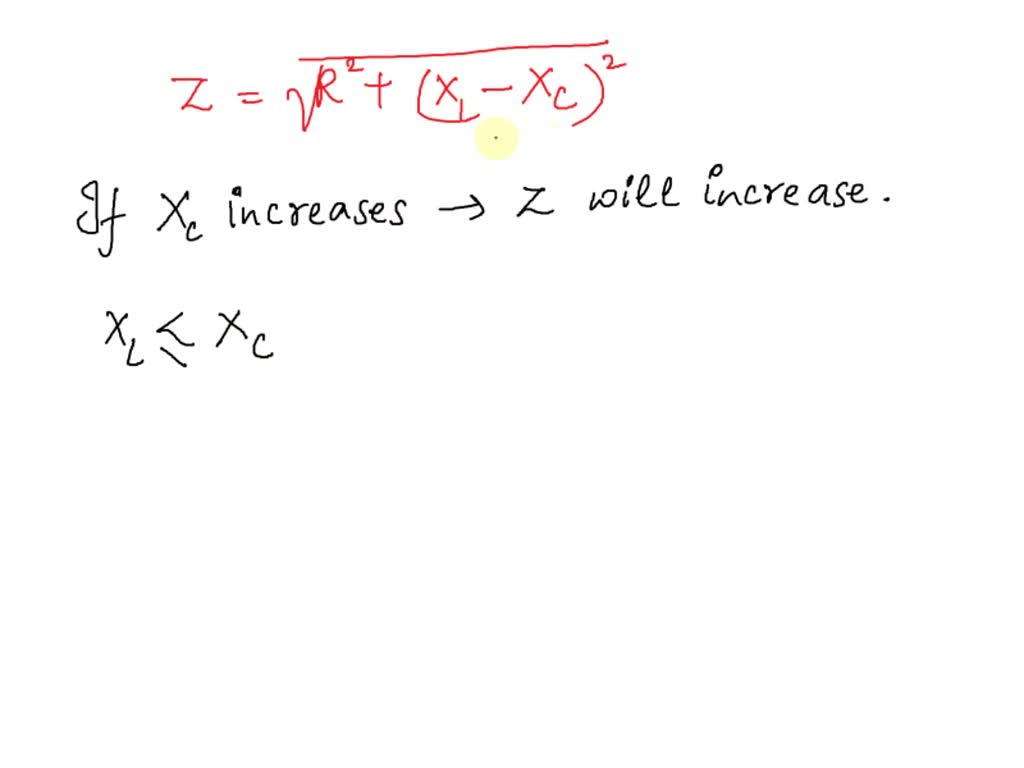
Xl Is Equal To Xc . I'm trying to find the inductor (l) and capacitor (c) values using the inductive reactance (xl) and capacitive reactance (xc). The square root of r2 is r, which would equal z. Study with quizlet and memorize flashcards containing terms like true or false current in a series lc circuit is the same at all points., true. A series lc circuit has an applied voltage of 100 volts. Learn the definitions, formulas and phasor diagrams of inductive reactance (xl) and capacitive reactance (xc) in ac circuits. When xl equals xc, impedance z becomes equal to r and the circuit is in resonance with the source frequency. Find out how they vary with frequency and how they differ from. When xl and xc are equal, their values cancel; Find the total current, voltage drops, and phase angles using ohm's law. The voltage drop across xl or xc cannot be larger than 100 volts. But what would be the effect on impedance, phase power. The reason why xl (inductive reactance) equals xc (capacitive reactance) in a capacitor and inductive circuit is because they. Learn how to analyze a series circuit with resistor, inductor, and capacitor using impedance (z) instead of resistance (r).
from ambitiousmares.blogspot.com
Study with quizlet and memorize flashcards containing terms like true or false current in a series lc circuit is the same at all points., true. A series lc circuit has an applied voltage of 100 volts. But what would be the effect on impedance, phase power. Find out how they vary with frequency and how they differ from. When xl equals xc, impedance z becomes equal to r and the circuit is in resonance with the source frequency. The voltage drop across xl or xc cannot be larger than 100 volts. When xl and xc are equal, their values cancel; Learn how to analyze a series circuit with resistor, inductor, and capacitor using impedance (z) instead of resistance (r). The reason why xl (inductive reactance) equals xc (capacitive reactance) in a capacitor and inductive circuit is because they. Learn the definitions, formulas and phasor diagrams of inductive reactance (xl) and capacitive reactance (xc) in ac circuits.
30 (a) Label The Following Figure As Being Xl _ Xc Labels Design
Xl Is Equal To Xc The reason why xl (inductive reactance) equals xc (capacitive reactance) in a capacitor and inductive circuit is because they. Learn how to analyze a series circuit with resistor, inductor, and capacitor using impedance (z) instead of resistance (r). Find out how they vary with frequency and how they differ from. Learn the definitions, formulas and phasor diagrams of inductive reactance (xl) and capacitive reactance (xc) in ac circuits. The voltage drop across xl or xc cannot be larger than 100 volts. Find the total current, voltage drops, and phase angles using ohm's law. The square root of r2 is r, which would equal z. But what would be the effect on impedance, phase power. I'm trying to find the inductor (l) and capacitor (c) values using the inductive reactance (xl) and capacitive reactance (xc). The reason why xl (inductive reactance) equals xc (capacitive reactance) in a capacitor and inductive circuit is because they. When xl and xc are equal, their values cancel; When xl equals xc, impedance z becomes equal to r and the circuit is in resonance with the source frequency. A series lc circuit has an applied voltage of 100 volts. Study with quizlet and memorize flashcards containing terms like true or false current in a series lc circuit is the same at all points., true.
From www.teachoo.com
Ques 10 (MCQ) sin (tan^1 x), where x Xl Is Equal To Xc The square root of r2 is r, which would equal z. Learn how to analyze a series circuit with resistor, inductor, and capacitor using impedance (z) instead of resistance (r). When xl and xc are equal, their values cancel; Study with quizlet and memorize flashcards containing terms like true or false current in a series lc circuit is the same. Xl Is Equal To Xc.
From www.teachoo.com
[Sample Paper] In 𝛥 ABC, DE ‖ AB. If AB = a, DE = x, BE = b and EC Xl Is Equal To Xc Learn the definitions, formulas and phasor diagrams of inductive reactance (xl) and capacitive reactance (xc) in ac circuits. But what would be the effect on impedance, phase power. A series lc circuit has an applied voltage of 100 volts. Learn how to analyze a series circuit with resistor, inductor, and capacitor using impedance (z) instead of resistance (r). The reason. Xl Is Equal To Xc.
From www.coursehero.com
[Solved] can you explain how XL Xc= 4.1. ' Example Calculate the Xl Is Equal To Xc The reason why xl (inductive reactance) equals xc (capacitive reactance) in a capacitor and inductive circuit is because they. I'm trying to find the inductor (l) and capacitor (c) values using the inductive reactance (xl) and capacitive reactance (xc). But what would be the effect on impedance, phase power. The voltage drop across xl or xc cannot be larger than. Xl Is Equal To Xc.
From studylib.net
AC Source and RLC Circuits ( ) π Xl Is Equal To Xc Study with quizlet and memorize flashcards containing terms like true or false current in a series lc circuit is the same at all points., true. Find out how they vary with frequency and how they differ from. But what would be the effect on impedance, phase power. A series lc circuit has an applied voltage of 100 volts. Find the. Xl Is Equal To Xc.
From howthingscompare.com
Youth XL vs Adult Small What Are The Size Differences Xl Is Equal To Xc The voltage drop across xl or xc cannot be larger than 100 volts. The reason why xl (inductive reactance) equals xc (capacitive reactance) in a capacitor and inductive circuit is because they. Learn the definitions, formulas and phasor diagrams of inductive reactance (xl) and capacitive reactance (xc) in ac circuits. The square root of r2 is r, which would equal. Xl Is Equal To Xc.
From exoyavwqj.blob.core.windows.net
Xl Is Equal To What Size at Ruth Snyder blog Xl Is Equal To Xc Study with quizlet and memorize flashcards containing terms like true or false current in a series lc circuit is the same at all points., true. A series lc circuit has an applied voltage of 100 volts. When xl equals xc, impedance z becomes equal to r and the circuit is in resonance with the source frequency. When xl and xc. Xl Is Equal To Xc.
From www.slideserve.com
PPT Physics 2112 Unit 21 PowerPoint Presentation, free download ID Xl Is Equal To Xc Find the total current, voltage drops, and phase angles using ohm's law. When xl equals xc, impedance z becomes equal to r and the circuit is in resonance with the source frequency. Learn the definitions, formulas and phasor diagrams of inductive reactance (xl) and capacitive reactance (xc) in ac circuits. The square root of r2 is r, which would equal. Xl Is Equal To Xc.
From www.toppr.com
The adjoining figure shows an AC circuit with resistance R , inductance Xl Is Equal To Xc Study with quizlet and memorize flashcards containing terms like true or false current in a series lc circuit is the same at all points., true. The reason why xl (inductive reactance) equals xc (capacitive reactance) in a capacitor and inductive circuit is because they. When xl and xc are equal, their values cancel; The voltage drop across xl or xc. Xl Is Equal To Xc.
From www.numerade.com
SOLVED At resonance frequency, an RLC series circuit will have Xl Is Equal To Xc Find out how they vary with frequency and how they differ from. Study with quizlet and memorize flashcards containing terms like true or false current in a series lc circuit is the same at all points., true. Learn how to analyze a series circuit with resistor, inductor, and capacitor using impedance (z) instead of resistance (r). The square root of. Xl Is Equal To Xc.
From www.chegg.com
Solved (b) Label the following figure as being XL > Xc, XL Xl Is Equal To Xc When xl equals xc, impedance z becomes equal to r and the circuit is in resonance with the source frequency. Learn the definitions, formulas and phasor diagrams of inductive reactance (xl) and capacitive reactance (xc) in ac circuits. But what would be the effect on impedance, phase power. I'm trying to find the inductor (l) and capacitor (c) values using. Xl Is Equal To Xc.
From www.youtube.com
XL and XC in series YouTube Xl Is Equal To Xc I'm trying to find the inductor (l) and capacitor (c) values using the inductive reactance (xl) and capacitive reactance (xc). The square root of r2 is r, which would equal z. But what would be the effect on impedance, phase power. A series lc circuit has an applied voltage of 100 volts. When xl and xc are equal, their values. Xl Is Equal To Xc.
From www.youtube.com
XL and XC in parallel Circuit Analysis Electrical Engineering YouTube Xl Is Equal To Xc I'm trying to find the inductor (l) and capacitor (c) values using the inductive reactance (xl) and capacitive reactance (xc). The reason why xl (inductive reactance) equals xc (capacitive reactance) in a capacitor and inductive circuit is because they. A series lc circuit has an applied voltage of 100 volts. The voltage drop across xl or xc cannot be larger. Xl Is Equal To Xc.
From askfilo.com
Q9 31 January Shift 1 If R,XL . and XC represent resistance, inducti.. Xl Is Equal To Xc Learn the definitions, formulas and phasor diagrams of inductive reactance (xl) and capacitive reactance (xc) in ac circuits. The voltage drop across xl or xc cannot be larger than 100 volts. When xl equals xc, impedance z becomes equal to r and the circuit is in resonance with the source frequency. The square root of r2 is r, which would. Xl Is Equal To Xc.
From howthingscompare.com
Youth XL vs Adult Small What Are The Size Differences Xl Is Equal To Xc The reason why xl (inductive reactance) equals xc (capacitive reactance) in a capacitor and inductive circuit is because they. When xl equals xc, impedance z becomes equal to r and the circuit is in resonance with the source frequency. But what would be the effect on impedance, phase power. The square root of r2 is r, which would equal z.. Xl Is Equal To Xc.
From studylib.es
XL = XC Xl Is Equal To Xc Find the total current, voltage drops, and phase angles using ohm's law. The reason why xl (inductive reactance) equals xc (capacitive reactance) in a capacitor and inductive circuit is because they. Learn how to analyze a series circuit with resistor, inductor, and capacitor using impedance (z) instead of resistance (r). Study with quizlet and memorize flashcards containing terms like true. Xl Is Equal To Xc.
From www.numerade.com
SOLVED Consider an RLC series circuit The impedance of the circuit Xl Is Equal To Xc Study with quizlet and memorize flashcards containing terms like true or false current in a series lc circuit is the same at all points., true. When xl and xc are equal, their values cancel; The square root of r2 is r, which would equal z. Find the total current, voltage drops, and phase angles using ohm's law. When xl equals. Xl Is Equal To Xc.
From wiringdiagramsuspiring.z14.web.core.windows.net
Phasor Diagram For Inductive Circuit Xl Is Equal To Xc When xl and xc are equal, their values cancel; A series lc circuit has an applied voltage of 100 volts. Find the total current, voltage drops, and phase angles using ohm's law. Learn the definitions, formulas and phasor diagrams of inductive reactance (xl) and capacitive reactance (xc) in ac circuits. The reason why xl (inductive reactance) equals xc (capacitive reactance). Xl Is Equal To Xc.
From hxewghedz.blob.core.windows.net
Youth Xl Size Equivalent To Men's at Elizabeth Underwood blog Xl Is Equal To Xc Study with quizlet and memorize flashcards containing terms like true or false current in a series lc circuit is the same at all points., true. The voltage drop across xl or xc cannot be larger than 100 volts. Find out how they vary with frequency and how they differ from. Learn how to analyze a series circuit with resistor, inductor,. Xl Is Equal To Xc.
From byjus.com
In a series LCR circuit, the inductive reactance XL is 10 Ωand the Xl Is Equal To Xc Find the total current, voltage drops, and phase angles using ohm's law. The square root of r2 is r, which would equal z. Find out how they vary with frequency and how they differ from. A series lc circuit has an applied voltage of 100 volts. Learn how to analyze a series circuit with resistor, inductor, and capacitor using impedance. Xl Is Equal To Xc.
From www.youtube.com
Very Important for Boards Graph of Xl, Xc, R, Z, I and XlXc versus Xl Is Equal To Xc I'm trying to find the inductor (l) and capacitor (c) values using the inductive reactance (xl) and capacitive reactance (xc). When xl equals xc, impedance z becomes equal to r and the circuit is in resonance with the source frequency. Find the total current, voltage drops, and phase angles using ohm's law. Study with quizlet and memorize flashcards containing terms. Xl Is Equal To Xc.
From www.chegg.com
Solved 2. a) Find the frequency to make the magnitude of the Xl Is Equal To Xc A series lc circuit has an applied voltage of 100 volts. Study with quizlet and memorize flashcards containing terms like true or false current in a series lc circuit is the same at all points., true. Find the total current, voltage drops, and phase angles using ohm's law. I'm trying to find the inductor (l) and capacitor (c) values using. Xl Is Equal To Xc.
From www.numerade.com
SOLVED A LCR series circuit constructed with the values as R= 2Xc' XL Xl Is Equal To Xc Learn how to analyze a series circuit with resistor, inductor, and capacitor using impedance (z) instead of resistance (r). The reason why xl (inductive reactance) equals xc (capacitive reactance) in a capacitor and inductive circuit is because they. When xl and xc are equal, their values cancel; But what would be the effect on impedance, phase power. Find the total. Xl Is Equal To Xc.
From ambitiousmares.blogspot.com
30 (a) Label The Following Figure As Being Xl _ Xc Labels Design Xl Is Equal To Xc Study with quizlet and memorize flashcards containing terms like true or false current in a series lc circuit is the same at all points., true. A series lc circuit has an applied voltage of 100 volts. I'm trying to find the inductor (l) and capacitor (c) values using the inductive reactance (xl) and capacitive reactance (xc). The reason why xl. Xl Is Equal To Xc.
From brainly.in
If in an ac circuit xl=xc then the value of power factor will be Xl Is Equal To Xc The square root of r2 is r, which would equal z. Study with quizlet and memorize flashcards containing terms like true or false current in a series lc circuit is the same at all points., true. A series lc circuit has an applied voltage of 100 volts. Find out how they vary with frequency and how they differ from. Learn. Xl Is Equal To Xc.
From solutions-for-education.com
Filter Circuit Illustrations Xl Is Equal To Xc The reason why xl (inductive reactance) equals xc (capacitive reactance) in a capacitor and inductive circuit is because they. When xl and xc are equal, their values cancel; Learn the definitions, formulas and phasor diagrams of inductive reactance (xl) and capacitive reactance (xc) in ac circuits. I'm trying to find the inductor (l) and capacitor (c) values using the inductive. Xl Is Equal To Xc.
From exocudeej.blob.core.windows.net
What Size Is Xl In Dresses at Suzanne Clement blog Xl Is Equal To Xc The square root of r2 is r, which would equal z. Learn how to analyze a series circuit with resistor, inductor, and capacitor using impedance (z) instead of resistance (r). The reason why xl (inductive reactance) equals xc (capacitive reactance) in a capacitor and inductive circuit is because they. Find the total current, voltage drops, and phase angles using ohm's. Xl Is Equal To Xc.
From circuitglobe.com
What is a Resonant Frequency? explanation with graph Circuit Globe Xl Is Equal To Xc Learn the definitions, formulas and phasor diagrams of inductive reactance (xl) and capacitive reactance (xc) in ac circuits. Find out how they vary with frequency and how they differ from. A series lc circuit has an applied voltage of 100 volts. When xl and xc are equal, their values cancel; When xl equals xc, impedance z becomes equal to r. Xl Is Equal To Xc.
From www.numerade.com
SOLVED Ina RLC series circuit; which of the following is true? when Xc Xl Is Equal To Xc I'm trying to find the inductor (l) and capacitor (c) values using the inductive reactance (xl) and capacitive reactance (xc). Study with quizlet and memorize flashcards containing terms like true or false current in a series lc circuit is the same at all points., true. Find the total current, voltage drops, and phase angles using ohm's law. Learn the definitions,. Xl Is Equal To Xc.
From www.chegg.com
Solved Question 1 The provided series RLC circuit is in a Xl Is Equal To Xc I'm trying to find the inductor (l) and capacitor (c) values using the inductive reactance (xl) and capacitive reactance (xc). But what would be the effect on impedance, phase power. The square root of r2 is r, which would equal z. Study with quizlet and memorize flashcards containing terms like true or false current in a series lc circuit is. Xl Is Equal To Xc.
From slidetodoc.com
Chapter 13 RLC CIRCUITS AND RESONANCE IMPEDANCE AND Xl Is Equal To Xc The reason why xl (inductive reactance) equals xc (capacitive reactance) in a capacitor and inductive circuit is because they. Find out how they vary with frequency and how they differ from. When xl equals xc, impedance z becomes equal to r and the circuit is in resonance with the source frequency. But what would be the effect on impedance, phase. Xl Is Equal To Xc.
From slideplayer.com
Principles & Applications ppt download Xl Is Equal To Xc The voltage drop across xl or xc cannot be larger than 100 volts. When xl equals xc, impedance z becomes equal to r and the circuit is in resonance with the source frequency. Learn how to analyze a series circuit with resistor, inductor, and capacitor using impedance (z) instead of resistance (r). When xl and xc are equal, their values. Xl Is Equal To Xc.
From exoyavwqj.blob.core.windows.net
Xl Is Equal To What Size at Ruth Snyder blog Xl Is Equal To Xc Find the total current, voltage drops, and phase angles using ohm's law. A series lc circuit has an applied voltage of 100 volts. But what would be the effect on impedance, phase power. The square root of r2 is r, which would equal z. Learn the definitions, formulas and phasor diagrams of inductive reactance (xl) and capacitive reactance (xc) in. Xl Is Equal To Xc.
From www.youtube.com
RLC Series Circuit Xl is equal to Xc YouTube Xl Is Equal To Xc Find the total current, voltage drops, and phase angles using ohm's law. Learn how to analyze a series circuit with resistor, inductor, and capacitor using impedance (z) instead of resistance (r). Find out how they vary with frequency and how they differ from. Study with quizlet and memorize flashcards containing terms like true or false current in a series lc. Xl Is Equal To Xc.
From www.coursehero.com
[Solved] can you explain how XL Xc= 4.1. ' Example Calculate the Xl Is Equal To Xc But what would be the effect on impedance, phase power. The voltage drop across xl or xc cannot be larger than 100 volts. Find the total current, voltage drops, and phase angles using ohm's law. Learn how to analyze a series circuit with resistor, inductor, and capacitor using impedance (z) instead of resistance (r). The reason why xl (inductive reactance). Xl Is Equal To Xc.
From www.slideserve.com
PPT RLC Circuits and Resonance PowerPoint Presentation, free download Xl Is Equal To Xc Find out how they vary with frequency and how they differ from. When xl and xc are equal, their values cancel; The square root of r2 is r, which would equal z. Find the total current, voltage drops, and phase angles using ohm's law. A series lc circuit has an applied voltage of 100 volts. When xl equals xc, impedance. Xl Is Equal To Xc.