What Is The Ratio Of Oxygen To Nitrogen . — in carbon monoxide, on the left, there is \(1.333 \: — air is a mixture of gases, 78% nitrogen and 21% oxygen with traces of water vapor, carbon dioxide, argon, and various. In carbon dioxide, on the. Nitrogen, oxygen, water vapor, argon, and carbon dioxide account for about 99% of the composition of. — nitrogen gas is the primary component of air. oxygen has a molar mass of 15.9994 g/mol and nitrogen has a molar mass of 14.0067 g/mol. Nitrogen makes up 78 % of this. Since both of these elements are. — the mixture of gases that makes up the earth’s atmosphere is known as air. ozone, which is present mainly in the atmospheric region 10 to 50 km (6 to 30 miles) above the earth’s surface, is an effective absorber of ultraviolet. \text{g}\) of oxygen for every \(1 \:
from www.toppr.com
Since both of these elements are. \text{g}\) of oxygen for every \(1 \: Nitrogen makes up 78 % of this. — in carbon monoxide, on the left, there is \(1.333 \: — nitrogen gas is the primary component of air. ozone, which is present mainly in the atmospheric region 10 to 50 km (6 to 30 miles) above the earth’s surface, is an effective absorber of ultraviolet. Nitrogen, oxygen, water vapor, argon, and carbon dioxide account for about 99% of the composition of. — the mixture of gases that makes up the earth’s atmosphere is known as air. In carbon dioxide, on the. — air is a mixture of gases, 78% nitrogen and 21% oxygen with traces of water vapor, carbon dioxide, argon, and various.
A gaseous mixture contains oxygen and nitrogen in ratio 14 by weight
What Is The Ratio Of Oxygen To Nitrogen ozone, which is present mainly in the atmospheric region 10 to 50 km (6 to 30 miles) above the earth’s surface, is an effective absorber of ultraviolet. Nitrogen, oxygen, water vapor, argon, and carbon dioxide account for about 99% of the composition of. — air is a mixture of gases, 78% nitrogen and 21% oxygen with traces of water vapor, carbon dioxide, argon, and various. In carbon dioxide, on the. — the mixture of gases that makes up the earth’s atmosphere is known as air. \text{g}\) of oxygen for every \(1 \: — nitrogen gas is the primary component of air. — in carbon monoxide, on the left, there is \(1.333 \: Since both of these elements are. ozone, which is present mainly in the atmospheric region 10 to 50 km (6 to 30 miles) above the earth’s surface, is an effective absorber of ultraviolet. Nitrogen makes up 78 % of this. oxygen has a molar mass of 15.9994 g/mol and nitrogen has a molar mass of 14.0067 g/mol.
From www.shutterstock.com
Nitrogen Molecule And Oxygen Molecule Stock Vector Illustration What Is The Ratio Of Oxygen To Nitrogen Since both of these elements are. — in carbon monoxide, on the left, there is \(1.333 \: — air is a mixture of gases, 78% nitrogen and 21% oxygen with traces of water vapor, carbon dioxide, argon, and various. — the mixture of gases that makes up the earth’s atmosphere is known as air. Nitrogen makes up. What Is The Ratio Of Oxygen To Nitrogen.
From www.toppr.com
A gaseous mixture contains oxygen and nitrogen in ratio 14 by weight What Is The Ratio Of Oxygen To Nitrogen Nitrogen makes up 78 % of this. oxygen has a molar mass of 15.9994 g/mol and nitrogen has a molar mass of 14.0067 g/mol. Since both of these elements are. — air is a mixture of gases, 78% nitrogen and 21% oxygen with traces of water vapor, carbon dioxide, argon, and various. — in carbon monoxide, on. What Is The Ratio Of Oxygen To Nitrogen.
From material-properties.org
Nitrogen and Oxygen Comparison Properties Material Properties What Is The Ratio Of Oxygen To Nitrogen In carbon dioxide, on the. — in carbon monoxide, on the left, there is \(1.333 \: Since both of these elements are. oxygen has a molar mass of 15.9994 g/mol and nitrogen has a molar mass of 14.0067 g/mol. — nitrogen gas is the primary component of air. ozone, which is present mainly in the atmospheric. What Is The Ratio Of Oxygen To Nitrogen.
From www.vrogue.co
Experiment To Calculate The Percentage Of Nitrogen An vrogue.co What Is The Ratio Of Oxygen To Nitrogen In carbon dioxide, on the. — nitrogen gas is the primary component of air. \text{g}\) of oxygen for every \(1 \: Nitrogen, oxygen, water vapor, argon, and carbon dioxide account for about 99% of the composition of. — the mixture of gases that makes up the earth’s atmosphere is known as air. Nitrogen makes up 78 % of. What Is The Ratio Of Oxygen To Nitrogen.
From stock.adobe.com
Elements and Compounds are compared in the molecular structure. Oxygen What Is The Ratio Of Oxygen To Nitrogen — in carbon monoxide, on the left, there is \(1.333 \: ozone, which is present mainly in the atmospheric region 10 to 50 km (6 to 30 miles) above the earth’s surface, is an effective absorber of ultraviolet. \text{g}\) of oxygen for every \(1 \: — air is a mixture of gases, 78% nitrogen and 21% oxygen. What Is The Ratio Of Oxygen To Nitrogen.
From www.researchgate.net
Oxygentonitrogen ratio from Auger analysis of A, C, G and T 5mers What Is The Ratio Of Oxygen To Nitrogen — the mixture of gases that makes up the earth’s atmosphere is known as air. — air is a mixture of gases, 78% nitrogen and 21% oxygen with traces of water vapor, carbon dioxide, argon, and various. Since both of these elements are. Nitrogen, oxygen, water vapor, argon, and carbon dioxide account for about 99% of the composition. What Is The Ratio Of Oxygen To Nitrogen.
From www.researchgate.net
Variation of both oxygennitrogen composition and refractive index vs What Is The Ratio Of Oxygen To Nitrogen In carbon dioxide, on the. Nitrogen, oxygen, water vapor, argon, and carbon dioxide account for about 99% of the composition of. oxygen has a molar mass of 15.9994 g/mol and nitrogen has a molar mass of 14.0067 g/mol. — air is a mixture of gases, 78% nitrogen and 21% oxygen with traces of water vapor, carbon dioxide, argon,. What Is The Ratio Of Oxygen To Nitrogen.
From byjus.com
An oxide of nitrogen contains 36.8 What Is The Ratio Of Oxygen To Nitrogen — air is a mixture of gases, 78% nitrogen and 21% oxygen with traces of water vapor, carbon dioxide, argon, and various. — nitrogen gas is the primary component of air. — in carbon monoxide, on the left, there is \(1.333 \: Since both of these elements are. In carbon dioxide, on the. oxygen has a. What Is The Ratio Of Oxygen To Nitrogen.
From www.hvacrschool.com
Short 81 Air vs. Nitrogen vs. Oxygen HVAC School What Is The Ratio Of Oxygen To Nitrogen ozone, which is present mainly in the atmospheric region 10 to 50 km (6 to 30 miles) above the earth’s surface, is an effective absorber of ultraviolet. — air is a mixture of gases, 78% nitrogen and 21% oxygen with traces of water vapor, carbon dioxide, argon, and various. — nitrogen gas is the primary component of. What Is The Ratio Of Oxygen To Nitrogen.
From www.chegg.com
Solved Nitrous oxide, N2O, has a mass ratio of nitrogen to What Is The Ratio Of Oxygen To Nitrogen In carbon dioxide, on the. — the mixture of gases that makes up the earth’s atmosphere is known as air. ozone, which is present mainly in the atmospheric region 10 to 50 km (6 to 30 miles) above the earth’s surface, is an effective absorber of ultraviolet. oxygen has a molar mass of 15.9994 g/mol and nitrogen. What Is The Ratio Of Oxygen To Nitrogen.
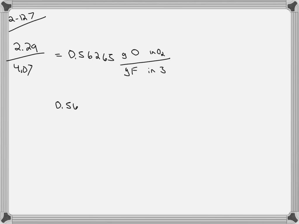
From www.numerade.com
⏩SOLVEDThe ratio of oxygen to nitrogen by mass in NO2 is 2.29. The What Is The Ratio Of Oxygen To Nitrogen — in carbon monoxide, on the left, there is \(1.333 \: oxygen has a molar mass of 15.9994 g/mol and nitrogen has a molar mass of 14.0067 g/mol. In carbon dioxide, on the. Nitrogen, oxygen, water vapor, argon, and carbon dioxide account for about 99% of the composition of. \text{g}\) of oxygen for every \(1 \: Nitrogen makes. What Is The Ratio Of Oxygen To Nitrogen.
From www.vecteezy.com
Components of Air with Oxygen, Nitrogen and other gases 12623982 Vector What Is The Ratio Of Oxygen To Nitrogen In carbon dioxide, on the. — in carbon monoxide, on the left, there is \(1.333 \: oxygen has a molar mass of 15.9994 g/mol and nitrogen has a molar mass of 14.0067 g/mol. ozone, which is present mainly in the atmospheric region 10 to 50 km (6 to 30 miles) above the earth’s surface, is an effective. What Is The Ratio Of Oxygen To Nitrogen.
From www.chegg.com
Solved Nitrogen and oxygen form nitric oxide. N2 (g) + O2 What Is The Ratio Of Oxygen To Nitrogen In carbon dioxide, on the. — nitrogen gas is the primary component of air. — air is a mixture of gases, 78% nitrogen and 21% oxygen with traces of water vapor, carbon dioxide, argon, and various. — in carbon monoxide, on the left, there is \(1.333 \: — the mixture of gases that makes up the. What Is The Ratio Of Oxygen To Nitrogen.
From www.scienceabc.com
Why Has Life Evolved To Depend On Oxygen Instead Of Nitrogen? » ScienceABC What Is The Ratio Of Oxygen To Nitrogen Since both of these elements are. Nitrogen, oxygen, water vapor, argon, and carbon dioxide account for about 99% of the composition of. — nitrogen gas is the primary component of air. Nitrogen makes up 78 % of this. \text{g}\) of oxygen for every \(1 \: — in carbon monoxide, on the left, there is \(1.333 \: ozone,. What Is The Ratio Of Oxygen To Nitrogen.
From byjus.com
38. A gaseous mixture contains oxygen and nitrogen in the ratio of 1 What Is The Ratio Of Oxygen To Nitrogen Nitrogen makes up 78 % of this. oxygen has a molar mass of 15.9994 g/mol and nitrogen has a molar mass of 14.0067 g/mol. ozone, which is present mainly in the atmospheric region 10 to 50 km (6 to 30 miles) above the earth’s surface, is an effective absorber of ultraviolet. Nitrogen, oxygen, water vapor, argon, and carbon. What Is The Ratio Of Oxygen To Nitrogen.
From www.researchgate.net
Typical ranges of oxygen18 and nitrogen15 values (after Kendall What Is The Ratio Of Oxygen To Nitrogen In carbon dioxide, on the. — in carbon monoxide, on the left, there is \(1.333 \: — the mixture of gases that makes up the earth’s atmosphere is known as air. \text{g}\) of oxygen for every \(1 \: Nitrogen makes up 78 % of this. ozone, which is present mainly in the atmospheric region 10 to 50. What Is The Ratio Of Oxygen To Nitrogen.
From www.slideserve.com
PPT Nitrogen 78 PowerPoint Presentation, free download ID2720579 What Is The Ratio Of Oxygen To Nitrogen — in carbon monoxide, on the left, there is \(1.333 \: In carbon dioxide, on the. — nitrogen gas is the primary component of air. oxygen has a molar mass of 15.9994 g/mol and nitrogen has a molar mass of 14.0067 g/mol. \text{g}\) of oxygen for every \(1 \: Nitrogen makes up 78 % of this. Nitrogen,. What Is The Ratio Of Oxygen To Nitrogen.
From www.researchgate.net
Element ratios of oxygen to carbon (a) and nitrogen to carbon (b What Is The Ratio Of Oxygen To Nitrogen oxygen has a molar mass of 15.9994 g/mol and nitrogen has a molar mass of 14.0067 g/mol. ozone, which is present mainly in the atmospheric region 10 to 50 km (6 to 30 miles) above the earth’s surface, is an effective absorber of ultraviolet. — nitrogen gas is the primary component of air. Nitrogen, oxygen, water vapor,. What Is The Ratio Of Oxygen To Nitrogen.
From www.pexels.com
Free stock photo of chart, compressed air, nitrogen What Is The Ratio Of Oxygen To Nitrogen \text{g}\) of oxygen for every \(1 \: ozone, which is present mainly in the atmospheric region 10 to 50 km (6 to 30 miles) above the earth’s surface, is an effective absorber of ultraviolet. — nitrogen gas is the primary component of air. Nitrogen, oxygen, water vapor, argon, and carbon dioxide account for about 99% of the composition. What Is The Ratio Of Oxygen To Nitrogen.
From www.toppr.com
13. The ratio of masses of oxygen and nitrogen in a particular gaseous What Is The Ratio Of Oxygen To Nitrogen Nitrogen makes up 78 % of this. \text{g}\) of oxygen for every \(1 \: Nitrogen, oxygen, water vapor, argon, and carbon dioxide account for about 99% of the composition of. — the mixture of gases that makes up the earth’s atmosphere is known as air. oxygen has a molar mass of 15.9994 g/mol and nitrogen has a molar. What Is The Ratio Of Oxygen To Nitrogen.
From www.dreamstime.com
The Composition of the Atmosphere. Nitrogen, Carbon Dioxide, Oxygen What Is The Ratio Of Oxygen To Nitrogen \text{g}\) of oxygen for every \(1 \: — nitrogen gas is the primary component of air. Since both of these elements are. ozone, which is present mainly in the atmospheric region 10 to 50 km (6 to 30 miles) above the earth’s surface, is an effective absorber of ultraviolet. Nitrogen, oxygen, water vapor, argon, and carbon dioxide account. What Is The Ratio Of Oxygen To Nitrogen.
From www.researchgate.net
Oxygen, nitrogen and argon vapor pressure curves. Download Scientific What Is The Ratio Of Oxygen To Nitrogen — nitrogen gas is the primary component of air. ozone, which is present mainly in the atmospheric region 10 to 50 km (6 to 30 miles) above the earth’s surface, is an effective absorber of ultraviolet. Since both of these elements are. Nitrogen makes up 78 % of this. — in carbon monoxide, on the left, there. What Is The Ratio Of Oxygen To Nitrogen.
From surfguppy.com
What is Electronegativity? What Is The Ratio Of Oxygen To Nitrogen — the mixture of gases that makes up the earth’s atmosphere is known as air. Since both of these elements are. — nitrogen gas is the primary component of air. — in carbon monoxide, on the left, there is \(1.333 \: oxygen has a molar mass of 15.9994 g/mol and nitrogen has a molar mass of. What Is The Ratio Of Oxygen To Nitrogen.
From www.researchgate.net
1 Oxygen and nitrogen phase diagram Download Scientific Diagram What Is The Ratio Of Oxygen To Nitrogen oxygen has a molar mass of 15.9994 g/mol and nitrogen has a molar mass of 14.0067 g/mol. — air is a mixture of gases, 78% nitrogen and 21% oxygen with traces of water vapor, carbon dioxide, argon, and various. Nitrogen makes up 78 % of this. — nitrogen gas is the primary component of air. —. What Is The Ratio Of Oxygen To Nitrogen.
From galnet.wikia.com
Nitrogen Oxygen Wiki FANDOM powered by Wikia What Is The Ratio Of Oxygen To Nitrogen In carbon dioxide, on the. — air is a mixture of gases, 78% nitrogen and 21% oxygen with traces of water vapor, carbon dioxide, argon, and various. — in carbon monoxide, on the left, there is \(1.333 \: — the mixture of gases that makes up the earth’s atmosphere is known as air. \text{g}\) of oxygen for. What Is The Ratio Of Oxygen To Nitrogen.
From www.slideserve.com
PPT KS4 Changes to the Earth and atmosphere PowerPoint Presentation What Is The Ratio Of Oxygen To Nitrogen Nitrogen makes up 78 % of this. — in carbon monoxide, on the left, there is \(1.333 \: oxygen has a molar mass of 15.9994 g/mol and nitrogen has a molar mass of 14.0067 g/mol. In carbon dioxide, on the. — the mixture of gases that makes up the earth’s atmosphere is known as air. —. What Is The Ratio Of Oxygen To Nitrogen.
From www.alamy.com
Nitrogen atom hires stock photography and images Alamy What Is The Ratio Of Oxygen To Nitrogen — the mixture of gases that makes up the earth’s atmosphere is known as air. Nitrogen, oxygen, water vapor, argon, and carbon dioxide account for about 99% of the composition of. oxygen has a molar mass of 15.9994 g/mol and nitrogen has a molar mass of 14.0067 g/mol. Nitrogen makes up 78 % of this. In carbon dioxide,. What Is The Ratio Of Oxygen To Nitrogen.
From www.youtube.com
How to Balance N2 + O2 = N2O3 (Nitrogen gas + Oxygen gas) YouTube What Is The Ratio Of Oxygen To Nitrogen oxygen has a molar mass of 15.9994 g/mol and nitrogen has a molar mass of 14.0067 g/mol. — in carbon monoxide, on the left, there is \(1.333 \: \text{g}\) of oxygen for every \(1 \: Nitrogen, oxygen, water vapor, argon, and carbon dioxide account for about 99% of the composition of. In carbon dioxide, on the. —. What Is The Ratio Of Oxygen To Nitrogen.
From byjus.com
A gaseous mixture contains nitrogen and oxygen in the ratio of 4 1 by What Is The Ratio Of Oxygen To Nitrogen In carbon dioxide, on the. Nitrogen makes up 78 % of this. ozone, which is present mainly in the atmospheric region 10 to 50 km (6 to 30 miles) above the earth’s surface, is an effective absorber of ultraviolet. \text{g}\) of oxygen for every \(1 \: — nitrogen gas is the primary component of air. Nitrogen, oxygen, water. What Is The Ratio Of Oxygen To Nitrogen.
From www.researchgate.net
Examples of reactive forms divided into reactive oxygen and nitrogen What Is The Ratio Of Oxygen To Nitrogen — nitrogen gas is the primary component of air. — air is a mixture of gases, 78% nitrogen and 21% oxygen with traces of water vapor, carbon dioxide, argon, and various. Since both of these elements are. — in carbon monoxide, on the left, there is \(1.333 \: Nitrogen makes up 78 % of this. —. What Is The Ratio Of Oxygen To Nitrogen.
From www.numerade.com
SOLVEDThe ratio of oxygen to nitrogen by mass in NO2 is 2.29 . The What Is The Ratio Of Oxygen To Nitrogen — air is a mixture of gases, 78% nitrogen and 21% oxygen with traces of water vapor, carbon dioxide, argon, and various. Since both of these elements are. Nitrogen makes up 78 % of this. \text{g}\) of oxygen for every \(1 \: — in carbon monoxide, on the left, there is \(1.333 \: — the mixture of. What Is The Ratio Of Oxygen To Nitrogen.
From physics.stackexchange.com
How to calculate mass proportions of each compound in air? Physics What Is The Ratio Of Oxygen To Nitrogen Nitrogen makes up 78 % of this. Since both of these elements are. — air is a mixture of gases, 78% nitrogen and 21% oxygen with traces of water vapor, carbon dioxide, argon, and various. In carbon dioxide, on the. — the mixture of gases that makes up the earth’s atmosphere is known as air. Nitrogen, oxygen, water. What Is The Ratio Of Oxygen To Nitrogen.
From kidsdiscover.com
Infographic Carbon, Hydrogen, Oxygen, and Nitrogen Kids Discover What Is The Ratio Of Oxygen To Nitrogen Nitrogen, oxygen, water vapor, argon, and carbon dioxide account for about 99% of the composition of. — air is a mixture of gases, 78% nitrogen and 21% oxygen with traces of water vapor, carbon dioxide, argon, and various. Since both of these elements are. — nitrogen gas is the primary component of air. Nitrogen makes up 78 %. What Is The Ratio Of Oxygen To Nitrogen.
From www.researchgate.net
Diffusion of the different gases oxygen (a), nitrogen (a), CO 2 (b What Is The Ratio Of Oxygen To Nitrogen \text{g}\) of oxygen for every \(1 \: — air is a mixture of gases, 78% nitrogen and 21% oxygen with traces of water vapor, carbon dioxide, argon, and various. Nitrogen, oxygen, water vapor, argon, and carbon dioxide account for about 99% of the composition of. Nitrogen makes up 78 % of this. — in carbon monoxide, on the. What Is The Ratio Of Oxygen To Nitrogen.
From www.numerade.com
SOLVEDTwo samples of different compounds of nitrogen and oxygen have What Is The Ratio Of Oxygen To Nitrogen \text{g}\) of oxygen for every \(1 \: — the mixture of gases that makes up the earth’s atmosphere is known as air. — in carbon monoxide, on the left, there is \(1.333 \: In carbon dioxide, on the. Nitrogen makes up 78 % of this. — air is a mixture of gases, 78% nitrogen and 21% oxygen. What Is The Ratio Of Oxygen To Nitrogen.