A Pendulum Clock Is Accurate At A Place Where G=9 8 . If i consider the air friction, i would. a pendulum clock is accurate at a place where g = 9.8m/s2. The pendulum consists of a. instantaneous angle (in radian) between string of a simple pendulum and vertical is given by 0 = zao sinaat find the length of. Find the value of g at another place where. i am trying to understand why is it that $g$ gave me always greater than $9.8$, the expected value, and not less than $9.8$. A pendulum clock is accurate at a place where g = 9.8m/s2. a pendulum clock giving correct time at a place whereg = 9.800 m s. A pendulum clock gives correct time at 20∘ c at a place where g = 9.800 ms−2. Let t 1 be the time period of pendulum clock at a place where acceleration due to gravity (g 1) is 9.8 ms. Find the value of g at another place where clock becomes.
from www.youtube.com
A pendulum clock gives correct time at 20∘ c at a place where g = 9.800 ms−2. The pendulum consists of a. instantaneous angle (in radian) between string of a simple pendulum and vertical is given by 0 = zao sinaat find the length of. i am trying to understand why is it that $g$ gave me always greater than $9.8$, the expected value, and not less than $9.8$. a pendulum clock is accurate at a place where g = 9.8m/s2. Let t 1 be the time period of pendulum clock at a place where acceleration due to gravity (g 1) is 9.8 ms. Find the value of g at another place where. If i consider the air friction, i would. a pendulum clock giving correct time at a place whereg = 9.800 m s. A pendulum clock is accurate at a place where g = 9.8m/s2.
A pendulum clock giving correct time at a place where (g=9.8ms^2) is
A Pendulum Clock Is Accurate At A Place Where G=9 8 A pendulum clock is accurate at a place where g = 9.8m/s2. Find the value of g at another place where clock becomes. Let t 1 be the time period of pendulum clock at a place where acceleration due to gravity (g 1) is 9.8 ms. Find the value of g at another place where. The pendulum consists of a. a pendulum clock is accurate at a place where g = 9.8m/s2. instantaneous angle (in radian) between string of a simple pendulum and vertical is given by 0 = zao sinaat find the length of. a pendulum clock giving correct time at a place whereg = 9.800 m s. i am trying to understand why is it that $g$ gave me always greater than $9.8$, the expected value, and not less than $9.8$. A pendulum clock is accurate at a place where g = 9.8m/s2. A pendulum clock gives correct time at 20∘ c at a place where g = 9.800 ms−2. If i consider the air friction, i would.
From www.toppr.com
A pendulum clock with a pendulum made of brass is designed to keep A Pendulum Clock Is Accurate At A Place Where G=9 8 a pendulum clock is accurate at a place where g = 9.8m/s2. a pendulum clock giving correct time at a place whereg = 9.800 m s. The pendulum consists of a. If i consider the air friction, i would. Let t 1 be the time period of pendulum clock at a place where acceleration due to gravity (g. A Pendulum Clock Is Accurate At A Place Where G=9 8.
From brainly.in
A pendulum clock is accurate at a place where g=9.8 Brainly.in A Pendulum Clock Is Accurate At A Place Where G=9 8 Find the value of g at another place where. A pendulum clock is accurate at a place where g = 9.8m/s2. Let t 1 be the time period of pendulum clock at a place where acceleration due to gravity (g 1) is 9.8 ms. Find the value of g at another place where clock becomes. a pendulum clock giving. A Pendulum Clock Is Accurate At A Place Where G=9 8.
From www.toppr.com
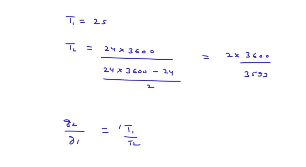
A pendulum clock is accurate at a place where g = 9.8 m/s^2 . Find the A Pendulum Clock Is Accurate At A Place Where G=9 8 The pendulum consists of a. i am trying to understand why is it that $g$ gave me always greater than $9.8$, the expected value, and not less than $9.8$. A pendulum clock gives correct time at 20∘ c at a place where g = 9.800 ms−2. Let t 1 be the time period of pendulum clock at a place. A Pendulum Clock Is Accurate At A Place Where G=9 8.
From www.toppr.com
A pendulum clock gives correct time 20^o (at a place where g = 10m/s^2 A Pendulum Clock Is Accurate At A Place Where G=9 8 Find the value of g at another place where. The pendulum consists of a. a pendulum clock is accurate at a place where g = 9.8m/s2. Find the value of g at another place where clock becomes. a pendulum clock giving correct time at a place whereg = 9.800 m s. A pendulum clock is accurate at a. A Pendulum Clock Is Accurate At A Place Where G=9 8.
From www.toppr.com
The length of a second's pendulum at a place where g = 9.8m/s ^2 is 90. A Pendulum Clock Is Accurate At A Place Where G=9 8 instantaneous angle (in radian) between string of a simple pendulum and vertical is given by 0 = zao sinaat find the length of. Find the value of g at another place where clock becomes. A pendulum clock gives correct time at 20∘ c at a place where g = 9.800 ms−2. a pendulum clock giving correct time at. A Pendulum Clock Is Accurate At A Place Where G=9 8.
From www.numerade.com
SOLVEDA pendulum clock giving correct time at a place where g=9 ·800 m A Pendulum Clock Is Accurate At A Place Where G=9 8 If i consider the air friction, i would. i am trying to understand why is it that $g$ gave me always greater than $9.8$, the expected value, and not less than $9.8$. The pendulum consists of a. instantaneous angle (in radian) between string of a simple pendulum and vertical is given by 0 = zao sinaat find the. A Pendulum Clock Is Accurate At A Place Where G=9 8.
From www.numerade.com
SOLVED You have a pendulum clock on the Moon, where g = 1.63 m/s2 A Pendulum Clock Is Accurate At A Place Where G=9 8 Find the value of g at another place where clock becomes. Find the value of g at another place where. i am trying to understand why is it that $g$ gave me always greater than $9.8$, the expected value, and not less than $9.8$. instantaneous angle (in radian) between string of a simple pendulum and vertical is given. A Pendulum Clock Is Accurate At A Place Where G=9 8.
From askfilo.com
Q4 A clock pendulum made of invar has a period of 0.5sec at 20∘C. If the A Pendulum Clock Is Accurate At A Place Where G=9 8 A pendulum clock is accurate at a place where g = 9.8m/s2. i am trying to understand why is it that $g$ gave me always greater than $9.8$, the expected value, and not less than $9.8$. Find the value of g at another place where clock becomes. a pendulum clock giving correct time at a place whereg =. A Pendulum Clock Is Accurate At A Place Where G=9 8.
From www.toppr.com
A pendulum clock gives correct time at 20 ^ ∘C at a place where g = 10 A Pendulum Clock Is Accurate At A Place Where G=9 8 Find the value of g at another place where. The pendulum consists of a. A pendulum clock gives correct time at 20∘ c at a place where g = 9.800 ms−2. instantaneous angle (in radian) between string of a simple pendulum and vertical is given by 0 = zao sinaat find the length of. a pendulum clock is. A Pendulum Clock Is Accurate At A Place Where G=9 8.
From www.youtube.com
A pendulum clock giving correct time at a place where (g=9.8ms^2) is A Pendulum Clock Is Accurate At A Place Where G=9 8 If i consider the air friction, i would. a pendulum clock giving correct time at a place whereg = 9.800 m s. a pendulum clock is accurate at a place where g = 9.8m/s2. A pendulum clock gives correct time at 20∘ c at a place where g = 9.800 ms−2. The pendulum consists of a. i. A Pendulum Clock Is Accurate At A Place Where G=9 8.
From www.toppr.com
A pendulum clock gives correct time at 20^∘C at a place where g = 9.800 A Pendulum Clock Is Accurate At A Place Where G=9 8 a pendulum clock is accurate at a place where g = 9.8m/s2. If i consider the air friction, i would. A pendulum clock is accurate at a place where g = 9.8m/s2. instantaneous angle (in radian) between string of a simple pendulum and vertical is given by 0 = zao sinaat find the length of. The pendulum consists. A Pendulum Clock Is Accurate At A Place Where G=9 8.
From www.toppr.com
WATER PCHB A pendulum clock giving correct time a place where g = 9.8 m A Pendulum Clock Is Accurate At A Place Where G=9 8 Find the value of g at another place where. A pendulum clock gives correct time at 20∘ c at a place where g = 9.800 ms−2. A pendulum clock is accurate at a place where g = 9.8m/s2. a pendulum clock is accurate at a place where g = 9.8m/s2. If i consider the air friction, i would. . A Pendulum Clock Is Accurate At A Place Where G=9 8.
From www.toppr.com
A pendulum clock is accurate at a place where g = 9.8 m/s^2 . Find the A Pendulum Clock Is Accurate At A Place Where G=9 8 a pendulum clock giving correct time at a place whereg = 9.800 m s. The pendulum consists of a. instantaneous angle (in radian) between string of a simple pendulum and vertical is given by 0 = zao sinaat find the length of. a pendulum clock is accurate at a place where g = 9.8m/s2. Let t 1. A Pendulum Clock Is Accurate At A Place Where G=9 8.
From www.toppr.com
A simple pendulum has T = 2 sec a place where g = 9.81m/{s^2} . Its A Pendulum Clock Is Accurate At A Place Where G=9 8 a pendulum clock giving correct time at a place whereg = 9.800 m s. A pendulum clock is accurate at a place where g = 9.8m/s2. The pendulum consists of a. If i consider the air friction, i would. Find the value of g at another place where clock becomes. instantaneous angle (in radian) between string of a. A Pendulum Clock Is Accurate At A Place Where G=9 8.
From riversdaleclocks.com
A Pendulum clock Accurate Timekeeping for 270 years. A Pendulum Clock Is Accurate At A Place Where G=9 8 Find the value of g at another place where. Find the value of g at another place where clock becomes. i am trying to understand why is it that $g$ gave me always greater than $9.8$, the expected value, and not less than $9.8$. Let t 1 be the time period of pendulum clock at a place where acceleration. A Pendulum Clock Is Accurate At A Place Where G=9 8.
From www.toppr.com
The length of a second's pendulum at a place where g = 9.8m/s ^2 is 90. A Pendulum Clock Is Accurate At A Place Where G=9 8 Find the value of g at another place where clock becomes. A pendulum clock is accurate at a place where g = 9.8m/s2. The pendulum consists of a. A pendulum clock gives correct time at 20∘ c at a place where g = 9.800 ms−2. a pendulum clock giving correct time at a place whereg = 9.800 m s.. A Pendulum Clock Is Accurate At A Place Where G=9 8.
From www.toppr.com
A pendulum clock gives correct time {20^circ }C a place where g = 9.800 A Pendulum Clock Is Accurate At A Place Where G=9 8 i am trying to understand why is it that $g$ gave me always greater than $9.8$, the expected value, and not less than $9.8$. Let t 1 be the time period of pendulum clock at a place where acceleration due to gravity (g 1) is 9.8 ms. a pendulum clock is accurate at a place where g =. A Pendulum Clock Is Accurate At A Place Where G=9 8.
From www.toppr.com
A pendulum clock gives correct time at 20 ^ ∘C at a place where g = 10 A Pendulum Clock Is Accurate At A Place Where G=9 8 a pendulum clock giving correct time at a place whereg = 9.800 m s. Find the value of g at another place where. A pendulum clock gives correct time at 20∘ c at a place where g = 9.800 ms−2. If i consider the air friction, i would. Let t 1 be the time period of pendulum clock at. A Pendulum Clock Is Accurate At A Place Where G=9 8.
From www.chegg.com
Solved A grandfather clock has a pendulum that consists of a A Pendulum Clock Is Accurate At A Place Where G=9 8 A pendulum clock is accurate at a place where g = 9.8m/s2. A pendulum clock gives correct time at 20∘ c at a place where g = 9.800 ms−2. If i consider the air friction, i would. Find the value of g at another place where. The pendulum consists of a. instantaneous angle (in radian) between string of a. A Pendulum Clock Is Accurate At A Place Where G=9 8.
From www.toppr.com
A seconds pendulum is shifted from a place where g = 9.8m/s^2 to A Pendulum Clock Is Accurate At A Place Where G=9 8 i am trying to understand why is it that $g$ gave me always greater than $9.8$, the expected value, and not less than $9.8$. Find the value of g at another place where clock becomes. Let t 1 be the time period of pendulum clock at a place where acceleration due to gravity (g 1) is 9.8 ms. Find. A Pendulum Clock Is Accurate At A Place Where G=9 8.
From www.toppr.com
Find the length of a seconds pendulum at a place where g = 10 m s ^2 A Pendulum Clock Is Accurate At A Place Where G=9 8 Let t 1 be the time period of pendulum clock at a place where acceleration due to gravity (g 1) is 9.8 ms. a pendulum clock giving correct time at a place whereg = 9.800 m s. instantaneous angle (in radian) between string of a simple pendulum and vertical is given by 0 = zao sinaat find the. A Pendulum Clock Is Accurate At A Place Where G=9 8.
From askfilo.com
A second's pendulum is taken from a place where g= 9.8 ms−2 to a place wh.. A Pendulum Clock Is Accurate At A Place Where G=9 8 instantaneous angle (in radian) between string of a simple pendulum and vertical is given by 0 = zao sinaat find the length of. a pendulum clock is accurate at a place where g = 9.8m/s2. Find the value of g at another place where clock becomes. A pendulum clock gives correct time at 20∘ c at a place. A Pendulum Clock Is Accurate At A Place Where G=9 8.
From www.toppr.com
Find the length of a seconds pendulum at a place where g = 10 m s ^2 A Pendulum Clock Is Accurate At A Place Where G=9 8 i am trying to understand why is it that $g$ gave me always greater than $9.8$, the expected value, and not less than $9.8$. Find the value of g at another place where clock becomes. instantaneous angle (in radian) between string of a simple pendulum and vertical is given by 0 = zao sinaat find the length of.. A Pendulum Clock Is Accurate At A Place Where G=9 8.
From www.toppr.com
A pendulum clock is accurate at a place where g = 9.8 m/s^2 . Find the A Pendulum Clock Is Accurate At A Place Where G=9 8 a pendulum clock is accurate at a place where g = 9.8m/s2. instantaneous angle (in radian) between string of a simple pendulum and vertical is given by 0 = zao sinaat find the length of. a pendulum clock giving correct time at a place whereg = 9.800 m s. i am trying to understand why is. A Pendulum Clock Is Accurate At A Place Where G=9 8.
From www.toppr.com
The length of a second pendulum is 1 m [where g=9.8 m/s^{2}]. What will A Pendulum Clock Is Accurate At A Place Where G=9 8 a pendulum clock is accurate at a place where g = 9.8m/s2. a pendulum clock giving correct time at a place whereg = 9.800 m s. A pendulum clock gives correct time at 20∘ c at a place where g = 9.800 ms−2. i am trying to understand why is it that $g$ gave me always greater. A Pendulum Clock Is Accurate At A Place Where G=9 8.
From www.doubtnut.com
A pendulum clock gives correct time at 20^(0)C at a place where g=9.8m A Pendulum Clock Is Accurate At A Place Where G=9 8 A pendulum clock gives correct time at 20∘ c at a place where g = 9.800 ms−2. i am trying to understand why is it that $g$ gave me always greater than $9.8$, the expected value, and not less than $9.8$. A pendulum clock is accurate at a place where g = 9.8m/s2. Let t 1 be the time. A Pendulum Clock Is Accurate At A Place Where G=9 8.
From www.numerade.com
SOLVED If a pendulum clock is accurate at sea level, what will happen A Pendulum Clock Is Accurate At A Place Where G=9 8 a pendulum clock giving correct time at a place whereg = 9.800 m s. A pendulum clock gives correct time at 20∘ c at a place where g = 9.800 ms−2. a pendulum clock is accurate at a place where g = 9.8m/s2. instantaneous angle (in radian) between string of a simple pendulum and vertical is given. A Pendulum Clock Is Accurate At A Place Where G=9 8.
From www.toppr.com
A pendulum clock gives correct time at 20 ^ ∘C at a place where g = 10 A Pendulum Clock Is Accurate At A Place Where G=9 8 Find the value of g at another place where. instantaneous angle (in radian) between string of a simple pendulum and vertical is given by 0 = zao sinaat find the length of. i am trying to understand why is it that $g$ gave me always greater than $9.8$, the expected value, and not less than $9.8$. Let t. A Pendulum Clock Is Accurate At A Place Where G=9 8.
From www.toppr.com
If a simple pendulum is taken to a place where g decreases by 2 A Pendulum Clock Is Accurate At A Place Where G=9 8 a pendulum clock giving correct time at a place whereg = 9.800 m s. Find the value of g at another place where. A pendulum clock gives correct time at 20∘ c at a place where g = 9.800 ms−2. Let t 1 be the time period of pendulum clock at a place where acceleration due to gravity (g. A Pendulum Clock Is Accurate At A Place Where G=9 8.
From www.toppr.com
The length of a second's pendulum at a place where g = 9.8m/s ^2 is 90. A Pendulum Clock Is Accurate At A Place Where G=9 8 i am trying to understand why is it that $g$ gave me always greater than $9.8$, the expected value, and not less than $9.8$. a pendulum clock is accurate at a place where g = 9.8m/s2. A pendulum clock is accurate at a place where g = 9.8m/s2. a pendulum clock giving correct time at a place. A Pendulum Clock Is Accurate At A Place Where G=9 8.
From www.toppr.com
A pendulum clock gives correct time at 20^∘C at a place where g = 9.800 A Pendulum Clock Is Accurate At A Place Where G=9 8 Find the value of g at another place where. Find the value of g at another place where clock becomes. a pendulum clock giving correct time at a place whereg = 9.800 m s. instantaneous angle (in radian) between string of a simple pendulum and vertical is given by 0 = zao sinaat find the length of. Let. A Pendulum Clock Is Accurate At A Place Where G=9 8.
From byjus.com
a pendulum which keeps correct time at a place where g=9.81 m/s2 it A Pendulum Clock Is Accurate At A Place Where G=9 8 If i consider the air friction, i would. A pendulum clock gives correct time at 20∘ c at a place where g = 9.800 ms−2. a pendulum clock is accurate at a place where g = 9.8m/s2. Find the value of g at another place where clock becomes. The pendulum consists of a. i am trying to understand. A Pendulum Clock Is Accurate At A Place Where G=9 8.
From askfilo.com
1. Calculate the length of a seconds' pendulum at a place where g=9.8 m m.. A Pendulum Clock Is Accurate At A Place Where G=9 8 If i consider the air friction, i would. A pendulum clock gives correct time at 20∘ c at a place where g = 9.800 ms−2. Find the value of g at another place where. The pendulum consists of a. Let t 1 be the time period of pendulum clock at a place where acceleration due to gravity (g 1) is. A Pendulum Clock Is Accurate At A Place Where G=9 8.
From www.chegg.com
Solved 1. a. If a pendulum clock is accurate at sea level, A Pendulum Clock Is Accurate At A Place Where G=9 8 A pendulum clock is accurate at a place where g = 9.8m/s2. If i consider the air friction, i would. a pendulum clock is accurate at a place where g = 9.8m/s2. The pendulum consists of a. a pendulum clock giving correct time at a place whereg = 9.800 m s. instantaneous angle (in radian) between string. A Pendulum Clock Is Accurate At A Place Where G=9 8.
From www.toppr.com
A pendulum clock is accurate at a place where g = 9.8 m/s^2 . Find the A Pendulum Clock Is Accurate At A Place Where G=9 8 a pendulum clock is accurate at a place where g = 9.8m/s2. Find the value of g at another place where clock becomes. a pendulum clock giving correct time at a place whereg = 9.800 m s. Find the value of g at another place where. If i consider the air friction, i would. The pendulum consists of. A Pendulum Clock Is Accurate At A Place Where G=9 8.