Basis For All 3X3 Matrices . the vector space of all $3 x 3$ matrices is not $r^3$. understand the basis theorem. Zeros everywhere and only a one in the i,j position) but add the identity matrix to. in this video i will find basis=? let $v$ be the set of all symmetric $3 \times 3$ matrices. (recall that $v$ is a subspace of $m_{3\times. Basis for a column space, basis for a null space, basis of a span. For a 3x3 matrix a and eigenvalue=1. The number of vectors in any basis of v is called the dimension of v, and is written dim v. for (b), use the standard basis (i.e. Let us now look at an example illustrating how to obtain bases for the row space, null space, and column space. Let v be a subspace of r n. You can verify that the space has dimension $9$ because. Basis of a subspace of \ (\mathbb.
from www.chegg.com
let $v$ be the set of all symmetric $3 \times 3$ matrices. understand the basis theorem. Let v be a subspace of r n. Basis for a column space, basis for a null space, basis of a span. Basis of a subspace of \ (\mathbb. for (b), use the standard basis (i.e. For a 3x3 matrix a and eigenvalue=1. The number of vectors in any basis of v is called the dimension of v, and is written dim v. Zeros everywhere and only a one in the i,j position) but add the identity matrix to. Let us now look at an example illustrating how to obtain bases for the row space, null space, and column space.
Solved Let M33 be the vector space of all 3 3 matrices with
Basis For All 3X3 Matrices let $v$ be the set of all symmetric $3 \times 3$ matrices. Let v be a subspace of r n. For a 3x3 matrix a and eigenvalue=1. the vector space of all $3 x 3$ matrices is not $r^3$. in this video i will find basis=? Let us now look at an example illustrating how to obtain bases for the row space, null space, and column space. let $v$ be the set of all symmetric $3 \times 3$ matrices. Zeros everywhere and only a one in the i,j position) but add the identity matrix to. You can verify that the space has dimension $9$ because. understand the basis theorem. Basis of a subspace of \ (\mathbb. The number of vectors in any basis of v is called the dimension of v, and is written dim v. Basis for a column space, basis for a null space, basis of a span. (recall that $v$ is a subspace of $m_{3\times. for (b), use the standard basis (i.e.
From www.slideserve.com
PPT Inverting 3x3 Matrices PowerPoint Presentation, free download Basis For All 3X3 Matrices Basis for a column space, basis for a null space, basis of a span. understand the basis theorem. (recall that $v$ is a subspace of $m_{3\times. For a 3x3 matrix a and eigenvalue=1. You can verify that the space has dimension $9$ because. for (b), use the standard basis (i.e. Let us now look at an example illustrating. Basis For All 3X3 Matrices.
From www.youtube.com
Matrix (3x3)/Eigenvalues and Eigenvectors / YouTube Basis For All 3X3 Matrices For a 3x3 matrix a and eigenvalue=1. in this video i will find basis=? Zeros everywhere and only a one in the i,j position) but add the identity matrix to. Let us now look at an example illustrating how to obtain bases for the row space, null space, and column space. Basis of a subspace of \ (\mathbb. The. Basis For All 3X3 Matrices.
From www.youtube.com
How to Multiply Matrices A 3x3 Matrix by a 3x3 Matrix YouTube Basis For All 3X3 Matrices for (b), use the standard basis (i.e. Basis of a subspace of \ (\mathbb. Let v be a subspace of r n. let $v$ be the set of all symmetric $3 \times 3$ matrices. understand the basis theorem. in this video i will find basis=? the vector space of all $3 x 3$ matrices is. Basis For All 3X3 Matrices.
From www.youtube.com
Multiplying 3x3 Matrices YouTube Basis For All 3X3 Matrices Basis of a subspace of \ (\mathbb. the vector space of all $3 x 3$ matrices is not $r^3$. Basis for a column space, basis for a null space, basis of a span. in this video i will find basis=? You can verify that the space has dimension $9$ because. understand the basis theorem. The number of. Basis For All 3X3 Matrices.
From math.wonderhowto.com
How to Use eigenvectors & eigenspaces for a 3x3 matrix « Math Basis For All 3X3 Matrices let $v$ be the set of all symmetric $3 \times 3$ matrices. You can verify that the space has dimension $9$ because. Let us now look at an example illustrating how to obtain bases for the row space, null space, and column space. Let v be a subspace of r n. The number of vectors in any basis of. Basis For All 3X3 Matrices.
From noticia.do
Cómo calcular el determinante de una matriz 3x3 Guía práctica y fácil Basis For All 3X3 Matrices (recall that $v$ is a subspace of $m_{3\times. for (b), use the standard basis (i.e. For a 3x3 matrix a and eigenvalue=1. Let v be a subspace of r n. The number of vectors in any basis of v is called the dimension of v, and is written dim v. Basis for a column space, basis for a null. Basis For All 3X3 Matrices.
From www.youtube.com
Inverse of a 3x3 matrix (using elementary row operations) YouTube Basis For All 3X3 Matrices let $v$ be the set of all symmetric $3 \times 3$ matrices. Basis for a column space, basis for a null space, basis of a span. Zeros everywhere and only a one in the i,j position) but add the identity matrix to. in this video i will find basis=? (recall that $v$ is a subspace of $m_{3\times. Let. Basis For All 3X3 Matrices.
From www.youtube.com
Find the Determinant of a 3x3 Matrix YouTube Basis For All 3X3 Matrices for (b), use the standard basis (i.e. Basis of a subspace of \ (\mathbb. The number of vectors in any basis of v is called the dimension of v, and is written dim v. Let v be a subspace of r n. Basis for a column space, basis for a null space, basis of a span. let $v$. Basis For All 3X3 Matrices.
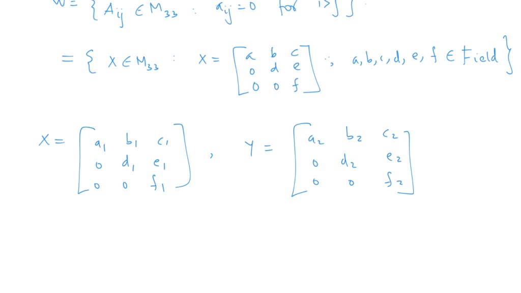
From www.numerade.com
SOLVED M33 is the vector space of all 3x3 matrices. Let W be the set Basis For All 3X3 Matrices Let v be a subspace of r n. in this video i will find basis=? let $v$ be the set of all symmetric $3 \times 3$ matrices. For a 3x3 matrix a and eigenvalue=1. The number of vectors in any basis of v is called the dimension of v, and is written dim v. You can verify that. Basis For All 3X3 Matrices.
From www.chegg.com
Solved Question 5 (2 points) Let A be a 3x3 matrix with Basis For All 3X3 Matrices Zeros everywhere and only a one in the i,j position) but add the identity matrix to. You can verify that the space has dimension $9$ because. Basis for a column space, basis for a null space, basis of a span. for (b), use the standard basis (i.e. For a 3x3 matrix a and eigenvalue=1. the vector space of. Basis For All 3X3 Matrices.
From www.youtube.com
How To Multiply Matrices 3x3 by 3x3 Easy Trick YouTube Basis For All 3X3 Matrices Zeros everywhere and only a one in the i,j position) but add the identity matrix to. For a 3x3 matrix a and eigenvalue=1. (recall that $v$ is a subspace of $m_{3\times. The number of vectors in any basis of v is called the dimension of v, and is written dim v. Basis of a subspace of \ (\mathbb. in. Basis For All 3X3 Matrices.
From math.stackexchange.com
linear algebra How to calculate a transition matrix beetween 2 basis Basis For All 3X3 Matrices in this video i will find basis=? Let us now look at an example illustrating how to obtain bases for the row space, null space, and column space. Zeros everywhere and only a one in the i,j position) but add the identity matrix to. understand the basis theorem. The number of vectors in any basis of v is. Basis For All 3X3 Matrices.
From www.studypool.com
SOLUTION Examples 3x3 matrix Studypool Basis For All 3X3 Matrices the vector space of all $3 x 3$ matrices is not $r^3$. The number of vectors in any basis of v is called the dimension of v, and is written dim v. let $v$ be the set of all symmetric $3 \times 3$ matrices. Let v be a subspace of r n. in this video i will. Basis For All 3X3 Matrices.
From www.youtube.com
How To Find The Determinant of a 3x3 Matrix YouTube Basis For All 3X3 Matrices Basis for a column space, basis for a null space, basis of a span. in this video i will find basis=? You can verify that the space has dimension $9$ because. let $v$ be the set of all symmetric $3 \times 3$ matrices. for (b), use the standard basis (i.e. For a 3x3 matrix a and eigenvalue=1.. Basis For All 3X3 Matrices.
From www.youtube.com
Chapter 123A video 3 Determinant of a 3x3 Matrix YouTube Basis For All 3X3 Matrices Let us now look at an example illustrating how to obtain bases for the row space, null space, and column space. Basis of a subspace of \ (\mathbb. Let v be a subspace of r n. For a 3x3 matrix a and eigenvalue=1. for (b), use the standard basis (i.e. You can verify that the space has dimension $9$. Basis For All 3X3 Matrices.
From www.numerade.com
SOLVED Find a basis of the space V of all symmetric 3x3 matrices, and Basis For All 3X3 Matrices the vector space of all $3 x 3$ matrices is not $r^3$. The number of vectors in any basis of v is called the dimension of v, and is written dim v. Basis of a subspace of \ (\mathbb. for (b), use the standard basis (i.e. For a 3x3 matrix a and eigenvalue=1. let $v$ be the. Basis For All 3X3 Matrices.
From www.chegg.com
Solved Let M33 be the vector space of all 3 3 matrices with Basis For All 3X3 Matrices You can verify that the space has dimension $9$ because. Zeros everywhere and only a one in the i,j position) but add the identity matrix to. Let us now look at an example illustrating how to obtain bases for the row space, null space, and column space. let $v$ be the set of all symmetric $3 \times 3$ matrices.. Basis For All 3X3 Matrices.
From www.youtube.com
Determinant of 3x3 Matrices, 2x2 Matrix, Precalculus Video Tutorial Basis For All 3X3 Matrices the vector space of all $3 x 3$ matrices is not $r^3$. You can verify that the space has dimension $9$ because. (recall that $v$ is a subspace of $m_{3\times. let $v$ be the set of all symmetric $3 \times 3$ matrices. in this video i will find basis=? The number of vectors in any basis of. Basis For All 3X3 Matrices.
From ar.inspiredpencil.com
Matrix Multiplication 3x3 Basis For All 3X3 Matrices (recall that $v$ is a subspace of $m_{3\times. let $v$ be the set of all symmetric $3 \times 3$ matrices. For a 3x3 matrix a and eigenvalue=1. for (b), use the standard basis (i.e. You can verify that the space has dimension $9$ because. in this video i will find basis=? the vector space of all. Basis For All 3X3 Matrices.
From www.youtube.com
How to Evaluate the Determinant of a 3x3 Matrix Quick & Easy Method Basis For All 3X3 Matrices the vector space of all $3 x 3$ matrices is not $r^3$. Zeros everywhere and only a one in the i,j position) but add the identity matrix to. let $v$ be the set of all symmetric $3 \times 3$ matrices. The number of vectors in any basis of v is called the dimension of v, and is written. Basis For All 3X3 Matrices.
From www.solutioninn.com
[Solved] n 1. Consider the 3x3 matrix la) For each SolutionInn Basis For All 3X3 Matrices (recall that $v$ is a subspace of $m_{3\times. You can verify that the space has dimension $9$ because. for (b), use the standard basis (i.e. Let v be a subspace of r n. let $v$ be the set of all symmetric $3 \times 3$ matrices. the vector space of all $3 x 3$ matrices is not $r^3$.. Basis For All 3X3 Matrices.
From www.numerade.com
SOLVED M33 is the vector space of all 3x3 matrices. Let W be the set Basis For All 3X3 Matrices Basis of a subspace of \ (\mathbb. The number of vectors in any basis of v is called the dimension of v, and is written dim v. Zeros everywhere and only a one in the i,j position) but add the identity matrix to. the vector space of all $3 x 3$ matrices is not $r^3$. You can verify that. Basis For All 3X3 Matrices.
From www.youtube.com
Linear Algebra 25 Inverse of 3x3 Matrix YouTube Basis For All 3X3 Matrices Zeros everywhere and only a one in the i,j position) but add the identity matrix to. in this video i will find basis=? Let us now look at an example illustrating how to obtain bases for the row space, null space, and column space. (recall that $v$ is a subspace of $m_{3\times. for (b), use the standard basis. Basis For All 3X3 Matrices.
From www.youtube.com
Multiplication of Matrices How to Multiply Matrices 3x3 All Type Basis For All 3X3 Matrices let $v$ be the set of all symmetric $3 \times 3$ matrices. in this video i will find basis=? Basis for a column space, basis for a null space, basis of a span. understand the basis theorem. the vector space of all $3 x 3$ matrices is not $r^3$. Let v be a subspace of r. Basis For All 3X3 Matrices.
From www.youtube.com
Eigenvectors of a 3x3 matrix YouTube Basis For All 3X3 Matrices Zeros everywhere and only a one in the i,j position) but add the identity matrix to. Let us now look at an example illustrating how to obtain bases for the row space, null space, and column space. for (b), use the standard basis (i.e. the vector space of all $3 x 3$ matrices is not $r^3$. Basis for. Basis For All 3X3 Matrices.
From www.slideserve.com
PPT 3x3 matrices IB SL/HL maths PowerPoint Presentation, free Basis For All 3X3 Matrices The number of vectors in any basis of v is called the dimension of v, and is written dim v. understand the basis theorem. in this video i will find basis=? Basis for a column space, basis for a null space, basis of a span. You can verify that the space has dimension $9$ because. Zeros everywhere and. Basis For All 3X3 Matrices.
From www.youtube.com
Determinant of 3x3 Matrix YouTube Basis For All 3X3 Matrices Let v be a subspace of r n. For a 3x3 matrix a and eigenvalue=1. Basis of a subspace of \ (\mathbb. (recall that $v$ is a subspace of $m_{3\times. Basis for a column space, basis for a null space, basis of a span. Zeros everywhere and only a one in the i,j position) but add the identity matrix to.. Basis For All 3X3 Matrices.
From www.youtube.com
How to calculate transpose of 3x3 matrixtranspose of a matrix examples Basis For All 3X3 Matrices You can verify that the space has dimension $9$ because. The number of vectors in any basis of v is called the dimension of v, and is written dim v. (recall that $v$ is a subspace of $m_{3\times. Let v be a subspace of r n. Basis of a subspace of \ (\mathbb. let $v$ be the set of. Basis For All 3X3 Matrices.
From gamesungkaling.blogspot.com
3 Into 3 Matrix gamesunkaling Basis For All 3X3 Matrices For a 3x3 matrix a and eigenvalue=1. let $v$ be the set of all symmetric $3 \times 3$ matrices. the vector space of all $3 x 3$ matrices is not $r^3$. in this video i will find basis=? Zeros everywhere and only a one in the i,j position) but add the identity matrix to. (recall that $v$. Basis For All 3X3 Matrices.
From www.youtube.com
Determinant of a 3x3 Matrix YouTube Basis For All 3X3 Matrices Basis for a column space, basis for a null space, basis of a span. For a 3x3 matrix a and eigenvalue=1. (recall that $v$ is a subspace of $m_{3\times. in this video i will find basis=? Let us now look at an example illustrating how to obtain bases for the row space, null space, and column space. The number. Basis For All 3X3 Matrices.
From www.youtube.com
Diagonalize 3x3 matrix YouTube Basis For All 3X3 Matrices You can verify that the space has dimension $9$ because. Let us now look at an example illustrating how to obtain bases for the row space, null space, and column space. let $v$ be the set of all symmetric $3 \times 3$ matrices. Zeros everywhere and only a one in the i,j position) but add the identity matrix to.. Basis For All 3X3 Matrices.
From www.youtube.com
Determinant of 3x3 matrix YouTube Basis For All 3X3 Matrices You can verify that the space has dimension $9$ because. (recall that $v$ is a subspace of $m_{3\times. understand the basis theorem. For a 3x3 matrix a and eigenvalue=1. let $v$ be the set of all symmetric $3 \times 3$ matrices. Let v be a subspace of r n. in this video i will find basis=? The. Basis For All 3X3 Matrices.
From www.wikihow.com
How to Find the Determinant of a 3X3 Matrix 12 Steps wikiHow Basis For All 3X3 Matrices for (b), use the standard basis (i.e. Let v be a subspace of r n. (recall that $v$ is a subspace of $m_{3\times. let $v$ be the set of all symmetric $3 \times 3$ matrices. Basis of a subspace of \ (\mathbb. understand the basis theorem. Zeros everywhere and only a one in the i,j position) but. Basis For All 3X3 Matrices.
From www.numerade.com
SOLVED 5. Find basis and the dimensions for each of these subspaces of Basis For All 3X3 Matrices You can verify that the space has dimension $9$ because. in this video i will find basis=? Let v be a subspace of r n. for (b), use the standard basis (i.e. For a 3x3 matrix a and eigenvalue=1. Basis for a column space, basis for a null space, basis of a span. let $v$ be the. Basis For All 3X3 Matrices.
From pixelrz.com
3x3 Matrix Basis For All 3X3 Matrices (recall that $v$ is a subspace of $m_{3\times. Let us now look at an example illustrating how to obtain bases for the row space, null space, and column space. for (b), use the standard basis (i.e. Basis for a column space, basis for a null space, basis of a span. understand the basis theorem. the vector space. Basis For All 3X3 Matrices.