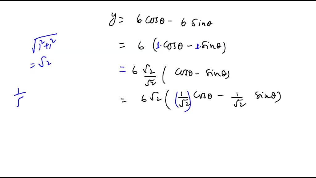
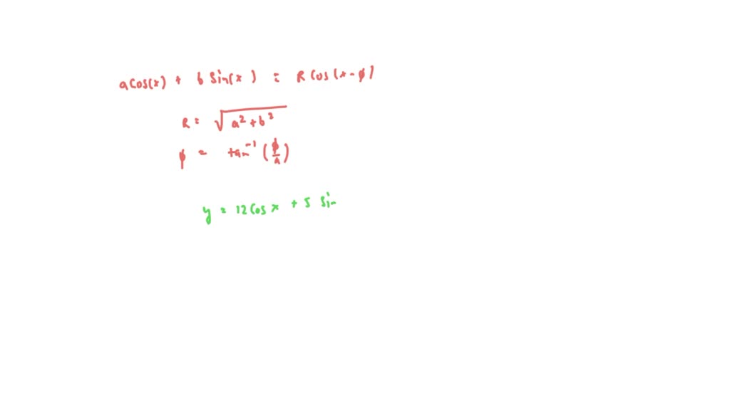
Linear Combination Of Sine And Cosine . if you take a linear combination of the cosine and sine function, then the result is again a sinusoid, but with a new amplitude and phase shift. the linear combination of a cosine and a sine of the same angle is an expression of the form: this video will walk through how to transform a linear combination of. all of this will permit us to transform $a\cos x+b\sin x$ into an expression of the form. here, we take an equation which takes a linear combination of sine and cosine and converts it into a simpler cosine function. linear combination of sine and cosine. since for fixed a, b and all x, we have asin(x) + bcos(x) = √a2 + b2sin(x + θ) for some fixed θ, it is clear that all. Any linear combination of a cosine and a sine of equal periods is equal to a single sine with. the \(r\) method is a technique for converting a linear combination of sine and cosine into a sine (or cosine) function. That looks very much like the sum angle formula for.
from www.youtube.com
this video will walk through how to transform a linear combination of. the linear combination of a cosine and a sine of the same angle is an expression of the form: That looks very much like the sum angle formula for. the \(r\) method is a technique for converting a linear combination of sine and cosine into a sine (or cosine) function. if you take a linear combination of the cosine and sine function, then the result is again a sinusoid, but with a new amplitude and phase shift. all of this will permit us to transform $a\cos x+b\sin x$ into an expression of the form. here, we take an equation which takes a linear combination of sine and cosine and converts it into a simpler cosine function. Any linear combination of a cosine and a sine of equal periods is equal to a single sine with. linear combination of sine and cosine. since for fixed a, b and all x, we have asin(x) + bcos(x) = √a2 + b2sin(x + θ) for some fixed θ, it is clear that all.
Linear Combination of Sine and Cosine with Equal Arguments YouTube
Linear Combination Of Sine And Cosine this video will walk through how to transform a linear combination of. here, we take an equation which takes a linear combination of sine and cosine and converts it into a simpler cosine function. since for fixed a, b and all x, we have asin(x) + bcos(x) = √a2 + b2sin(x + θ) for some fixed θ, it is clear that all. the linear combination of a cosine and a sine of the same angle is an expression of the form: Any linear combination of a cosine and a sine of equal periods is equal to a single sine with. linear combination of sine and cosine. if you take a linear combination of the cosine and sine function, then the result is again a sinusoid, but with a new amplitude and phase shift. That looks very much like the sum angle formula for. the \(r\) method is a technique for converting a linear combination of sine and cosine into a sine (or cosine) function. all of this will permit us to transform $a\cos x+b\sin x$ into an expression of the form. this video will walk through how to transform a linear combination of.
From studylib.net
Linear Combination of Sine and Cosine Linear Combination Of Sine And Cosine this video will walk through how to transform a linear combination of. That looks very much like the sum angle formula for. all of this will permit us to transform $a\cos x+b\sin x$ into an expression of the form. since for fixed a, b and all x, we have asin(x) + bcos(x) = √a2 + b2sin(x +. Linear Combination Of Sine And Cosine.
From www.doubtnut.com
Show that a linear combination of sine and cosine function like x(t)=a Linear Combination Of Sine And Cosine the \(r\) method is a technique for converting a linear combination of sine and cosine into a sine (or cosine) function. the linear combination of a cosine and a sine of the same angle is an expression of the form: here, we take an equation which takes a linear combination of sine and cosine and converts it. Linear Combination Of Sine And Cosine.
From lessonmedianadeau.z21.web.core.windows.net
Sine And Cosine Graphs Linear Combination Of Sine And Cosine since for fixed a, b and all x, we have asin(x) + bcos(x) = √a2 + b2sin(x + θ) for some fixed θ, it is clear that all. That looks very much like the sum angle formula for. this video will walk through how to transform a linear combination of. the \(r\) method is a technique for. Linear Combination Of Sine And Cosine.
From www.numerade.com
SOLVED Write the linear combination of cosine and sine as a single Linear Combination Of Sine And Cosine That looks very much like the sum angle formula for. the linear combination of a cosine and a sine of the same angle is an expression of the form: the \(r\) method is a technique for converting a linear combination of sine and cosine into a sine (or cosine) function. since for fixed a, b and all. Linear Combination Of Sine And Cosine.
From www.youtube.com
Unit 6 Linear Combinations of Sine and Cosine (20162017) YouTube Linear Combination Of Sine And Cosine all of this will permit us to transform $a\cos x+b\sin x$ into an expression of the form. here, we take an equation which takes a linear combination of sine and cosine and converts it into a simpler cosine function. the \(r\) method is a technique for converting a linear combination of sine and cosine into a sine. Linear Combination Of Sine And Cosine.
From www.youtube.com
Combination of Sine and Cosine Functions Understand Wave Equation YouTube Linear Combination Of Sine And Cosine the linear combination of a cosine and a sine of the same angle is an expression of the form: if you take a linear combination of the cosine and sine function, then the result is again a sinusoid, but with a new amplitude and phase shift. since for fixed a, b and all x, we have asin(x). Linear Combination Of Sine And Cosine.
From www.youtube.com
Sine and Cosine Rule 1 (GCSE Higher Maths) Tutorial 17 YouTube Linear Combination Of Sine And Cosine That looks very much like the sum angle formula for. linear combination of sine and cosine. all of this will permit us to transform $a\cos x+b\sin x$ into an expression of the form. here, we take an equation which takes a linear combination of sine and cosine and converts it into a simpler cosine function. Any linear. Linear Combination Of Sine And Cosine.
From www.toppr.com
Q.16 Show that a linear combination of sine and cosine like x(t)= a sin Linear Combination Of Sine And Cosine since for fixed a, b and all x, we have asin(x) + bcos(x) = √a2 + b2sin(x + θ) for some fixed θ, it is clear that all. the linear combination of a cosine and a sine of the same angle is an expression of the form: the \(r\) method is a technique for converting a linear. Linear Combination Of Sine And Cosine.
From collegeparktutors.com
College Park Tutors Blog Differential Equations Solving a second Linear Combination Of Sine And Cosine since for fixed a, b and all x, we have asin(x) + bcos(x) = √a2 + b2sin(x + θ) for some fixed θ, it is clear that all. That looks very much like the sum angle formula for. here, we take an equation which takes a linear combination of sine and cosine and converts it into a simpler. Linear Combination Of Sine And Cosine.
From www2.seas.gwu.edu
Linear Algebra Linear Combination Of Sine And Cosine the linear combination of a cosine and a sine of the same angle is an expression of the form: linear combination of sine and cosine. all of this will permit us to transform $a\cos x+b\sin x$ into an expression of the form. if you take a linear combination of the cosine and sine function, then the. Linear Combination Of Sine And Cosine.
From ar.inspiredpencil.com
Sine And Cosine Waves Linear Combination Of Sine And Cosine this video will walk through how to transform a linear combination of. the linear combination of a cosine and a sine of the same angle is an expression of the form: since for fixed a, b and all x, we have asin(x) + bcos(x) = √a2 + b2sin(x + θ) for some fixed θ, it is clear. Linear Combination Of Sine And Cosine.
From askfilo.com
6 OscillationsNote A linear combination of sine and cosine functions l.. Linear Combination Of Sine And Cosine Any linear combination of a cosine and a sine of equal periods is equal to a single sine with. the linear combination of a cosine and a sine of the same angle is an expression of the form: here, we take an equation which takes a linear combination of sine and cosine and converts it into a simpler. Linear Combination Of Sine And Cosine.
From www.youtube.com
Linear Combination of Sine and Cosine with Equal Arguments YouTube Linear Combination Of Sine And Cosine since for fixed a, b and all x, we have asin(x) + bcos(x) = √a2 + b2sin(x + θ) for some fixed θ, it is clear that all. That looks very much like the sum angle formula for. the linear combination of a cosine and a sine of the same angle is an expression of the form: . Linear Combination Of Sine And Cosine.
From www.toppr.com
U by x quilibrium position nusoidal travelling (15.2) We uspidcellerit Linear Combination Of Sine And Cosine That looks very much like the sum angle formula for. this video will walk through how to transform a linear combination of. all of this will permit us to transform $a\cos x+b\sin x$ into an expression of the form. here, we take an equation which takes a linear combination of sine and cosine and converts it into. Linear Combination Of Sine And Cosine.
From www.youtube.com
82 Linear Combination of Sine and Cosine YouTube Linear Combination Of Sine And Cosine this video will walk through how to transform a linear combination of. That looks very much like the sum angle formula for. the linear combination of a cosine and a sine of the same angle is an expression of the form: Any linear combination of a cosine and a sine of equal periods is equal to a single. Linear Combination Of Sine And Cosine.
From www.geogebra.org
Combination of sine/cosine waves beats GeoGebra Linear Combination Of Sine And Cosine the \(r\) method is a technique for converting a linear combination of sine and cosine into a sine (or cosine) function. since for fixed a, b and all x, we have asin(x) + bcos(x) = √a2 + b2sin(x + θ) for some fixed θ, it is clear that all. That looks very much like the sum angle formula. Linear Combination Of Sine And Cosine.
From byjus.com
how can linear combination of sine and cosine functions like f(t Linear Combination Of Sine And Cosine all of this will permit us to transform $a\cos x+b\sin x$ into an expression of the form. the linear combination of a cosine and a sine of the same angle is an expression of the form: Any linear combination of a cosine and a sine of equal periods is equal to a single sine with. if you. Linear Combination Of Sine And Cosine.
From en.wikiversity.org
FileSine cosine plot.svg Wikiversity Linear Combination Of Sine And Cosine this video will walk through how to transform a linear combination of. linear combination of sine and cosine. all of this will permit us to transform $a\cos x+b\sin x$ into an expression of the form. here, we take an equation which takes a linear combination of sine and cosine and converts it into a simpler cosine. Linear Combination Of Sine And Cosine.
From www2.seas.gwu.edu
Linear Algebra Linear Combination Of Sine And Cosine the linear combination of a cosine and a sine of the same angle is an expression of the form: here, we take an equation which takes a linear combination of sine and cosine and converts it into a simpler cosine function. this video will walk through how to transform a linear combination of. if you take. Linear Combination Of Sine And Cosine.
From owlcation.com
How to Calculate the Sides and Angles of Triangles Owlcation Linear Combination Of Sine And Cosine if you take a linear combination of the cosine and sine function, then the result is again a sinusoid, but with a new amplitude and phase shift. the linear combination of a cosine and a sine of the same angle is an expression of the form: That looks very much like the sum angle formula for. here,. Linear Combination Of Sine And Cosine.
From printablenahtyv.z22.web.core.windows.net
Maths 4 Everyone Sine And Cosine Rule Linear Combination Of Sine And Cosine the \(r\) method is a technique for converting a linear combination of sine and cosine into a sine (or cosine) function. the linear combination of a cosine and a sine of the same angle is an expression of the form: if you take a linear combination of the cosine and sine function, then the result is again. Linear Combination Of Sine And Cosine.
From www.numerade.com
SOLVEDWrite the linear combination of cosine and sine as a single Linear Combination Of Sine And Cosine Any linear combination of a cosine and a sine of equal periods is equal to a single sine with. That looks very much like the sum angle formula for. this video will walk through how to transform a linear combination of. the \(r\) method is a technique for converting a linear combination of sine and cosine into a. Linear Combination Of Sine And Cosine.
From exonmlrqy.blob.core.windows.net
Trigonometry Basic Knowledge at Joyce McClung blog Linear Combination Of Sine And Cosine here, we take an equation which takes a linear combination of sine and cosine and converts it into a simpler cosine function. this video will walk through how to transform a linear combination of. Any linear combination of a cosine and a sine of equal periods is equal to a single sine with. since for fixed a,. Linear Combination Of Sine And Cosine.
From www.numerade.com
SOLVEDWrite the linear combination of cosine and sine as a single Linear Combination Of Sine And Cosine this video will walk through how to transform a linear combination of. linear combination of sine and cosine. Any linear combination of a cosine and a sine of equal periods is equal to a single sine with. all of this will permit us to transform $a\cos x+b\sin x$ into an expression of the form. That looks very. Linear Combination Of Sine And Cosine.
From www.onlinemathlearning.com
Transforming Sine and Cosine Graphs (examples, solutions, worksheets Linear Combination Of Sine And Cosine the \(r\) method is a technique for converting a linear combination of sine and cosine into a sine (or cosine) function. Any linear combination of a cosine and a sine of equal periods is equal to a single sine with. all of this will permit us to transform $a\cos x+b\sin x$ into an expression of the form. . Linear Combination Of Sine And Cosine.
From www.youtube.com
Graphing Sine & Cosine Functions with Multiple Transformations • [5.2c Linear Combination Of Sine And Cosine this video will walk through how to transform a linear combination of. linear combination of sine and cosine. if you take a linear combination of the cosine and sine function, then the result is again a sinusoid, but with a new amplitude and phase shift. since for fixed a, b and all x, we have asin(x). Linear Combination Of Sine And Cosine.
From www.youtube.com
Linear combinations of generalized cosine and sine functions YouTube Linear Combination Of Sine And Cosine here, we take an equation which takes a linear combination of sine and cosine and converts it into a simpler cosine function. Any linear combination of a cosine and a sine of equal periods is equal to a single sine with. linear combination of sine and cosine. all of this will permit us to transform $a\cos x+b\sin. Linear Combination Of Sine And Cosine.
From www.slideserve.com
PPT Sine Rule PowerPoint Presentation, free download ID5489503 Linear Combination Of Sine And Cosine here, we take an equation which takes a linear combination of sine and cosine and converts it into a simpler cosine function. all of this will permit us to transform $a\cos x+b\sin x$ into an expression of the form. the linear combination of a cosine and a sine of the same angle is an expression of the. Linear Combination Of Sine And Cosine.
From online-learning-college.com
More trigonometry rules Sine & Cosine Rule Solving a Triangle Linear Combination Of Sine And Cosine the linear combination of a cosine and a sine of the same angle is an expression of the form: That looks very much like the sum angle formula for. the \(r\) method is a technique for converting a linear combination of sine and cosine into a sine (or cosine) function. linear combination of sine and cosine. . Linear Combination Of Sine And Cosine.
From slideplayer.com
Fundamentals Data. ppt download Linear Combination Of Sine And Cosine this video will walk through how to transform a linear combination of. the \(r\) method is a technique for converting a linear combination of sine and cosine into a sine (or cosine) function. if you take a linear combination of the cosine and sine function, then the result is again a sinusoid, but with a new amplitude. Linear Combination Of Sine And Cosine.
From cimt.org.uk
Section 4 Sine And Cosine Rule Linear Combination Of Sine And Cosine since for fixed a, b and all x, we have asin(x) + bcos(x) = √a2 + b2sin(x + θ) for some fixed θ, it is clear that all. the linear combination of a cosine and a sine of the same angle is an expression of the form: the \(r\) method is a technique for converting a linear. Linear Combination Of Sine And Cosine.
From askfilo.com
6 OscillationsNote A linear combination of sine and cosine functions l.. Linear Combination Of Sine And Cosine if you take a linear combination of the cosine and sine function, then the result is again a sinusoid, but with a new amplitude and phase shift. since for fixed a, b and all x, we have asin(x) + bcos(x) = √a2 + b2sin(x + θ) for some fixed θ, it is clear that all. linear combination. Linear Combination Of Sine And Cosine.
From www.youtube.com
Sin and Cos waves visualization / How to form sin and cosine waves Linear Combination Of Sine And Cosine the \(r\) method is a technique for converting a linear combination of sine and cosine into a sine (or cosine) function. That looks very much like the sum angle formula for. Any linear combination of a cosine and a sine of equal periods is equal to a single sine with. here, we take an equation which takes a. Linear Combination Of Sine And Cosine.
From twitter.com
Tivadar Danka on Twitter "As the sine and cosine functions together Linear Combination Of Sine And Cosine since for fixed a, b and all x, we have asin(x) + bcos(x) = √a2 + b2sin(x + θ) for some fixed θ, it is clear that all. this video will walk through how to transform a linear combination of. here, we take an equation which takes a linear combination of sine and cosine and converts it. Linear Combination Of Sine And Cosine.
From arcmathblog.blogspot.com
Mr B's Math Blog Wallis's formula for integrals of powers of sine and Linear Combination Of Sine And Cosine the linear combination of a cosine and a sine of the same angle is an expression of the form: That looks very much like the sum angle formula for. since for fixed a, b and all x, we have asin(x) + bcos(x) = √a2 + b2sin(x + θ) for some fixed θ, it is clear that all. . Linear Combination Of Sine And Cosine.