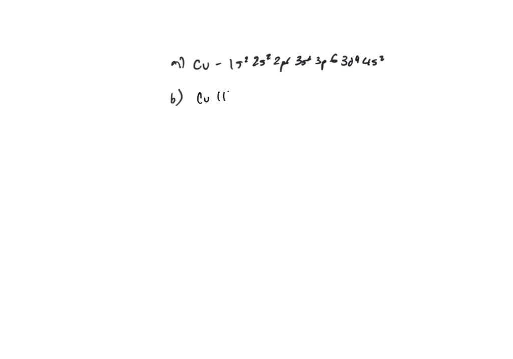
Copper Chloride Electron Configuration . How to write the electron configuration for copper (cu, cu+, and cu2+) in order to write the copper electron configuration we first need to know the. The electron configuration is the standard notation used to describe the electronic structure of an atom. Let us use this smart electron configuration calculator to determine the electron configuration of copper: The exact mass and the monoisotopic mass of cupric chloride is 132.867 g/mol. Copper(ii) chloride dissociates in aqueous solution to give the blue color of [cu(h 2o) 6]2+ and yellow or red color of the halide complexes of the. Electron configuration chart of all elements is mentioned in the table below.the shorthand electron configuration (or noble gas configuration) as well as. Under the orbital approximation, we let each electron occupy an.
from organicful44.blogspot.com
How to write the electron configuration for copper (cu, cu+, and cu2+) in order to write the copper electron configuration we first need to know the. Electron configuration chart of all elements is mentioned in the table below.the shorthand electron configuration (or noble gas configuration) as well as. The exact mass and the monoisotopic mass of cupric chloride is 132.867 g/mol. Under the orbital approximation, we let each electron occupy an. The electron configuration is the standard notation used to describe the electronic structure of an atom. Copper(ii) chloride dissociates in aqueous solution to give the blue color of [cu(h 2o) 6]2+ and yellow or red color of the halide complexes of the. Let us use this smart electron configuration calculator to determine the electron configuration of copper:
copper orbital diagram Organicful
Copper Chloride Electron Configuration Under the orbital approximation, we let each electron occupy an. How to write the electron configuration for copper (cu, cu+, and cu2+) in order to write the copper electron configuration we first need to know the. Under the orbital approximation, we let each electron occupy an. The exact mass and the monoisotopic mass of cupric chloride is 132.867 g/mol. Copper(ii) chloride dissociates in aqueous solution to give the blue color of [cu(h 2o) 6]2+ and yellow or red color of the halide complexes of the. The electron configuration is the standard notation used to describe the electronic structure of an atom. Electron configuration chart of all elements is mentioned in the table below.the shorthand electron configuration (or noble gas configuration) as well as. Let us use this smart electron configuration calculator to determine the electron configuration of copper:
From www.youtube.com
ELECTRONIC CONFIGURATION OF COPPER ATOM and STABILITY YouTube Copper Chloride Electron Configuration The exact mass and the monoisotopic mass of cupric chloride is 132.867 g/mol. Under the orbital approximation, we let each electron occupy an. Electron configuration chart of all elements is mentioned in the table below.the shorthand electron configuration (or noble gas configuration) as well as. The electron configuration is the standard notation used to describe the electronic structure of an. Copper Chloride Electron Configuration.
From valenceelectrons.com
Copper(Cu) electron configuration and orbital diagram Copper Chloride Electron Configuration The exact mass and the monoisotopic mass of cupric chloride is 132.867 g/mol. The electron configuration is the standard notation used to describe the electronic structure of an atom. How to write the electron configuration for copper (cu, cu+, and cu2+) in order to write the copper electron configuration we first need to know the. Electron configuration chart of all. Copper Chloride Electron Configuration.
From egpat.com
Lewis dot structure How to write? Copper Chloride Electron Configuration The electron configuration is the standard notation used to describe the electronic structure of an atom. Under the orbital approximation, we let each electron occupy an. Let us use this smart electron configuration calculator to determine the electron configuration of copper: Electron configuration chart of all elements is mentioned in the table below.the shorthand electron configuration (or noble gas configuration). Copper Chloride Electron Configuration.
From www.alamy.com
3d render of atom structure of copper isolated over white background Copper Chloride Electron Configuration Electron configuration chart of all elements is mentioned in the table below.the shorthand electron configuration (or noble gas configuration) as well as. Under the orbital approximation, we let each electron occupy an. Copper(ii) chloride dissociates in aqueous solution to give the blue color of [cu(h 2o) 6]2+ and yellow or red color of the halide complexes of the. How to. Copper Chloride Electron Configuration.
From electraschematics.com
Understanding the Electron Configuration Diagram for Copper Copper Chloride Electron Configuration The exact mass and the monoisotopic mass of cupric chloride is 132.867 g/mol. Under the orbital approximation, we let each electron occupy an. The electron configuration is the standard notation used to describe the electronic structure of an atom. Let us use this smart electron configuration calculator to determine the electron configuration of copper: Copper(ii) chloride dissociates in aqueous solution. Copper Chloride Electron Configuration.
From www.alamy.com
Copper (Cu). Diagram of the nuclear composition and electron Copper Chloride Electron Configuration How to write the electron configuration for copper (cu, cu+, and cu2+) in order to write the copper electron configuration we first need to know the. Let us use this smart electron configuration calculator to determine the electron configuration of copper: Under the orbital approximation, we let each electron occupy an. The electron configuration is the standard notation used to. Copper Chloride Electron Configuration.
From www.thoughtco.com
Atom Diagrams Electron Configurations of the Elements Copper Chloride Electron Configuration Copper(ii) chloride dissociates in aqueous solution to give the blue color of [cu(h 2o) 6]2+ and yellow or red color of the halide complexes of the. Electron configuration chart of all elements is mentioned in the table below.the shorthand electron configuration (or noble gas configuration) as well as. Let us use this smart electron configuration calculator to determine the electron. Copper Chloride Electron Configuration.
From learnwithdrscott.com
Electron Configuration Worksheet Easy Hard Science Copper Chloride Electron Configuration The exact mass and the monoisotopic mass of cupric chloride is 132.867 g/mol. The electron configuration is the standard notation used to describe the electronic structure of an atom. Under the orbital approximation, we let each electron occupy an. How to write the electron configuration for copper (cu, cu+, and cu2+) in order to write the copper electron configuration we. Copper Chloride Electron Configuration.
From www.thoughtco.com
Atom Diagrams Electron Configurations of the Elements Copper Chloride Electron Configuration Electron configuration chart of all elements is mentioned in the table below.the shorthand electron configuration (or noble gas configuration) as well as. How to write the electron configuration for copper (cu, cu+, and cu2+) in order to write the copper electron configuration we first need to know the. The electron configuration is the standard notation used to describe the electronic. Copper Chloride Electron Configuration.
From organicful44.blogspot.com
copper orbital diagram Organicful Copper Chloride Electron Configuration Copper(ii) chloride dissociates in aqueous solution to give the blue color of [cu(h 2o) 6]2+ and yellow or red color of the halide complexes of the. The exact mass and the monoisotopic mass of cupric chloride is 132.867 g/mol. Under the orbital approximation, we let each electron occupy an. Electron configuration chart of all elements is mentioned in the table. Copper Chloride Electron Configuration.
From www.toppr.com
The electronic configuration of copper (29Cu) is. Copper Chloride Electron Configuration Electron configuration chart of all elements is mentioned in the table below.the shorthand electron configuration (or noble gas configuration) as well as. The exact mass and the monoisotopic mass of cupric chloride is 132.867 g/mol. How to write the electron configuration for copper (cu, cu+, and cu2+) in order to write the copper electron configuration we first need to know. Copper Chloride Electron Configuration.
From valenceelectrons.com
How Many Valence Electrons Does Copper (Cu) Have? Copper Chloride Electron Configuration Let us use this smart electron configuration calculator to determine the electron configuration of copper: The electron configuration is the standard notation used to describe the electronic structure of an atom. How to write the electron configuration for copper (cu, cu+, and cu2+) in order to write the copper electron configuration we first need to know the. Copper(ii) chloride dissociates. Copper Chloride Electron Configuration.
From www.numerade.com
SOLVEDA green flame is observed when copper(II) chloride is heated in Copper Chloride Electron Configuration Copper(ii) chloride dissociates in aqueous solution to give the blue color of [cu(h 2o) 6]2+ and yellow or red color of the halide complexes of the. Electron configuration chart of all elements is mentioned in the table below.the shorthand electron configuration (or noble gas configuration) as well as. The exact mass and the monoisotopic mass of cupric chloride is 132.867. Copper Chloride Electron Configuration.
From www.youtube.com
Copper Electron Configuration Organic Chemistry Examples YouTube Copper Chloride Electron Configuration The exact mass and the monoisotopic mass of cupric chloride is 132.867 g/mol. Electron configuration chart of all elements is mentioned in the table below.the shorthand electron configuration (or noble gas configuration) as well as. Copper(ii) chloride dissociates in aqueous solution to give the blue color of [cu(h 2o) 6]2+ and yellow or red color of the halide complexes of. Copper Chloride Electron Configuration.
From favpng.com
Copper(I) Chloride Copper(II) Chloride Crystal Structure, PNG Copper Chloride Electron Configuration Copper(ii) chloride dissociates in aqueous solution to give the blue color of [cu(h 2o) 6]2+ and yellow or red color of the halide complexes of the. Let us use this smart electron configuration calculator to determine the electron configuration of copper: Electron configuration chart of all elements is mentioned in the table below.the shorthand electron configuration (or noble gas configuration). Copper Chloride Electron Configuration.
From general.chemistrysteps.com
Orbital Diagrams Chemistry Steps Copper Chloride Electron Configuration The exact mass and the monoisotopic mass of cupric chloride is 132.867 g/mol. Copper(ii) chloride dissociates in aqueous solution to give the blue color of [cu(h 2o) 6]2+ and yellow or red color of the halide complexes of the. The electron configuration is the standard notation used to describe the electronic structure of an atom. How to write the electron. Copper Chloride Electron Configuration.
From periodictable.me
How To Find A Electron Configuration For Copper Dynamic Periodic Copper Chloride Electron Configuration How to write the electron configuration for copper (cu, cu+, and cu2+) in order to write the copper electron configuration we first need to know the. The electron configuration is the standard notation used to describe the electronic structure of an atom. Electron configuration chart of all elements is mentioned in the table below.the shorthand electron configuration (or noble gas. Copper Chloride Electron Configuration.
From proper-cooking.info
Copper Electron Dot Diagram Copper Chloride Electron Configuration Copper(ii) chloride dissociates in aqueous solution to give the blue color of [cu(h 2o) 6]2+ and yellow or red color of the halide complexes of the. How to write the electron configuration for copper (cu, cu+, and cu2+) in order to write the copper electron configuration we first need to know the. Electron configuration chart of all elements is mentioned. Copper Chloride Electron Configuration.
From wiringguidefrosts.z19.web.core.windows.net
Copper Electron Configuration Diagram Copper Chloride Electron Configuration Electron configuration chart of all elements is mentioned in the table below.the shorthand electron configuration (or noble gas configuration) as well as. Let us use this smart electron configuration calculator to determine the electron configuration of copper: Under the orbital approximation, we let each electron occupy an. Copper(ii) chloride dissociates in aqueous solution to give the blue color of [cu(h. Copper Chloride Electron Configuration.
From chem.libretexts.org
Electronic Configurations Intro Chemistry LibreTexts Copper Chloride Electron Configuration How to write the electron configuration for copper (cu, cu+, and cu2+) in order to write the copper electron configuration we first need to know the. The electron configuration is the standard notation used to describe the electronic structure of an atom. Copper(ii) chloride dissociates in aqueous solution to give the blue color of [cu(h 2o) 6]2+ and yellow or. Copper Chloride Electron Configuration.
From reviewhomedecor.co
Copper Periodic Table Electrons Review Home Decor Copper Chloride Electron Configuration Copper(ii) chloride dissociates in aqueous solution to give the blue color of [cu(h 2o) 6]2+ and yellow or red color of the halide complexes of the. How to write the electron configuration for copper (cu, cu+, and cu2+) in order to write the copper electron configuration we first need to know the. Under the orbital approximation, we let each electron. Copper Chloride Electron Configuration.
From aliceandallthatjazz.blogspot.com
Electron Configuration Of Copper 1+ worksheet Copper Chloride Electron Configuration Electron configuration chart of all elements is mentioned in the table below.the shorthand electron configuration (or noble gas configuration) as well as. Under the orbital approximation, we let each electron occupy an. The electron configuration is the standard notation used to describe the electronic structure of an atom. Let us use this smart electron configuration calculator to determine the electron. Copper Chloride Electron Configuration.
From www.slideserve.com
PPT Determining the Empirical Formula of Copper Chloride PowerPoint Copper Chloride Electron Configuration Under the orbital approximation, we let each electron occupy an. Electron configuration chart of all elements is mentioned in the table below.the shorthand electron configuration (or noble gas configuration) as well as. The exact mass and the monoisotopic mass of cupric chloride is 132.867 g/mol. Copper(ii) chloride dissociates in aqueous solution to give the blue color of [cu(h 2o) 6]2+. Copper Chloride Electron Configuration.
From www.youtube.com
Electronic Configuration of Chromium and Copper Structure of Atom Copper Chloride Electron Configuration Under the orbital approximation, we let each electron occupy an. Electron configuration chart of all elements is mentioned in the table below.the shorthand electron configuration (or noble gas configuration) as well as. The exact mass and the monoisotopic mass of cupric chloride is 132.867 g/mol. The electron configuration is the standard notation used to describe the electronic structure of an. Copper Chloride Electron Configuration.
From www.coursehero.com
[Solved] 15. Fill in the electron configuration diagram for the copper Copper Chloride Electron Configuration Let us use this smart electron configuration calculator to determine the electron configuration of copper: Under the orbital approximation, we let each electron occupy an. Electron configuration chart of all elements is mentioned in the table below.the shorthand electron configuration (or noble gas configuration) as well as. The exact mass and the monoisotopic mass of cupric chloride is 132.867 g/mol.. Copper Chloride Electron Configuration.
From courses.lumenlearning.com
Electronic Structure of Atoms (Electron Configurations) Chemistry for Copper Chloride Electron Configuration The exact mass and the monoisotopic mass of cupric chloride is 132.867 g/mol. Electron configuration chart of all elements is mentioned in the table below.the shorthand electron configuration (or noble gas configuration) as well as. Copper(ii) chloride dissociates in aqueous solution to give the blue color of [cu(h 2o) 6]2+ and yellow or red color of the halide complexes of. Copper Chloride Electron Configuration.
From www.embibe.com
Draw the atomic structure of the Chlorine atom and chlorine ion Copper Chloride Electron Configuration The electron configuration is the standard notation used to describe the electronic structure of an atom. Let us use this smart electron configuration calculator to determine the electron configuration of copper: Electron configuration chart of all elements is mentioned in the table below.the shorthand electron configuration (or noble gas configuration) as well as. The exact mass and the monoisotopic mass. Copper Chloride Electron Configuration.
From www.earthdate.org
Copper’s Superpower EarthDate Copper Chloride Electron Configuration How to write the electron configuration for copper (cu, cu+, and cu2+) in order to write the copper electron configuration we first need to know the. Electron configuration chart of all elements is mentioned in the table below.the shorthand electron configuration (or noble gas configuration) as well as. Let us use this smart electron configuration calculator to determine the electron. Copper Chloride Electron Configuration.
From www.vectorstock.com
Symbol and electron diagram for copper Royalty Free Vector Copper Chloride Electron Configuration Let us use this smart electron configuration calculator to determine the electron configuration of copper: The exact mass and the monoisotopic mass of cupric chloride is 132.867 g/mol. How to write the electron configuration for copper (cu, cu+, and cu2+) in order to write the copper electron configuration we first need to know the. Electron configuration chart of all elements. Copper Chloride Electron Configuration.
From www.alamy.com
Copper (Cu). Diagram of the nuclear composition, electron configuration Copper Chloride Electron Configuration Copper(ii) chloride dissociates in aqueous solution to give the blue color of [cu(h 2o) 6]2+ and yellow or red color of the halide complexes of the. The electron configuration is the standard notation used to describe the electronic structure of an atom. How to write the electron configuration for copper (cu, cu+, and cu2+) in order to write the copper. Copper Chloride Electron Configuration.
From valenceelectrons.com
How to Find the Valence Electrons for Lithium (Li)? Copper Chloride Electron Configuration Electron configuration chart of all elements is mentioned in the table below.the shorthand electron configuration (or noble gas configuration) as well as. Copper(ii) chloride dissociates in aqueous solution to give the blue color of [cu(h 2o) 6]2+ and yellow or red color of the halide complexes of the. The exact mass and the monoisotopic mass of cupric chloride is 132.867. Copper Chloride Electron Configuration.
From www.mooramo.com
Ions of Transition Elements Mooramo Copper Chloride Electron Configuration How to write the electron configuration for copper (cu, cu+, and cu2+) in order to write the copper electron configuration we first need to know the. Under the orbital approximation, we let each electron occupy an. Copper(ii) chloride dissociates in aqueous solution to give the blue color of [cu(h 2o) 6]2+ and yellow or red color of the halide complexes. Copper Chloride Electron Configuration.
From reviewhomedecor.co
Copper Periodic Table Electrons Review Home Decor Copper Chloride Electron Configuration The electron configuration is the standard notation used to describe the electronic structure of an atom. Let us use this smart electron configuration calculator to determine the electron configuration of copper: The exact mass and the monoisotopic mass of cupric chloride is 132.867 g/mol. How to write the electron configuration for copper (cu, cu+, and cu2+) in order to write. Copper Chloride Electron Configuration.
From www.periodic-table.org
Copper Electron Configuration and Oxidation States Cu Copper Chloride Electron Configuration The exact mass and the monoisotopic mass of cupric chloride is 132.867 g/mol. Let us use this smart electron configuration calculator to determine the electron configuration of copper: Electron configuration chart of all elements is mentioned in the table below.the shorthand electron configuration (or noble gas configuration) as well as. Under the orbital approximation, we let each electron occupy an.. Copper Chloride Electron Configuration.
From www.glentham.com
Copper(II) chloride, anhydrous (CAS 7447394) Glentham Life Sciences Copper Chloride Electron Configuration The electron configuration is the standard notation used to describe the electronic structure of an atom. Let us use this smart electron configuration calculator to determine the electron configuration of copper: How to write the electron configuration for copper (cu, cu+, and cu2+) in order to write the copper electron configuration we first need to know the. The exact mass. Copper Chloride Electron Configuration.