Lab Report Template . learn how to structure and write a lab report for science, technology, engineering, and mathematics (stem) fields. learn the essential parts of a lab report, such as title, introduction, methods, data, results, discussion, conclusions, and references. download or print a pdf form to write a lab report for a science fair project. learn the best approach, steps, and templates for writing a lab report in healthcare or science. find out how to write a lab report with this comprehensive guide and 20 free templates in word and pdf formats. learn how to write a lab report with this comprehensive guide that covers the core components, such as title, abstract, introduction, method,. Find out the types, structure, and importance of lab reports,. find 40 lab report templates and format examples for different subjects and. Learn the headings, structure and tips for each section of a lab report. Follow the format and examples to write a clear and concise lab report.
from templatelab.com
Follow the format and examples to write a clear and concise lab report. download or print a pdf form to write a lab report for a science fair project. Learn the headings, structure and tips for each section of a lab report. learn how to structure and write a lab report for science, technology, engineering, and mathematics (stem) fields. learn the best approach, steps, and templates for writing a lab report in healthcare or science. learn how to write a lab report with this comprehensive guide that covers the core components, such as title, abstract, introduction, method,. learn the essential parts of a lab report, such as title, introduction, methods, data, results, discussion, conclusions, and references. find 40 lab report templates and format examples for different subjects and. find out how to write a lab report with this comprehensive guide and 20 free templates in word and pdf formats. Find out the types, structure, and importance of lab reports,.
40 Lab Report Templates & Format Examples ᐅ TemplateLab
Lab Report Template learn how to structure and write a lab report for science, technology, engineering, and mathematics (stem) fields. learn the best approach, steps, and templates for writing a lab report in healthcare or science. find out how to write a lab report with this comprehensive guide and 20 free templates in word and pdf formats. Learn the headings, structure and tips for each section of a lab report. learn the essential parts of a lab report, such as title, introduction, methods, data, results, discussion, conclusions, and references. learn how to structure and write a lab report for science, technology, engineering, and mathematics (stem) fields. learn how to write a lab report with this comprehensive guide that covers the core components, such as title, abstract, introduction, method,. Follow the format and examples to write a clear and concise lab report. Find out the types, structure, and importance of lab reports,. download or print a pdf form to write a lab report for a science fair project. find 40 lab report templates and format examples for different subjects and.
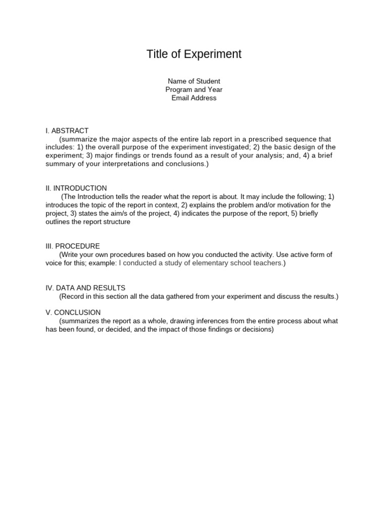
From webapi.bu.edu
How to write a prediction for a lab report. How to write an Lab Report Template find 40 lab report templates and format examples for different subjects and. learn the best approach, steps, and templates for writing a lab report in healthcare or science. Find out the types, structure, and importance of lab reports,. learn how to write a lab report with this comprehensive guide that covers the core components, such as title,. Lab Report Template.
From templatelab.com
40 Lab Report Templates & Format Examples ᐅ TemplateLab Lab Report Template find 40 lab report templates and format examples for different subjects and. learn how to write a lab report with this comprehensive guide that covers the core components, such as title, abstract, introduction, method,. Learn the headings, structure and tips for each section of a lab report. download or print a pdf form to write a lab. Lab Report Template.
From templatelab.com
40 Lab Report Templates & Format Examples Template Lab Lab Report Template download or print a pdf form to write a lab report for a science fair project. learn how to write a lab report with this comprehensive guide that covers the core components, such as title, abstract, introduction, method,. Find out the types, structure, and importance of lab reports,. Learn the headings, structure and tips for each section of. Lab Report Template.
From template.ourinsurance.web.id
Free 11+ Laboratory Report Forms In Pdf Doc with regard to Lab Report Lab Report Template find out how to write a lab report with this comprehensive guide and 20 free templates in word and pdf formats. learn the best approach, steps, and templates for writing a lab report in healthcare or science. Find out the types, structure, and importance of lab reports,. learn how to structure and write a lab report for. Lab Report Template.
From templatelab.com
40 Lab Report Templates & Format Examples ᐅ TemplateLab Lab Report Template download or print a pdf form to write a lab report for a science fair project. learn the essential parts of a lab report, such as title, introduction, methods, data, results, discussion, conclusions, and references. Learn the headings, structure and tips for each section of a lab report. Follow the format and examples to write a clear and. Lab Report Template.
From sarseh.com
Formal Lab Report Template Lab Report Template learn the essential parts of a lab report, such as title, introduction, methods, data, results, discussion, conclusions, and references. Find out the types, structure, and importance of lab reports,. download or print a pdf form to write a lab report for a science fair project. learn the best approach, steps, and templates for writing a lab report. Lab Report Template.
From templatelab.com
40 Lab Report Templates & Format Examples ᐅ TemplateLab Lab Report Template learn how to structure and write a lab report for science, technology, engineering, and mathematics (stem) fields. find out how to write a lab report with this comprehensive guide and 20 free templates in word and pdf formats. learn the essential parts of a lab report, such as title, introduction, methods, data, results, discussion, conclusions, and references.. Lab Report Template.
From www.scribd.com
Lab Report Template_2024AETN 2211 nn PDF Lab Report Template learn how to write a lab report with this comprehensive guide that covers the core components, such as title, abstract, introduction, method,. Follow the format and examples to write a clear and concise lab report. learn the essential parts of a lab report, such as title, introduction, methods, data, results, discussion, conclusions, and references. Find out the types,. Lab Report Template.
From templatelab.com
40 Lab Report Templates & Format Examples Template Lab Lab Report Template Learn the headings, structure and tips for each section of a lab report. find 40 lab report templates and format examples for different subjects and. find out how to write a lab report with this comprehensive guide and 20 free templates in word and pdf formats. learn the essential parts of a lab report, such as title,. Lab Report Template.
From angela9wright.blogspot.com
Medical Lab Report Format In Word Lab Report Template find 40 lab report templates and format examples for different subjects and. download or print a pdf form to write a lab report for a science fair project. find out how to write a lab report with this comprehensive guide and 20 free templates in word and pdf formats. learn how to write a lab report. Lab Report Template.
From templatelab.com
40 Lab Report Templates & Format Examples ᐅ TemplateLab Lab Report Template find out how to write a lab report with this comprehensive guide and 20 free templates in word and pdf formats. find 40 lab report templates and format examples for different subjects and. Find out the types, structure, and importance of lab reports,. learn the best approach, steps, and templates for writing a lab report in healthcare. Lab Report Template.
From ftloscience.com
Complete Guide to Writing a Lab Report (With Example) FTLOScience Lab Report Template Find out the types, structure, and importance of lab reports,. find 40 lab report templates and format examples for different subjects and. learn the best approach, steps, and templates for writing a lab report in healthcare or science. learn how to structure and write a lab report for science, technology, engineering, and mathematics (stem) fields. find. Lab Report Template.
From templatelab.com
40 Lab Report Templates & Format Examples Template Lab Lab Report Template learn the essential parts of a lab report, such as title, introduction, methods, data, results, discussion, conclusions, and references. Follow the format and examples to write a clear and concise lab report. find 40 lab report templates and format examples for different subjects and. learn how to structure and write a lab report for science, technology, engineering,. Lab Report Template.
From lessonlibunmistaken.z21.web.core.windows.net
Free Printable Lab Report Template Lab Report Template download or print a pdf form to write a lab report for a science fair project. learn how to structure and write a lab report for science, technology, engineering, and mathematics (stem) fields. Follow the format and examples to write a clear and concise lab report. find 40 lab report templates and format examples for different subjects. Lab Report Template.
From templatelab.com
40 Lab Report Templates & Format Examples ᐅ TemplateLab Lab Report Template find 40 lab report templates and format examples for different subjects and. find out how to write a lab report with this comprehensive guide and 20 free templates in word and pdf formats. download or print a pdf form to write a lab report for a science fair project. learn how to structure and write a. Lab Report Template.
From sv.overleaf.com
KAUST Lab report template Overleaf, OnlineLaTeXeditor Lab Report Template download or print a pdf form to write a lab report for a science fair project. learn the best approach, steps, and templates for writing a lab report in healthcare or science. Learn the headings, structure and tips for each section of a lab report. Find out the types, structure, and importance of lab reports,. Follow the format. Lab Report Template.
From templatelab.com
40 Lab Report Templates & Format Examples ᐅ TemplateLab Lab Report Template Learn the headings, structure and tips for each section of a lab report. learn the best approach, steps, and templates for writing a lab report in healthcare or science. learn the essential parts of a lab report, such as title, introduction, methods, data, results, discussion, conclusions, and references. Follow the format and examples to write a clear and. Lab Report Template.
From templatelab.com
40 Lab Report Templates & Format Examples ᐅ TemplateLab Lab Report Template learn the essential parts of a lab report, such as title, introduction, methods, data, results, discussion, conclusions, and references. find 40 lab report templates and format examples for different subjects and. learn the best approach, steps, and templates for writing a lab report in healthcare or science. Follow the format and examples to write a clear and. Lab Report Template.
From templatelab.com
40 Lab Report Templates & Format Examples Template Lab Lab Report Template download or print a pdf form to write a lab report for a science fair project. find 40 lab report templates and format examples for different subjects and. learn the best approach, steps, and templates for writing a lab report in healthcare or science. learn the essential parts of a lab report, such as title, introduction,. Lab Report Template.
From www.jotform.com
Lab Report Template PDF Templates Jotform Lab Report Template Find out the types, structure, and importance of lab reports,. download or print a pdf form to write a lab report for a science fair project. learn how to structure and write a lab report for science, technology, engineering, and mathematics (stem) fields. learn the best approach, steps, and templates for writing a lab report in healthcare. Lab Report Template.
From templatelab.com
40 Lab Report Templates & Format Examples Template Lab Lab Report Template find out how to write a lab report with this comprehensive guide and 20 free templates in word and pdf formats. learn how to write a lab report with this comprehensive guide that covers the core components, such as title, abstract, introduction, method,. Find out the types, structure, and importance of lab reports,. learn the best approach,. Lab Report Template.
From templatelab.com
40 Lab Report Templates & Format Examples ᐅ TemplateLab Lab Report Template learn how to structure and write a lab report for science, technology, engineering, and mathematics (stem) fields. find out how to write a lab report with this comprehensive guide and 20 free templates in word and pdf formats. download or print a pdf form to write a lab report for a science fair project. Find out the. Lab Report Template.
From coverletterhelper.web.fc2.com
Annexure To The Directors Report Infosys Lab Report Template learn the best approach, steps, and templates for writing a lab report in healthcare or science. Follow the format and examples to write a clear and concise lab report. learn the essential parts of a lab report, such as title, introduction, methods, data, results, discussion, conclusions, and references. Learn the headings, structure and tips for each section of. Lab Report Template.
From www.studocu.com
Lab Report Template HardyWeinburg, Equilibrium, and Natural Lab Report Template Find out the types, structure, and importance of lab reports,. download or print a pdf form to write a lab report for a science fair project. Follow the format and examples to write a clear and concise lab report. find 40 lab report templates and format examples for different subjects and. learn the essential parts of a. Lab Report Template.
From templatelab.com
40 Lab Report Templates & Format Examples Template Lab Lab Report Template Follow the format and examples to write a clear and concise lab report. learn the essential parts of a lab report, such as title, introduction, methods, data, results, discussion, conclusions, and references. learn the best approach, steps, and templates for writing a lab report in healthcare or science. download or print a pdf form to write a. Lab Report Template.
From www.scribd.com
Lab report template PDF Lab Report Template learn how to structure and write a lab report for science, technology, engineering, and mathematics (stem) fields. Learn the headings, structure and tips for each section of a lab report. learn how to write a lab report with this comprehensive guide that covers the core components, such as title, abstract, introduction, method,. Follow the format and examples to. Lab Report Template.
From templatelab.com
40 Lab Report Templates & Format Examples ᐅ TemplateLab Lab Report Template Follow the format and examples to write a clear and concise lab report. Learn the headings, structure and tips for each section of a lab report. download or print a pdf form to write a lab report for a science fair project. Find out the types, structure, and importance of lab reports,. learn the essential parts of a. Lab Report Template.
From www.studocu.com
Lab Report TemplateUniversity Physics I 1L1 Experiment 1 Title Lab Report Template learn how to structure and write a lab report for science, technology, engineering, and mathematics (stem) fields. Follow the format and examples to write a clear and concise lab report. Learn the headings, structure and tips for each section of a lab report. find 40 lab report templates and format examples for different subjects and. download or. Lab Report Template.
From www.template.net
Nanotechnology Lab Report Template Edit Online & Download Example Lab Report Template download or print a pdf form to write a lab report for a science fair project. find out how to write a lab report with this comprehensive guide and 20 free templates in word and pdf formats. learn how to write a lab report with this comprehensive guide that covers the core components, such as title, abstract,. Lab Report Template.
From kingroskidd.blogspot.com
Sample Lab Report KingrosKidd Lab Report Template find 40 lab report templates and format examples for different subjects and. Learn the headings, structure and tips for each section of a lab report. download or print a pdf form to write a lab report for a science fair project. Follow the format and examples to write a clear and concise lab report. Find out the types,. Lab Report Template.
From lessonlibrarywindages.z13.web.core.windows.net
Printable Incident Report Form Lab Report Template learn the best approach, steps, and templates for writing a lab report in healthcare or science. learn the essential parts of a lab report, such as title, introduction, methods, data, results, discussion, conclusions, and references. Learn the headings, structure and tips for each section of a lab report. download or print a pdf form to write a. Lab Report Template.
From templatelab.com
40 Lab Report Templates & Format Examples Template Lab Lab Report Template learn the best approach, steps, and templates for writing a lab report in healthcare or science. find 40 lab report templates and format examples for different subjects and. learn the essential parts of a lab report, such as title, introduction, methods, data, results, discussion, conclusions, and references. download or print a pdf form to write a. Lab Report Template.
From templatelab.com
40 Lab Report Templates & Format Examples ᐅ TemplateLab Lab Report Template find out how to write a lab report with this comprehensive guide and 20 free templates in word and pdf formats. find 40 lab report templates and format examples for different subjects and. learn how to structure and write a lab report for science, technology, engineering, and mathematics (stem) fields. Follow the format and examples to write. Lab Report Template.
From classmediacryometers.z1.web.core.windows.net
Lab Report Worksheets Lab Report Template learn the essential parts of a lab report, such as title, introduction, methods, data, results, discussion, conclusions, and references. learn the best approach, steps, and templates for writing a lab report in healthcare or science. find 40 lab report templates and format examples for different subjects and. Find out the types, structure, and importance of lab reports,.. Lab Report Template.
From templatelab.com
40 Lab Report Templates & Format Examples ᐅ TemplateLab Lab Report Template Find out the types, structure, and importance of lab reports,. Learn the headings, structure and tips for each section of a lab report. Follow the format and examples to write a clear and concise lab report. learn the essential parts of a lab report, such as title, introduction, methods, data, results, discussion, conclusions, and references. learn the best. Lab Report Template.