Confirmation Test For Ag+ . This type of analysis falls under the general category of. The use of ascorbic acid (vitamin c) to reduce aqueous diamminesilver (i) chloride is suggested. — it will react with hot concentrated h2so4 h 2 so 4, with hno3 hno 3, and with aqua regia. To then apply this scheme to. — confirmatory tests should be performed on separate solutions of some of your ions, in order to see what these tests. it is extremely useful to know how to detect the presence of specific ions in an aqueous solution. — to follow a classic analytical scheme to separate and identify the ions in a known mixture of group i cations. — the real confirmation is adding acetic acid followed by lead acetate to the yellow solution which gives a pale yellow. Here the ammonia uses the lone pair.
from www.slideserve.com
To then apply this scheme to. — confirmatory tests should be performed on separate solutions of some of your ions, in order to see what these tests. — to follow a classic analytical scheme to separate and identify the ions in a known mixture of group i cations. This type of analysis falls under the general category of. — it will react with hot concentrated h2so4 h 2 so 4, with hno3 hno 3, and with aqua regia. Here the ammonia uses the lone pair. it is extremely useful to know how to detect the presence of specific ions in an aqueous solution. — the real confirmation is adding acetic acid followed by lead acetate to the yellow solution which gives a pale yellow. The use of ascorbic acid (vitamin c) to reduce aqueous diamminesilver (i) chloride is suggested.
PPT FORENSIC DRUG ANALYSIS PowerPoint Presentation ID5110687
Confirmation Test For Ag+ — the real confirmation is adding acetic acid followed by lead acetate to the yellow solution which gives a pale yellow. This type of analysis falls under the general category of. it is extremely useful to know how to detect the presence of specific ions in an aqueous solution. The use of ascorbic acid (vitamin c) to reduce aqueous diamminesilver (i) chloride is suggested. — confirmatory tests should be performed on separate solutions of some of your ions, in order to see what these tests. — to follow a classic analytical scheme to separate and identify the ions in a known mixture of group i cations. Here the ammonia uses the lone pair. — it will react with hot concentrated h2so4 h 2 so 4, with hno3 hno 3, and with aqua regia. — the real confirmation is adding acetic acid followed by lead acetate to the yellow solution which gives a pale yellow. To then apply this scheme to.
From canadianmro.ca
Screening and confirmation tests explained Canadian MRO Confirmation Test For Ag+ it is extremely useful to know how to detect the presence of specific ions in an aqueous solution. — it will react with hot concentrated h2so4 h 2 so 4, with hno3 hno 3, and with aqua regia. — confirmatory tests should be performed on separate solutions of some of your ions, in order to see what. Confirmation Test For Ag+.
From www.researchgate.net
Different Biochemical confirmation test (a) positive and negative Confirmation Test For Ag+ The use of ascorbic acid (vitamin c) to reduce aqueous diamminesilver (i) chloride is suggested. it is extremely useful to know how to detect the presence of specific ions in an aqueous solution. To then apply this scheme to. — to follow a classic analytical scheme to separate and identify the ions in a known mixture of group. Confirmation Test For Ag+.
From www.semanticscholar.org
Table 2 from Efficacy Confirmation Test of Black Cumin (Nigella sativa Confirmation Test For Ag+ Here the ammonia uses the lone pair. — the real confirmation is adding acetic acid followed by lead acetate to the yellow solution which gives a pale yellow. — confirmatory tests should be performed on separate solutions of some of your ions, in order to see what these tests. it is extremely useful to know how to. Confirmation Test For Ag+.
From meridiandiaglabs.com
How Long Can Drugs Be Detected In Urine Drug Screens & Confirmation Confirmation Test For Ag+ To then apply this scheme to. — it will react with hot concentrated h2so4 h 2 so 4, with hno3 hno 3, and with aqua regia. — confirmatory tests should be performed on separate solutions of some of your ions, in order to see what these tests. The use of ascorbic acid (vitamin c) to reduce aqueous diamminesilver. Confirmation Test For Ag+.
From www.scribd.com
Controlled Test 1 Confirmation Letter 412405 Test (Assessment Confirmation Test For Ag+ — it will react with hot concentrated h2so4 h 2 so 4, with hno3 hno 3, and with aqua regia. To then apply this scheme to. it is extremely useful to know how to detect the presence of specific ions in an aqueous solution. — the real confirmation is adding acetic acid followed by lead acetate to. Confirmation Test For Ag+.
From studylib.net
Essure Confirmation Test Checklist (Example) Confirmation Test For Ag+ — to follow a classic analytical scheme to separate and identify the ions in a known mixture of group i cations. — the real confirmation is adding acetic acid followed by lead acetate to the yellow solution which gives a pale yellow. Here the ammonia uses the lone pair. — it will react with hot concentrated h2so4. Confirmation Test For Ag+.
From www.chegg.com
E. Group I Cations present in unknownB. Test for Confirmation Test For Ag+ To then apply this scheme to. — the real confirmation is adding acetic acid followed by lead acetate to the yellow solution which gives a pale yellow. The use of ascorbic acid (vitamin c) to reduce aqueous diamminesilver (i) chloride is suggested. it is extremely useful to know how to detect the presence of specific ions in an. Confirmation Test For Ag+.
From www.numerade.com
SOLVED Prelab 8 Worksheet Qualitative Analysis of Cations Confirmation Test For Ag+ The use of ascorbic acid (vitamin c) to reduce aqueous diamminesilver (i) chloride is suggested. — confirmatory tests should be performed on separate solutions of some of your ions, in order to see what these tests. Here the ammonia uses the lone pair. it is extremely useful to know how to detect the presence of specific ions in. Confirmation Test For Ag+.
From www.softwaretestingmaterial.com
What is Confirmation testing in Software? Confirmation Test For Ag+ Here the ammonia uses the lone pair. To then apply this scheme to. — confirmatory tests should be performed on separate solutions of some of your ions, in order to see what these tests. — the real confirmation is adding acetic acid followed by lead acetate to the yellow solution which gives a pale yellow. This type of. Confirmation Test For Ag+.
From www.numerade.com
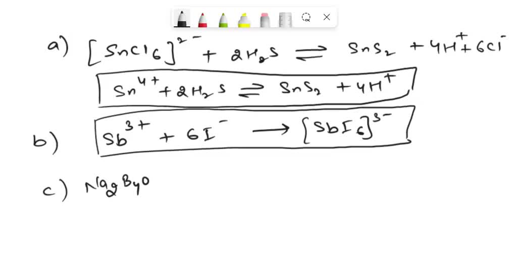
SOLVED 2. Write a balanced net ionic equation for the following Confirmation Test For Ag+ To then apply this scheme to. This type of analysis falls under the general category of. it is extremely useful to know how to detect the presence of specific ions in an aqueous solution. — it will react with hot concentrated h2so4 h 2 so 4, with hno3 hno 3, and with aqua regia. Here the ammonia uses. Confirmation Test For Ag+.
From www.researchgate.net
Confirmation test for best combination for surface hardness in EDM Confirmation Test For Ag+ it is extremely useful to know how to detect the presence of specific ions in an aqueous solution. The use of ascorbic acid (vitamin c) to reduce aqueous diamminesilver (i) chloride is suggested. — the real confirmation is adding acetic acid followed by lead acetate to the yellow solution which gives a pale yellow. — to follow. Confirmation Test For Ag+.
From www.nagwa.com
Question Video Determining the Confirmatory Test For an Anion in an Confirmation Test For Ag+ — to follow a classic analytical scheme to separate and identify the ions in a known mixture of group i cations. — it will react with hot concentrated h2so4 h 2 so 4, with hno3 hno 3, and with aqua regia. The use of ascorbic acid (vitamin c) to reduce aqueous diamminesilver (i) chloride is suggested. —. Confirmation Test For Ag+.
From www.researchgate.net
The double disc synergy test for ESBL confirmation. Download Confirmation Test For Ag+ — confirmatory tests should be performed on separate solutions of some of your ions, in order to see what these tests. — it will react with hot concentrated h2so4 h 2 so 4, with hno3 hno 3, and with aqua regia. it is extremely useful to know how to detect the presence of specific ions in an. Confirmation Test For Ag+.
From www.softwaretestingmaterial.com
How To Write Good Bug Report Software Testing Material Confirmation Test For Ag+ it is extremely useful to know how to detect the presence of specific ions in an aqueous solution. To then apply this scheme to. — confirmatory tests should be performed on separate solutions of some of your ions, in order to see what these tests. — it will react with hot concentrated h2so4 h 2 so 4,. Confirmation Test For Ag+.
From www.numerade.com
SOLVED Write the balanced molecular equations (include all counter Confirmation Test For Ag+ it is extremely useful to know how to detect the presence of specific ions in an aqueous solution. Here the ammonia uses the lone pair. — to follow a classic analytical scheme to separate and identify the ions in a known mixture of group i cations. This type of analysis falls under the general category of. —. Confirmation Test For Ag+.
From www.numerade.com
SOLVED A solution contains Ag+, Pb2+, Cu2+, Fe2+, and Zn2+. Prepare a Confirmation Test For Ag+ — to follow a classic analytical scheme to separate and identify the ions in a known mixture of group i cations. — the real confirmation is adding acetic acid followed by lead acetate to the yellow solution which gives a pale yellow. — confirmatory tests should be performed on separate solutions of some of your ions, in. Confirmation Test For Ag+.
From www.youtube.com
Case Study Order Confirmation Page A/B Test YouTube Confirmation Test For Ag+ — it will react with hot concentrated h2so4 h 2 so 4, with hno3 hno 3, and with aqua regia. — to follow a classic analytical scheme to separate and identify the ions in a known mixture of group i cations. — the real confirmation is adding acetic acid followed by lead acetate to the yellow solution. Confirmation Test For Ag+.
From www.researchgate.net
Confirmation test flow chart. Download Scientific Diagram Confirmation Test For Ag+ The use of ascorbic acid (vitamin c) to reduce aqueous diamminesilver (i) chloride is suggested. — confirmatory tests should be performed on separate solutions of some of your ions, in order to see what these tests. — the real confirmation is adding acetic acid followed by lead acetate to the yellow solution which gives a pale yellow. . Confirmation Test For Ag+.
From www.scribd.com
Confirmation of Entry and Timetable Computer Based Preliminary English Confirmation Test For Ag+ — confirmatory tests should be performed on separate solutions of some of your ions, in order to see what these tests. Here the ammonia uses the lone pair. it is extremely useful to know how to detect the presence of specific ions in an aqueous solution. — to follow a classic analytical scheme to separate and identify. Confirmation Test For Ag+.
From www.slideserve.com
PPT Forensic Analysis of Drugs Drug Categories PowerPoint Confirmation Test For Ag+ — confirmatory tests should be performed on separate solutions of some of your ions, in order to see what these tests. The use of ascorbic acid (vitamin c) to reduce aqueous diamminesilver (i) chloride is suggested. To then apply this scheme to. it is extremely useful to know how to detect the presence of specific ions in an. Confirmation Test For Ag+.
From en.ppt-online.org
Test approaches, levels, types online presentation Confirmation Test For Ag+ — the real confirmation is adding acetic acid followed by lead acetate to the yellow solution which gives a pale yellow. it is extremely useful to know how to detect the presence of specific ions in an aqueous solution. This type of analysis falls under the general category of. To then apply this scheme to. — it. Confirmation Test For Ag+.
From www.chegg.com
Solved Part A Confirmation Tests Experimental Observations Confirmation Test For Ag+ — to follow a classic analytical scheme to separate and identify the ions in a known mixture of group i cations. This type of analysis falls under the general category of. To then apply this scheme to. Here the ammonia uses the lone pair. — confirmatory tests should be performed on separate solutions of some of your ions,. Confirmation Test For Ag+.
From askfilo.com
TEST FEEDBACK Q.25 SINGLE CHOICE For the reaction Ag(CN)2− (aq)⇌Ag+(aq) t.. Confirmation Test For Ag+ The use of ascorbic acid (vitamin c) to reduce aqueous diamminesilver (i) chloride is suggested. — to follow a classic analytical scheme to separate and identify the ions in a known mixture of group i cations. — it will react with hot concentrated h2so4 h 2 so 4, with hno3 hno 3, and with aqua regia. To then. Confirmation Test For Ag+.
From www.slideserve.com
PPT FORENSIC DRUG ANALYSIS PowerPoint Presentation ID5110687 Confirmation Test For Ag+ To then apply this scheme to. — confirmatory tests should be performed on separate solutions of some of your ions, in order to see what these tests. Here the ammonia uses the lone pair. The use of ascorbic acid (vitamin c) to reduce aqueous diamminesilver (i) chloride is suggested. — to follow a classic analytical scheme to separate. Confirmation Test For Ag+.
From www.chegg.com
Solved A solution contains some or all of the following Confirmation Test For Ag+ it is extremely useful to know how to detect the presence of specific ions in an aqueous solution. To then apply this scheme to. Here the ammonia uses the lone pair. — it will react with hot concentrated h2so4 h 2 so 4, with hno3 hno 3, and with aqua regia. — the real confirmation is adding. Confirmation Test For Ag+.
From www.researchgate.net
(PDF) Unproctored Test Verification Using Adaptive Confirmation Test For Ag+ To then apply this scheme to. — it will react with hot concentrated h2so4 h 2 so 4, with hno3 hno 3, and with aqua regia. — confirmatory tests should be performed on separate solutions of some of your ions, in order to see what these tests. — to follow a classic analytical scheme to separate and. Confirmation Test For Ag+.
From www.youtube.com
Confirmation Testing(Hindi) YouTube Confirmation Test For Ag+ This type of analysis falls under the general category of. — to follow a classic analytical scheme to separate and identify the ions in a known mixture of group i cations. The use of ascorbic acid (vitamin c) to reduce aqueous diamminesilver (i) chloride is suggested. Here the ammonia uses the lone pair. — the real confirmation is. Confirmation Test For Ag+.
From www.researchgate.net
Final diagnosis and means of confirmation Download Table Confirmation Test For Ag+ Here the ammonia uses the lone pair. — to follow a classic analytical scheme to separate and identify the ions in a known mixture of group i cations. — it will react with hot concentrated h2so4 h 2 so 4, with hno3 hno 3, and with aqua regia. — confirmatory tests should be performed on separate solutions. Confirmation Test For Ag+.
From www.slideserve.com
PPT PART 3 PowerPoint Presentation, free download ID477671 Confirmation Test For Ag+ To then apply this scheme to. — to follow a classic analytical scheme to separate and identify the ions in a known mixture of group i cations. Here the ammonia uses the lone pair. — confirmatory tests should be performed on separate solutions of some of your ions, in order to see what these tests. The use of. Confirmation Test For Ag+.
From www.researchgate.net
Confirmation test for estimated and actual grey relational grade Confirmation Test For Ag+ This type of analysis falls under the general category of. — the real confirmation is adding acetic acid followed by lead acetate to the yellow solution which gives a pale yellow. — to follow a classic analytical scheme to separate and identify the ions in a known mixture of group i cations. — confirmatory tests should be. Confirmation Test For Ag+.
From slideplayer.com
WLTPELab Sub Group Progress report WLTPDTPELabProc ppt download Confirmation Test For Ag+ Here the ammonia uses the lone pair. To then apply this scheme to. The use of ascorbic acid (vitamin c) to reduce aqueous diamminesilver (i) chloride is suggested. — to follow a classic analytical scheme to separate and identify the ions in a known mixture of group i cations. — the real confirmation is adding acetic acid followed. Confirmation Test For Ag+.
From oneclass.com
OneClass To test for Ag+ 1. add 2 drops 6M HCl to 1 mL of unknown Confirmation Test For Ag+ — confirmatory tests should be performed on separate solutions of some of your ions, in order to see what these tests. The use of ascorbic acid (vitamin c) to reduce aqueous diamminesilver (i) chloride is suggested. it is extremely useful to know how to detect the presence of specific ions in an aqueous solution. To then apply this. Confirmation Test For Ag+.
From www.youtube.com
What is Confirmation Testing Meaning of Confirmation Testing Confirmation Test For Ag+ Here the ammonia uses the lone pair. The use of ascorbic acid (vitamin c) to reduce aqueous diamminesilver (i) chloride is suggested. To then apply this scheme to. — it will react with hot concentrated h2so4 h 2 so 4, with hno3 hno 3, and with aqua regia. This type of analysis falls under the general category of. . Confirmation Test For Ag+.
From www.researchgate.net
Confirmation test flow chart. Download Scientific Diagram Confirmation Test For Ag+ — confirmatory tests should be performed on separate solutions of some of your ions, in order to see what these tests. — it will react with hot concentrated h2so4 h 2 so 4, with hno3 hno 3, and with aqua regia. Here the ammonia uses the lone pair. it is extremely useful to know how to detect. Confirmation Test For Ag+.
From support.master-hr.com
How do I use the ACE confirmation test? Confirmation Test For Ag+ — to follow a classic analytical scheme to separate and identify the ions in a known mixture of group i cations. it is extremely useful to know how to detect the presence of specific ions in an aqueous solution. — the real confirmation is adding acetic acid followed by lead acetate to the yellow solution which gives. Confirmation Test For Ag+.