents of residential properties who are covered by the cdc’s order temporarily halting residential. On may 28, 2021, the legislative. Kansas Eviction Moratorium Declaration.
From docs.google.com
COVID19 Eviction/Foreclosure Moratorium Kansas Executive Order No Kansas Eviction Moratorium Declaration Eviction, foreclosure moratorium in kansas abolished after republican lawmakers voted to end gov. Community aid and tenant advocacy groups say evictions have continued in kansas despite federal and state bans. “the governor strongly disagrees with the lcc’s decision to revoke her evictions and foreclosure moratorium. As we finally start to. This declaration is for tenants, lessees, or residents of residential. Kansas Eviction Moratorium Declaration.