Should Flywheel Turn By Hand . Turning the flywheel by hand requires having the transmission in neutral. For my unstyled a, what would be the best flywheel position for it starting the quickest? The bigger the engine and the more cylinders, the harder it is. You must loosen the crankshaft bolt using a socket wrench and turn it clockwise. The starter seemed to turn it just fine, but per a prior post my starter had issues, and i want to turn it by hand to examine the fly wheel. The engine is a merc 150 v6 2.0l of 1985 vintage,. The only thing you are fighting against with the. Should i be able to turn it both directions? I would think i should set the just prior. How easy should it be to turn the flywheel by hand? Take the plugs out and you should be able to easily turn it over by hand in both directions. You should be able to turn it over by hand fairly easily. It does not turn by hand, it would turn a few days ago and all the work i have done since then is a waterpump change, which then it turned after. Usually pushing down and turning with your palms. The flywheel should be able to be turned by hand.
from engineerine.com
The flywheel should be able to be turned by hand. The only thing you are fighting against with the. For my unstyled a, what would be the best flywheel position for it starting the quickest? Usually pushing down and turning with your palms. The starter seemed to turn it just fine, but per a prior post my starter had issues, and i want to turn it by hand to examine the fly wheel. You should be able to turn it over by hand fairly easily. It does not turn by hand, it would turn a few days ago and all the work i have done since then is a waterpump change, which then it turned after. You must loosen the crankshaft bolt using a socket wrench and turn it clockwise. Should i be able to turn it both directions? How easy should it be to turn the flywheel by hand?
What is a FlyWheel? (Purpose, Mechanism and Faulty Symptoms) Engineerine
Should Flywheel Turn By Hand Turning the flywheel by hand requires having the transmission in neutral. Take the plugs out and you should be able to easily turn it over by hand in both directions. I would think i should set the just prior. The flywheel should be able to be turned by hand. Turning the flywheel by hand requires having the transmission in neutral. You should be able to turn it over by hand fairly easily. It does not turn by hand, it would turn a few days ago and all the work i have done since then is a waterpump change, which then it turned after. Usually pushing down and turning with your palms. The bigger the engine and the more cylinders, the harder it is. The only thing you are fighting against with the. The engine is a merc 150 v6 2.0l of 1985 vintage,. You must loosen the crankshaft bolt using a socket wrench and turn it clockwise. For my unstyled a, what would be the best flywheel position for it starting the quickest? The starter seemed to turn it just fine, but per a prior post my starter had issues, and i want to turn it by hand to examine the fly wheel. How easy should it be to turn the flywheel by hand? Should i be able to turn it both directions?
From shipfever.com
How Does Flywheel Work ? Its Function & Working Principle ShipFever Should Flywheel Turn By Hand The engine is a merc 150 v6 2.0l of 1985 vintage,. Should i be able to turn it both directions? The starter seemed to turn it just fine, but per a prior post my starter had issues, and i want to turn it by hand to examine the fly wheel. I would think i should set the just prior. The. Should Flywheel Turn By Hand.
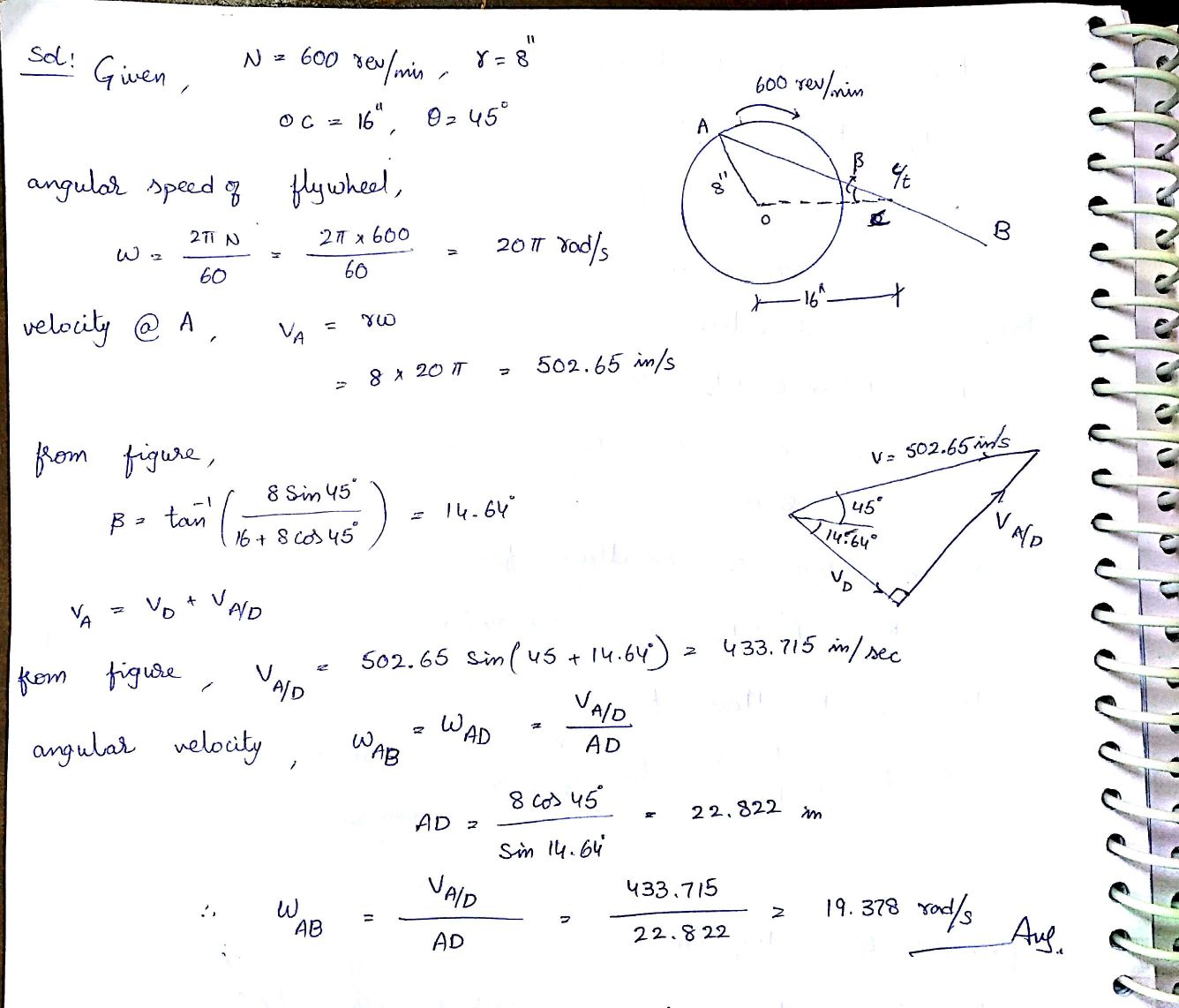
From www.numerade.com
SOLVED Computer codes should only be included as supplements. Consider the mechanism shown in Should Flywheel Turn By Hand You should be able to turn it over by hand fairly easily. You must loosen the crankshaft bolt using a socket wrench and turn it clockwise. Usually pushing down and turning with your palms. Should i be able to turn it both directions? The bigger the engine and the more cylinders, the harder it is. For my unstyled a, what. Should Flywheel Turn By Hand.
From www.reddit.com
Is the flywheel bad or not? New starter won't make contact enough to turn engine. r/MechanicAdvice Should Flywheel Turn By Hand You should be able to turn it over by hand fairly easily. I would think i should set the just prior. Usually pushing down and turning with your palms. The flywheel should be able to be turned by hand. You must loosen the crankshaft bolt using a socket wrench and turn it clockwise. The bigger the engine and the more. Should Flywheel Turn By Hand.
From www.youtube.com
Dynamics of Machinery Lectures What is flywheel Working of Flywheel Flywheel in Punching Should Flywheel Turn By Hand The flywheel should be able to be turned by hand. It does not turn by hand, it would turn a few days ago and all the work i have done since then is a waterpump change, which then it turned after. Should i be able to turn it both directions? The bigger the engine and the more cylinders, the harder. Should Flywheel Turn By Hand.
From www.reddit.com
Should I get my flywheel resurfaced? r/AskMechanics Should Flywheel Turn By Hand I would think i should set the just prior. For my unstyled a, what would be the best flywheel position for it starting the quickest? Usually pushing down and turning with your palms. You must loosen the crankshaft bolt using a socket wrench and turn it clockwise. The flywheel should be able to be turned by hand. The starter seemed. Should Flywheel Turn By Hand.
From innovationdiscoveries.space
Flywheel problems, symptoms, and repairs Should Flywheel Turn By Hand It does not turn by hand, it would turn a few days ago and all the work i have done since then is a waterpump change, which then it turned after. You must loosen the crankshaft bolt using a socket wrench and turn it clockwise. Take the plugs out and you should be able to easily turn it over by. Should Flywheel Turn By Hand.
From car-horizon.com
How To Turn a Flywheel By Hand? Explained Should Flywheel Turn By Hand Take the plugs out and you should be able to easily turn it over by hand in both directions. You should be able to turn it over by hand fairly easily. It does not turn by hand, it would turn a few days ago and all the work i have done since then is a waterpump change, which then it. Should Flywheel Turn By Hand.
From www.youtube.com
How To Resurface A Flywheel And Pressure Plate YouTube Should Flywheel Turn By Hand Take the plugs out and you should be able to easily turn it over by hand in both directions. The flywheel should be able to be turned by hand. The engine is a merc 150 v6 2.0l of 1985 vintage,. The bigger the engine and the more cylinders, the harder it is. You should be able to turn it over. Should Flywheel Turn By Hand.
From onmovements.com
The Flywheel and Movements OnMovements Should Flywheel Turn By Hand You must loosen the crankshaft bolt using a socket wrench and turn it clockwise. I would think i should set the just prior. For my unstyled a, what would be the best flywheel position for it starting the quickest? You should be able to turn it over by hand fairly easily. The flywheel should be able to be turned by. Should Flywheel Turn By Hand.
From bikebesties.com
How Heavy Should the Flywheel Be on a Spin Bike? Choose the Ideal Weight Should Flywheel Turn By Hand You must loosen the crankshaft bolt using a socket wrench and turn it clockwise. The bigger the engine and the more cylinders, the harder it is. It does not turn by hand, it would turn a few days ago and all the work i have done since then is a waterpump change, which then it turned after. The starter seemed. Should Flywheel Turn By Hand.
From www.youtube.com
How to TURN your FLYWHEEL by YOURSELF with a SCREWDRIVER YouTube Should Flywheel Turn By Hand You must loosen the crankshaft bolt using a socket wrench and turn it clockwise. Usually pushing down and turning with your palms. Take the plugs out and you should be able to easily turn it over by hand in both directions. The starter seemed to turn it just fine, but per a prior post my starter had issues, and i. Should Flywheel Turn By Hand.
From www.chegg.com
Solved The Flywheel Turns Clockwise With A Constant Speed... Should Flywheel Turn By Hand Take the plugs out and you should be able to easily turn it over by hand in both directions. How easy should it be to turn the flywheel by hand? The starter seemed to turn it just fine, but per a prior post my starter had issues, and i want to turn it by hand to examine the fly wheel.. Should Flywheel Turn By Hand.
From dizz.com
What is a Flywheel? Working, Functions, Selection Criteria, Advantages [PDF] Design Engineering Should Flywheel Turn By Hand It does not turn by hand, it would turn a few days ago and all the work i have done since then is a waterpump change, which then it turned after. Take the plugs out and you should be able to easily turn it over by hand in both directions. Usually pushing down and turning with your palms. Turning the. Should Flywheel Turn By Hand.
From www.chegg.com
Solved Question 4 The flywheel turns clockwise with a Should Flywheel Turn By Hand You should be able to turn it over by hand fairly easily. The flywheel should be able to be turned by hand. How easy should it be to turn the flywheel by hand? Usually pushing down and turning with your palms. It does not turn by hand, it would turn a few days ago and all the work i have. Should Flywheel Turn By Hand.
From engineerine.com
What is a FlyWheel? (Purpose, Mechanism and Faulty Symptoms) Engineerine Should Flywheel Turn By Hand The flywheel should be able to be turned by hand. The engine is a merc 150 v6 2.0l of 1985 vintage,. Take the plugs out and you should be able to easily turn it over by hand in both directions. The starter seemed to turn it just fine, but per a prior post my starter had issues, and i want. Should Flywheel Turn By Hand.
From klagswptx.blob.core.windows.net
Flywheel Principle at Ciera Wallace blog Should Flywheel Turn By Hand You must loosen the crankshaft bolt using a socket wrench and turn it clockwise. The starter seemed to turn it just fine, but per a prior post my starter had issues, and i want to turn it by hand to examine the fly wheel. You should be able to turn it over by hand fairly easily. The flywheel should be. Should Flywheel Turn By Hand.
From www.youtube.com
Turning Your Flywheel with Doug Haynes YouTube Should Flywheel Turn By Hand I would think i should set the just prior. Should i be able to turn it both directions? The flywheel should be able to be turned by hand. For my unstyled a, what would be the best flywheel position for it starting the quickest? The engine is a merc 150 v6 2.0l of 1985 vintage,. Turning the flywheel by hand. Should Flywheel Turn By Hand.
From extrudesign.com
Construction of Flywheels ExtruDesign Should Flywheel Turn By Hand Should i be able to turn it both directions? How easy should it be to turn the flywheel by hand? I would think i should set the just prior. Turning the flywheel by hand requires having the transmission in neutral. Usually pushing down and turning with your palms. It does not turn by hand, it would turn a few days. Should Flywheel Turn By Hand.
From www.youtube.com
Why the Exerfly FlyWheel Should be a Part of Your Next Workout YouTube Should Flywheel Turn By Hand The engine is a merc 150 v6 2.0l of 1985 vintage,. The flywheel should be able to be turned by hand. For my unstyled a, what would be the best flywheel position for it starting the quickest? Should i be able to turn it both directions? Usually pushing down and turning with your palms. You must loosen the crankshaft bolt. Should Flywheel Turn By Hand.
From www.youtube.com
Flywheel Tutorial Part I YouTube Should Flywheel Turn By Hand The only thing you are fighting against with the. The flywheel should be able to be turned by hand. Take the plugs out and you should be able to easily turn it over by hand in both directions. Usually pushing down and turning with your palms. The starter seemed to turn it just fine, but per a prior post my. Should Flywheel Turn By Hand.
From bikebesties.com
How Heavy Should Flywheel Be on Spin Bike? Maximize Momentum and Intensity Should Flywheel Turn By Hand For my unstyled a, what would be the best flywheel position for it starting the quickest? Should i be able to turn it both directions? It does not turn by hand, it would turn a few days ago and all the work i have done since then is a waterpump change, which then it turned after. The only thing you. Should Flywheel Turn By Hand.
From www.youtube.com
Checking the flywheel while turning over engine by hand YouTube Should Flywheel Turn By Hand You must loosen the crankshaft bolt using a socket wrench and turn it clockwise. How easy should it be to turn the flywheel by hand? Turning the flywheel by hand requires having the transmission in neutral. Take the plugs out and you should be able to easily turn it over by hand in both directions. The starter seemed to turn. Should Flywheel Turn By Hand.
From ar.inspiredpencil.com
Flywheel Should Flywheel Turn By Hand For my unstyled a, what would be the best flywheel position for it starting the quickest? The flywheel should be able to be turned by hand. The only thing you are fighting against with the. I would think i should set the just prior. It does not turn by hand, it would turn a few days ago and all the. Should Flywheel Turn By Hand.
From car-horizon.com
How To Turn a Flywheel By Hand? Explained Should Flywheel Turn By Hand Usually pushing down and turning with your palms. I would think i should set the just prior. You should be able to turn it over by hand fairly easily. The only thing you are fighting against with the. The engine is a merc 150 v6 2.0l of 1985 vintage,. The starter seemed to turn it just fine, but per a. Should Flywheel Turn By Hand.
From www.transtutors.com
(Solved) The flywheel turns clockwise with a constant speed of 600 rev/min.... (1 Answer Should Flywheel Turn By Hand The only thing you are fighting against with the. You must loosen the crankshaft bolt using a socket wrench and turn it clockwise. The engine is a merc 150 v6 2.0l of 1985 vintage,. For my unstyled a, what would be the best flywheel position for it starting the quickest? Should i be able to turn it both directions? How. Should Flywheel Turn By Hand.
From www.theengineerspost.com
Flywheel Parts, Types, Functions, Applications & [PDF] Should Flywheel Turn By Hand How easy should it be to turn the flywheel by hand? It does not turn by hand, it would turn a few days ago and all the work i have done since then is a waterpump change, which then it turned after. I would think i should set the just prior. Usually pushing down and turning with your palms. The. Should Flywheel Turn By Hand.
From www.coursehero.com
[Solved] The flywheel turns clockwise with a constant speed of 600 rev/min... Course Hero Should Flywheel Turn By Hand The bigger the engine and the more cylinders, the harder it is. For my unstyled a, what would be the best flywheel position for it starting the quickest? You must loosen the crankshaft bolt using a socket wrench and turn it clockwise. The only thing you are fighting against with the. Usually pushing down and turning with your palms. The. Should Flywheel Turn By Hand.
From www.kwik-fit.com
How does an engine actually move a car? Kwik Lessons Kwik Fit Should Flywheel Turn By Hand You must loosen the crankshaft bolt using a socket wrench and turn it clockwise. Usually pushing down and turning with your palms. Turning the flywheel by hand requires having the transmission in neutral. Should i be able to turn it both directions? For my unstyled a, what would be the best flywheel position for it starting the quickest? I would. Should Flywheel Turn By Hand.
From www.crescentfoundry.com
Understanding the Application of Flywheels in the Automotive Industry Crescent Foundry Should Flywheel Turn By Hand You must loosen the crankshaft bolt using a socket wrench and turn it clockwise. Should i be able to turn it both directions? Take the plugs out and you should be able to easily turn it over by hand in both directions. Usually pushing down and turning with your palms. The starter seemed to turn it just fine, but per. Should Flywheel Turn By Hand.
From www.chegg.com
Solved The flywheel turns clockwise with a constant speed of Should Flywheel Turn By Hand Usually pushing down and turning with your palms. The flywheel should be able to be turned by hand. I would think i should set the just prior. The engine is a merc 150 v6 2.0l of 1985 vintage,. You must loosen the crankshaft bolt using a socket wrench and turn it clockwise. Take the plugs out and you should be. Should Flywheel Turn By Hand.
From bikebesties.com
How Heavy Should the Flywheel Be on a Spin Bike? Choose the Ideal Weight Should Flywheel Turn By Hand Turning the flywheel by hand requires having the transmission in neutral. It does not turn by hand, it would turn a few days ago and all the work i have done since then is a waterpump change, which then it turned after. You must loosen the crankshaft bolt using a socket wrench and turn it clockwise. Should i be able. Should Flywheel Turn By Hand.
From www.growth-catalyst.in
Flywheels The Unstoppable Force of Growth Should Flywheel Turn By Hand The starter seemed to turn it just fine, but per a prior post my starter had issues, and i want to turn it by hand to examine the fly wheel. It does not turn by hand, it would turn a few days ago and all the work i have done since then is a waterpump change, which then it turned. Should Flywheel Turn By Hand.
From www.youtube.com
HOW TO REPLACE FLYWHEEL!!! YouTube Should Flywheel Turn By Hand You should be able to turn it over by hand fairly easily. The flywheel should be able to be turned by hand. Should i be able to turn it both directions? Turning the flywheel by hand requires having the transmission in neutral. The engine is a merc 150 v6 2.0l of 1985 vintage,. The only thing you are fighting against. Should Flywheel Turn By Hand.
From www.youtube.com
flywheel / what is a flywheel ? YouTube Should Flywheel Turn By Hand Take the plugs out and you should be able to easily turn it over by hand in both directions. The bigger the engine and the more cylinders, the harder it is. It does not turn by hand, it would turn a few days ago and all the work i have done since then is a waterpump change, which then it. Should Flywheel Turn By Hand.
From www.youtube.com
How to quickly and easily remove flywheels from most small engine riding mowers YouTube Should Flywheel Turn By Hand How easy should it be to turn the flywheel by hand? Usually pushing down and turning with your palms. The bigger the engine and the more cylinders, the harder it is. For my unstyled a, what would be the best flywheel position for it starting the quickest? The engine is a merc 150 v6 2.0l of 1985 vintage,. You must. Should Flywheel Turn By Hand.