Copper Atomic Number Of Neutrons . Copper is the 29th element in the periodic table and has a symbol of cu and atomic number of 29. 1083.0 °c (1356.15 k, 1981.4 °f) boiling point: The number of protons in the nucleus is called the atomic number (z) and is the property that defines an atom’s elemental. It has an atomic weight of 63.546 and a mass. Subtracting the atomic number from the mass number reveals that the common copper isotope (mass number 63) has 34 neutrons. Copper is a chemical element with atomic number 29 which means there are 29 protons in its nucleus. Copper is a chemical element with atomic number 29 which means there are 29 protons in its nucleus. Sources, facts, uses, scarcity (sri), podcasts, alchemical symbols,. Total number of protons in the nucleus is called the atomic number of the atom and is given the symbol z.
from www.nuclear-power.com
Sources, facts, uses, scarcity (sri), podcasts, alchemical symbols,. Copper is a chemical element with atomic number 29 which means there are 29 protons in its nucleus. It has an atomic weight of 63.546 and a mass. Total number of protons in the nucleus is called the atomic number of the atom and is given the symbol z. Subtracting the atomic number from the mass number reveals that the common copper isotope (mass number 63) has 34 neutrons. Copper is a chemical element with atomic number 29 which means there are 29 protons in its nucleus. 1083.0 °c (1356.15 k, 1981.4 °f) boiling point: Copper is the 29th element in the periodic table and has a symbol of cu and atomic number of 29. The number of protons in the nucleus is called the atomic number (z) and is the property that defines an atom’s elemental.
Iron Atomic Number Atomic Mass Density of Iron
Copper Atomic Number Of Neutrons Sources, facts, uses, scarcity (sri), podcasts, alchemical symbols,. Subtracting the atomic number from the mass number reveals that the common copper isotope (mass number 63) has 34 neutrons. Copper is a chemical element with atomic number 29 which means there are 29 protons in its nucleus. Copper is a chemical element with atomic number 29 which means there are 29 protons in its nucleus. The number of protons in the nucleus is called the atomic number (z) and is the property that defines an atom’s elemental. Sources, facts, uses, scarcity (sri), podcasts, alchemical symbols,. Copper is the 29th element in the periodic table and has a symbol of cu and atomic number of 29. It has an atomic weight of 63.546 and a mass. Total number of protons in the nucleus is called the atomic number of the atom and is given the symbol z. 1083.0 °c (1356.15 k, 1981.4 °f) boiling point:
From reviewhomedecor.co
Copper Periodic Table Protons And Neutrons Review Home Decor Copper Atomic Number Of Neutrons Subtracting the atomic number from the mass number reveals that the common copper isotope (mass number 63) has 34 neutrons. It has an atomic weight of 63.546 and a mass. Total number of protons in the nucleus is called the atomic number of the atom and is given the symbol z. The number of protons in the nucleus is called. Copper Atomic Number Of Neutrons.
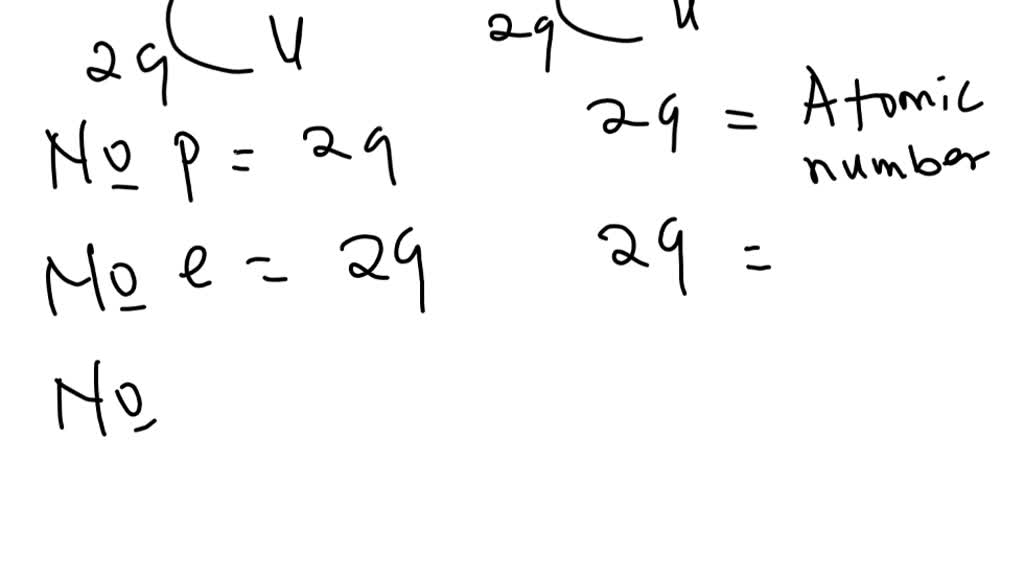
From www.youtube.com
How to find the Number of Protons, Electrons, Neutrons for Copper (Cu) YouTube Copper Atomic Number Of Neutrons Copper is the 29th element in the periodic table and has a symbol of cu and atomic number of 29. Sources, facts, uses, scarcity (sri), podcasts, alchemical symbols,. Copper is a chemical element with atomic number 29 which means there are 29 protons in its nucleus. Copper is a chemical element with atomic number 29 which means there are 29. Copper Atomic Number Of Neutrons.
From www.alamy.com
3d render of atom structure of copper isolated over white background Protons are represented as Copper Atomic Number Of Neutrons The number of protons in the nucleus is called the atomic number (z) and is the property that defines an atom’s elemental. Copper is a chemical element with atomic number 29 which means there are 29 protons in its nucleus. Total number of protons in the nucleus is called the atomic number of the atom and is given the symbol. Copper Atomic Number Of Neutrons.
From techiescientist.com
Is Copper an Element? Techiescientist Copper Atomic Number Of Neutrons Subtracting the atomic number from the mass number reveals that the common copper isotope (mass number 63) has 34 neutrons. Sources, facts, uses, scarcity (sri), podcasts, alchemical symbols,. 1083.0 °c (1356.15 k, 1981.4 °f) boiling point: Copper is a chemical element with atomic number 29 which means there are 29 protons in its nucleus. It has an atomic weight of. Copper Atomic Number Of Neutrons.
From www.alamy.com
Cu Copper Chemical Element Periodic Table. Single vector illustration, colorful Icon with molar Copper Atomic Number Of Neutrons Subtracting the atomic number from the mass number reveals that the common copper isotope (mass number 63) has 34 neutrons. Copper is a chemical element with atomic number 29 which means there are 29 protons in its nucleus. Copper is the 29th element in the periodic table and has a symbol of cu and atomic number of 29. 1083.0 °c. Copper Atomic Number Of Neutrons.
From pngtree.com
Chemical Properties Of Copper Atomic Number Atomic Mass And Chemical Symbol Vector, Math Copper Atomic Number Of Neutrons Sources, facts, uses, scarcity (sri), podcasts, alchemical symbols,. The number of protons in the nucleus is called the atomic number (z) and is the property that defines an atom’s elemental. Copper is the 29th element in the periodic table and has a symbol of cu and atomic number of 29. Subtracting the atomic number from the mass number reveals that. Copper Atomic Number Of Neutrons.
From slideplayer.com
Atomic Number, Mass Number, and Isotopes ppt download Copper Atomic Number Of Neutrons The number of protons in the nucleus is called the atomic number (z) and is the property that defines an atom’s elemental. Copper is a chemical element with atomic number 29 which means there are 29 protons in its nucleus. It has an atomic weight of 63.546 and a mass. Copper is a chemical element with atomic number 29 which. Copper Atomic Number Of Neutrons.
From nice-electronic.blogspot.com
Copper 64 Protons Neutrons Electrons Copper Atomic Number Of Neutrons Subtracting the atomic number from the mass number reveals that the common copper isotope (mass number 63) has 34 neutrons. The number of protons in the nucleus is called the atomic number (z) and is the property that defines an atom’s elemental. Copper is a chemical element with atomic number 29 which means there are 29 protons in its nucleus.. Copper Atomic Number Of Neutrons.
From reviewhomedecor.co
Copper Periodic Table Protons And Neutrons Review Home Decor Copper Atomic Number Of Neutrons The number of protons in the nucleus is called the atomic number (z) and is the property that defines an atom’s elemental. Copper is a chemical element with atomic number 29 which means there are 29 protons in its nucleus. Total number of protons in the nucleus is called the atomic number of the atom and is given the symbol. Copper Atomic Number Of Neutrons.
From www.vectorstock.com
Symbol and electron diagram for copper Royalty Free Vector Copper Atomic Number Of Neutrons Sources, facts, uses, scarcity (sri), podcasts, alchemical symbols,. The number of protons in the nucleus is called the atomic number (z) and is the property that defines an atom’s elemental. Total number of protons in the nucleus is called the atomic number of the atom and is given the symbol z. Copper is a chemical element with atomic number 29. Copper Atomic Number Of Neutrons.
From www.wikihow.com
How to Find the Number of Neutrons in an Atom 11 Steps Copper Atomic Number Of Neutrons Copper is a chemical element with atomic number 29 which means there are 29 protons in its nucleus. Copper is a chemical element with atomic number 29 which means there are 29 protons in its nucleus. Copper is the 29th element in the periodic table and has a symbol of cu and atomic number of 29. Subtracting the atomic number. Copper Atomic Number Of Neutrons.
From mybios.me
Copper Periodic Table Protons Neutrons And Electrons Bios Pics Copper Atomic Number Of Neutrons The number of protons in the nucleus is called the atomic number (z) and is the property that defines an atom’s elemental. Total number of protons in the nucleus is called the atomic number of the atom and is given the symbol z. Copper is the 29th element in the periodic table and has a symbol of cu and atomic. Copper Atomic Number Of Neutrons.
From www.linuxfriends.net
Solar Energy Introduction Course Copper Atomic Number Of Neutrons Copper is a chemical element with atomic number 29 which means there are 29 protons in its nucleus. Total number of protons in the nucleus is called the atomic number of the atom and is given the symbol z. The number of protons in the nucleus is called the atomic number (z) and is the property that defines an atom’s. Copper Atomic Number Of Neutrons.
From www.alamy.com
Copper atom hires stock photography and images Alamy Copper Atomic Number Of Neutrons Copper is a chemical element with atomic number 29 which means there are 29 protons in its nucleus. Total number of protons in the nucleus is called the atomic number of the atom and is given the symbol z. 1083.0 °c (1356.15 k, 1981.4 °f) boiling point: Copper is a chemical element with atomic number 29 which means there are. Copper Atomic Number Of Neutrons.
From material-properties.org
Copper Periodic Table and Atomic Properties Copper Atomic Number Of Neutrons Sources, facts, uses, scarcity (sri), podcasts, alchemical symbols,. Copper is a chemical element with atomic number 29 which means there are 29 protons in its nucleus. Subtracting the atomic number from the mass number reveals that the common copper isotope (mass number 63) has 34 neutrons. Total number of protons in the nucleus is called the atomic number of the. Copper Atomic Number Of Neutrons.
From periodictableguide.com
Copper (Cu) Periodic Table (Element Information & More) Copper Atomic Number Of Neutrons Copper is a chemical element with atomic number 29 which means there are 29 protons in its nucleus. Subtracting the atomic number from the mass number reveals that the common copper isotope (mass number 63) has 34 neutrons. Sources, facts, uses, scarcity (sri), podcasts, alchemical symbols,. 1083.0 °c (1356.15 k, 1981.4 °f) boiling point: It has an atomic weight of. Copper Atomic Number Of Neutrons.
From awesomehome.co
Copper Periodic Table Protons Neutrons And Electrons Awesome Home Copper Atomic Number Of Neutrons Sources, facts, uses, scarcity (sri), podcasts, alchemical symbols,. Copper is a chemical element with atomic number 29 which means there are 29 protons in its nucleus. Copper is the 29th element in the periodic table and has a symbol of cu and atomic number of 29. It has an atomic weight of 63.546 and a mass. The number of protons. Copper Atomic Number Of Neutrons.
From mybios.me
Copper Periodic Table Protons Neutrons And Electrons Bios Pics Copper Atomic Number Of Neutrons Sources, facts, uses, scarcity (sri), podcasts, alchemical symbols,. Total number of protons in the nucleus is called the atomic number of the atom and is given the symbol z. 1083.0 °c (1356.15 k, 1981.4 °f) boiling point: The number of protons in the nucleus is called the atomic number (z) and is the property that defines an atom’s elemental. Copper. Copper Atomic Number Of Neutrons.
From www.alamy.com
Copper (Cu). Diagram of the nuclear composition and electron configuration of an atom of copper Copper Atomic Number Of Neutrons Copper is a chemical element with atomic number 29 which means there are 29 protons in its nucleus. Subtracting the atomic number from the mass number reveals that the common copper isotope (mass number 63) has 34 neutrons. Copper is a chemical element with atomic number 29 which means there are 29 protons in its nucleus. The number of protons. Copper Atomic Number Of Neutrons.
From stock.adobe.com
Cu Copper Element Information Facts, Properties, Trends, Uses and comparison Periodic Table of Copper Atomic Number Of Neutrons Copper is a chemical element with atomic number 29 which means there are 29 protons in its nucleus. Subtracting the atomic number from the mass number reveals that the common copper isotope (mass number 63) has 34 neutrons. Total number of protons in the nucleus is called the atomic number of the atom and is given the symbol z. 1083.0. Copper Atomic Number Of Neutrons.
From valenceelectrons.com
Electron Configuration for Copper (Cu, Cu+, Cu2+) Copper Atomic Number Of Neutrons 1083.0 °c (1356.15 k, 1981.4 °f) boiling point: Subtracting the atomic number from the mass number reveals that the common copper isotope (mass number 63) has 34 neutrons. Copper is a chemical element with atomic number 29 which means there are 29 protons in its nucleus. Copper is the 29th element in the periodic table and has a symbol of. Copper Atomic Number Of Neutrons.
From material-properties.org
Copper Protons Neutrons Electrons Electron Configuration Copper Atomic Number Of Neutrons Copper is a chemical element with atomic number 29 which means there are 29 protons in its nucleus. 1083.0 °c (1356.15 k, 1981.4 °f) boiling point: It has an atomic weight of 63.546 and a mass. Sources, facts, uses, scarcity (sri), podcasts, alchemical symbols,. Subtracting the atomic number from the mass number reveals that the common copper isotope (mass number. Copper Atomic Number Of Neutrons.
From www.pinterest.ca
Atomic Structure of Copper (558×600) Copper atom, Atom model, Atom project Copper Atomic Number Of Neutrons Copper is a chemical element with atomic number 29 which means there are 29 protons in its nucleus. Subtracting the atomic number from the mass number reveals that the common copper isotope (mass number 63) has 34 neutrons. Copper is the 29th element in the periodic table and has a symbol of cu and atomic number of 29. It has. Copper Atomic Number Of Neutrons.
From www.numerade.com
SOLVED What’s the atomic number, mass number, number of protons, number of neutrons, number of Copper Atomic Number Of Neutrons Sources, facts, uses, scarcity (sri), podcasts, alchemical symbols,. Copper is the 29th element in the periodic table and has a symbol of cu and atomic number of 29. Total number of protons in the nucleus is called the atomic number of the atom and is given the symbol z. Copper is a chemical element with atomic number 29 which means. Copper Atomic Number Of Neutrons.
From mybios.me
Copper Periodic Table Protons Neutrons And Electrons Bios Pics Copper Atomic Number Of Neutrons 1083.0 °c (1356.15 k, 1981.4 °f) boiling point: Subtracting the atomic number from the mass number reveals that the common copper isotope (mass number 63) has 34 neutrons. Sources, facts, uses, scarcity (sri), podcasts, alchemical symbols,. Copper is a chemical element with atomic number 29 which means there are 29 protons in its nucleus. Copper is the 29th element in. Copper Atomic Number Of Neutrons.
From valenceelectrons.com
How Many Valence Electrons Does Copper (Cu) Have? Copper Atomic Number Of Neutrons Sources, facts, uses, scarcity (sri), podcasts, alchemical symbols,. Copper is the 29th element in the periodic table and has a symbol of cu and atomic number of 29. 1083.0 °c (1356.15 k, 1981.4 °f) boiling point: The number of protons in the nucleus is called the atomic number (z) and is the property that defines an atom’s elemental. Copper is. Copper Atomic Number Of Neutrons.
From reviewhomedecor.co
Copper Periodic Table Protons And Neutrons Review Home Decor Copper Atomic Number Of Neutrons Total number of protons in the nucleus is called the atomic number of the atom and is given the symbol z. It has an atomic weight of 63.546 and a mass. Sources, facts, uses, scarcity (sri), podcasts, alchemical symbols,. 1083.0 °c (1356.15 k, 1981.4 °f) boiling point: Copper is a chemical element with atomic number 29 which means there are. Copper Atomic Number Of Neutrons.
From www.sciencephoto.com
Copper, atomic structure Stock Image C013/1552 Science Photo Library Copper Atomic Number Of Neutrons Total number of protons in the nucleus is called the atomic number of the atom and is given the symbol z. Copper is a chemical element with atomic number 29 which means there are 29 protons in its nucleus. Sources, facts, uses, scarcity (sri), podcasts, alchemical symbols,. It has an atomic weight of 63.546 and a mass. Copper is a. Copper Atomic Number Of Neutrons.
From techiescientist.com
Is Copper an Element? Techiescientist Copper Atomic Number Of Neutrons It has an atomic weight of 63.546 and a mass. Copper is the 29th element in the periodic table and has a symbol of cu and atomic number of 29. 1083.0 °c (1356.15 k, 1981.4 °f) boiling point: Sources, facts, uses, scarcity (sri), podcasts, alchemical symbols,. Copper is a chemical element with atomic number 29 which means there are 29. Copper Atomic Number Of Neutrons.
From redesigngreece.blogspot.com
How To Find The Number Of Neutrons In An Element redesigngreece Copper Atomic Number Of Neutrons Copper is the 29th element in the periodic table and has a symbol of cu and atomic number of 29. Sources, facts, uses, scarcity (sri), podcasts, alchemical symbols,. 1083.0 °c (1356.15 k, 1981.4 °f) boiling point: Copper is a chemical element with atomic number 29 which means there are 29 protons in its nucleus. Total number of protons in the. Copper Atomic Number Of Neutrons.
From www.nuclear-power.com
Iron Atomic Number Atomic Mass Density of Iron Copper Atomic Number Of Neutrons It has an atomic weight of 63.546 and a mass. Copper is a chemical element with atomic number 29 which means there are 29 protons in its nucleus. Subtracting the atomic number from the mass number reveals that the common copper isotope (mass number 63) has 34 neutrons. 1083.0 °c (1356.15 k, 1981.4 °f) boiling point: Total number of protons. Copper Atomic Number Of Neutrons.
From www.slideserve.com
PPT Internal Structure of Atoms PowerPoint Presentation, free download ID9683214 Copper Atomic Number Of Neutrons Copper is the 29th element in the periodic table and has a symbol of cu and atomic number of 29. Copper is a chemical element with atomic number 29 which means there are 29 protons in its nucleus. The number of protons in the nucleus is called the atomic number (z) and is the property that defines an atom’s elemental.. Copper Atomic Number Of Neutrons.
From valenceelectrons.com
How Many Protons, Neutrons and Electrons Does Copper Have? Copper Atomic Number Of Neutrons 1083.0 °c (1356.15 k, 1981.4 °f) boiling point: The number of protons in the nucleus is called the atomic number (z) and is the property that defines an atom’s elemental. Sources, facts, uses, scarcity (sri), podcasts, alchemical symbols,. It has an atomic weight of 63.546 and a mass. Copper is a chemical element with atomic number 29 which means there. Copper Atomic Number Of Neutrons.
From awesomehome.co
Copper Periodic Table Protons Neutrons And Electrons Awesome Home Copper Atomic Number Of Neutrons Sources, facts, uses, scarcity (sri), podcasts, alchemical symbols,. Copper is the 29th element in the periodic table and has a symbol of cu and atomic number of 29. Subtracting the atomic number from the mass number reveals that the common copper isotope (mass number 63) has 34 neutrons. Copper is a chemical element with atomic number 29 which means there. Copper Atomic Number Of Neutrons.
From mybios.me
Copper Periodic Table Protons Neutrons And Electrons Bios Pics Copper Atomic Number Of Neutrons Subtracting the atomic number from the mass number reveals that the common copper isotope (mass number 63) has 34 neutrons. Copper is a chemical element with atomic number 29 which means there are 29 protons in its nucleus. Copper is a chemical element with atomic number 29 which means there are 29 protons in its nucleus. It has an atomic. Copper Atomic Number Of Neutrons.