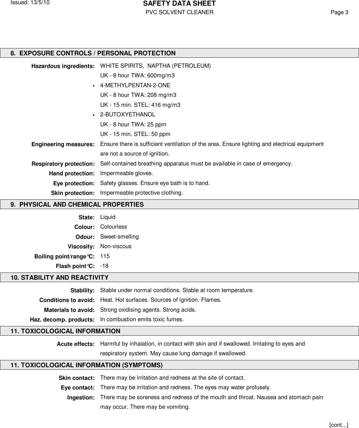
Eco Plastic Pipe Cleaner Msds . Ensure that medical personnel are aware of the material(s) involved, take precautions to protect themselves and prevent spread of contamination. If the material safety datasheet. Identification of the substance/preparation and company. Please see below for the boss™ msd's that are available for viewing online or downloading. · 6.3 methods and material for containment and cleaning up: This safety data sheet was created pursuant to the requirements of: The product has been classified and marked in accordance with eu directives/ordinance on hazardous materials. Send for recovery or disposal in suitable receptacles. Labelling according to eu guidelines: Code letter and hazard designation of.
from exyydqkjo.blob.core.windows.net
· 6.3 methods and material for containment and cleaning up: This safety data sheet was created pursuant to the requirements of: Send for recovery or disposal in suitable receptacles. Identification of the substance/preparation and company. Ensure that medical personnel are aware of the material(s) involved, take precautions to protect themselves and prevent spread of contamination. Labelling according to eu guidelines: Code letter and hazard designation of. If the material safety datasheet. Please see below for the boss™ msd's that are available for viewing online or downloading. The product has been classified and marked in accordance with eu directives/ordinance on hazardous materials.
La S Totally Awesome Bathroom Cleaner Msds at Elton Perez blog
Eco Plastic Pipe Cleaner Msds Labelling according to eu guidelines: If the material safety datasheet. Code letter and hazard designation of. Send for recovery or disposal in suitable receptacles. This safety data sheet was created pursuant to the requirements of: · 6.3 methods and material for containment and cleaning up: The product has been classified and marked in accordance with eu directives/ordinance on hazardous materials. Identification of the substance/preparation and company. Ensure that medical personnel are aware of the material(s) involved, take precautions to protect themselves and prevent spread of contamination. Please see below for the boss™ msd's that are available for viewing online or downloading. Labelling according to eu guidelines:
From centralcoastgarden.com
Green Cleanermsds — Central Coast Garden Products We manufacture Green Eco Plastic Pipe Cleaner Msds Identification of the substance/preparation and company. Ensure that medical personnel are aware of the material(s) involved, take precautions to protect themselves and prevent spread of contamination. · 6.3 methods and material for containment and cleaning up: Send for recovery or disposal in suitable receptacles. Labelling according to eu guidelines: This safety data sheet was created pursuant to the requirements of:. Eco Plastic Pipe Cleaner Msds.
From techblog.ctgclean.com
Material Safety Data Sheets vs. Technical Data CTG Clean Eco Plastic Pipe Cleaner Msds · 6.3 methods and material for containment and cleaning up: Code letter and hazard designation of. Labelling according to eu guidelines: This safety data sheet was created pursuant to the requirements of: Ensure that medical personnel are aware of the material(s) involved, take precautions to protect themselves and prevent spread of contamination. If the material safety datasheet. The product has. Eco Plastic Pipe Cleaner Msds.
From www.lowes.com
CLR EcoFriendly Liquid Drain Cleaner, NonToxic & Safe for Pipes Eco Plastic Pipe Cleaner Msds Code letter and hazard designation of. If the material safety datasheet. Send for recovery or disposal in suitable receptacles. · 6.3 methods and material for containment and cleaning up: Identification of the substance/preparation and company. Please see below for the boss™ msd's that are available for viewing online or downloading. The product has been classified and marked in accordance with. Eco Plastic Pipe Cleaner Msds.
From www.usplastic.com
IPS® Weld On® 711 ECO™ Ultra Low VOC U.S. Plastic Corp. Eco Plastic Pipe Cleaner Msds The product has been classified and marked in accordance with eu directives/ordinance on hazardous materials. Identification of the substance/preparation and company. Labelling according to eu guidelines: If the material safety datasheet. Send for recovery or disposal in suitable receptacles. This safety data sheet was created pursuant to the requirements of: Ensure that medical personnel are aware of the material(s) involved,. Eco Plastic Pipe Cleaner Msds.
From www.yumpu.com
Plexus Plastic Cleaner MSDS Page 1 of 3 Material Technokats Eco Plastic Pipe Cleaner Msds Code letter and hazard designation of. Labelling according to eu guidelines: · 6.3 methods and material for containment and cleaning up: If the material safety datasheet. This safety data sheet was created pursuant to the requirements of: Ensure that medical personnel are aware of the material(s) involved, take precautions to protect themselves and prevent spread of contamination. Send for recovery. Eco Plastic Pipe Cleaner Msds.
From usermanual.wiki
MSDS Pvcu Solvent Cleaner Eco Plastic Pipe Cleaner Msds Send for recovery or disposal in suitable receptacles. This safety data sheet was created pursuant to the requirements of: Identification of the substance/preparation and company. Labelling according to eu guidelines: · 6.3 methods and material for containment and cleaning up: Please see below for the boss™ msd's that are available for viewing online or downloading. The product has been classified. Eco Plastic Pipe Cleaner Msds.
From www.slideshare.net
Eco Clean MSDS Eco Plastic Pipe Cleaner Msds Ensure that medical personnel are aware of the material(s) involved, take precautions to protect themselves and prevent spread of contamination. This safety data sheet was created pursuant to the requirements of: Identification of the substance/preparation and company. · 6.3 methods and material for containment and cleaning up: The product has been classified and marked in accordance with eu directives/ordinance on. Eco Plastic Pipe Cleaner Msds.
From www.bssindustrial.co.uk
Solvents Eco Plastic Pipe Cleaner Msds Ensure that medical personnel are aware of the material(s) involved, take precautions to protect themselves and prevent spread of contamination. Labelling according to eu guidelines: If the material safety datasheet. Code letter and hazard designation of. This safety data sheet was created pursuant to the requirements of: Identification of the substance/preparation and company. The product has been classified and marked. Eco Plastic Pipe Cleaner Msds.
From ar.inspiredpencil.com
Msds Sheet For 409 Cleaner Eco Plastic Pipe Cleaner Msds Send for recovery or disposal in suitable receptacles. Labelling according to eu guidelines: The product has been classified and marked in accordance with eu directives/ordinance on hazardous materials. Ensure that medical personnel are aware of the material(s) involved, take precautions to protect themselves and prevent spread of contamination. Code letter and hazard designation of. This safety data sheet was created. Eco Plastic Pipe Cleaner Msds.
From denizen.io
Free Printable Msds Sheets Online Customize and Print Eco Plastic Pipe Cleaner Msds This safety data sheet was created pursuant to the requirements of: Labelling according to eu guidelines: The product has been classified and marked in accordance with eu directives/ordinance on hazardous materials. If the material safety datasheet. Identification of the substance/preparation and company. Please see below for the boss™ msd's that are available for viewing online or downloading. Ensure that medical. Eco Plastic Pipe Cleaner Msds.
From www.follettice.com
SDS Sheets Follett Ice Eco Plastic Pipe Cleaner Msds Labelling according to eu guidelines: The product has been classified and marked in accordance with eu directives/ordinance on hazardous materials. · 6.3 methods and material for containment and cleaning up: Code letter and hazard designation of. This safety data sheet was created pursuant to the requirements of: Identification of the substance/preparation and company. Send for recovery or disposal in suitable. Eco Plastic Pipe Cleaner Msds.
From www.scribd.com
MSDS C65 Plastic Pipe Cleaner Download Free PDF Water Eco Plastic Pipe Cleaner Msds · 6.3 methods and material for containment and cleaning up: Labelling according to eu guidelines: Code letter and hazard designation of. Ensure that medical personnel are aware of the material(s) involved, take precautions to protect themselves and prevent spread of contamination. Please see below for the boss™ msd's that are available for viewing online or downloading. Send for recovery or. Eco Plastic Pipe Cleaner Msds.
From safety365.sevron.co.uk
C309 TOILET CLEANER MSDS Download Eco Plastic Pipe Cleaner Msds If the material safety datasheet. Send for recovery or disposal in suitable receptacles. · 6.3 methods and material for containment and cleaning up: Identification of the substance/preparation and company. The product has been classified and marked in accordance with eu directives/ordinance on hazardous materials. Labelling according to eu guidelines: This safety data sheet was created pursuant to the requirements of:. Eco Plastic Pipe Cleaner Msds.
From sukeihanachi.blogspot.com
green works all purpose cleaner sds Success Binnacle Photographs Eco Plastic Pipe Cleaner Msds The product has been classified and marked in accordance with eu directives/ordinance on hazardous materials. Identification of the substance/preparation and company. This safety data sheet was created pursuant to the requirements of: Code letter and hazard designation of. Ensure that medical personnel are aware of the material(s) involved, take precautions to protect themselves and prevent spread of contamination. Please see. Eco Plastic Pipe Cleaner Msds.
From safety365.sevron.co.uk
CitroClean Multipurpose Cleaner MSDS Download Eco Plastic Pipe Cleaner Msds Identification of the substance/preparation and company. Send for recovery or disposal in suitable receptacles. Ensure that medical personnel are aware of the material(s) involved, take precautions to protect themselves and prevent spread of contamination. · 6.3 methods and material for containment and cleaning up: Code letter and hazard designation of. If the material safety datasheet. Please see below for the. Eco Plastic Pipe Cleaner Msds.
From www.scribd.com
MSDS Cleaner PDF Eco Plastic Pipe Cleaner Msds Identification of the substance/preparation and company. · 6.3 methods and material for containment and cleaning up: Labelling according to eu guidelines: Send for recovery or disposal in suitable receptacles. Ensure that medical personnel are aware of the material(s) involved, take precautions to protect themselves and prevent spread of contamination. If the material safety datasheet. Please see below for the boss™. Eco Plastic Pipe Cleaner Msds.
From exyydqkjo.blob.core.windows.net
La S Totally Awesome Bathroom Cleaner Msds at Elton Perez blog Eco Plastic Pipe Cleaner Msds Ensure that medical personnel are aware of the material(s) involved, take precautions to protect themselves and prevent spread of contamination. Labelling according to eu guidelines: Please see below for the boss™ msd's that are available for viewing online or downloading. Code letter and hazard designation of. Send for recovery or disposal in suitable receptacles. The product has been classified and. Eco Plastic Pipe Cleaner Msds.
From makerspace.tulane.edu
Material Safety Data Sheets makerspace.tulane.edu Eco Plastic Pipe Cleaner Msds Identification of the substance/preparation and company. Labelling according to eu guidelines: · 6.3 methods and material for containment and cleaning up: If the material safety datasheet. This safety data sheet was created pursuant to the requirements of: Please see below for the boss™ msd's that are available for viewing online or downloading. The product has been classified and marked in. Eco Plastic Pipe Cleaner Msds.
From usermanual.wiki
MSDS Pvcu Solvent Cleaner Eco Plastic Pipe Cleaner Msds · 6.3 methods and material for containment and cleaning up: This safety data sheet was created pursuant to the requirements of: Labelling according to eu guidelines: Code letter and hazard designation of. Please see below for the boss™ msd's that are available for viewing online or downloading. Ensure that medical personnel are aware of the material(s) involved, take precautions to. Eco Plastic Pipe Cleaner Msds.
From joinwexqo.blob.core.windows.net
Msds For Pvc Pipe Cleaner at Nadine Dixon blog Eco Plastic Pipe Cleaner Msds Please see below for the boss™ msd's that are available for viewing online or downloading. Code letter and hazard designation of. · 6.3 methods and material for containment and cleaning up: This safety data sheet was created pursuant to the requirements of: The product has been classified and marked in accordance with eu directives/ordinance on hazardous materials. If the material. Eco Plastic Pipe Cleaner Msds.
From safety365.sevron.co.uk
Patch Rubber Cleaner Fluid MSDS Download Eco Plastic Pipe Cleaner Msds The product has been classified and marked in accordance with eu directives/ordinance on hazardous materials. This safety data sheet was created pursuant to the requirements of: Labelling according to eu guidelines: Identification of the substance/preparation and company. If the material safety datasheet. Ensure that medical personnel are aware of the material(s) involved, take precautions to protect themselves and prevent spread. Eco Plastic Pipe Cleaner Msds.
From www.rigbytaylor.com
500ml Solvent Cleaner for imperial PVC glued connections Rigby Taylor Eco Plastic Pipe Cleaner Msds Send for recovery or disposal in suitable receptacles. Ensure that medical personnel are aware of the material(s) involved, take precautions to protect themselves and prevent spread of contamination. Identification of the substance/preparation and company. · 6.3 methods and material for containment and cleaning up: If the material safety datasheet. Please see below for the boss™ msd's that are available for. Eco Plastic Pipe Cleaner Msds.
From safety365.sevron.co.uk
Industrial Cleaner Spray Rapid Dry MSDS Download Eco Plastic Pipe Cleaner Msds Send for recovery or disposal in suitable receptacles. Labelling according to eu guidelines: Identification of the substance/preparation and company. Code letter and hazard designation of. This safety data sheet was created pursuant to the requirements of: Ensure that medical personnel are aware of the material(s) involved, take precautions to protect themselves and prevent spread of contamination. Please see below for. Eco Plastic Pipe Cleaner Msds.
From www.yumpu.com
MultiSurface Disinfecting Cleaner MSDS GreenCupboards Eco Plastic Pipe Cleaner Msds Identification of the substance/preparation and company. Labelling according to eu guidelines: Ensure that medical personnel are aware of the material(s) involved, take precautions to protect themselves and prevent spread of contamination. · 6.3 methods and material for containment and cleaning up: This safety data sheet was created pursuant to the requirements of: Please see below for the boss™ msd's that. Eco Plastic Pipe Cleaner Msds.
From www.homedepot.com
ECOLAB 1 Gal. All Purpose Premium Pressure Wash Concentrate 7700421 Eco Plastic Pipe Cleaner Msds · 6.3 methods and material for containment and cleaning up: Labelling according to eu guidelines: The product has been classified and marked in accordance with eu directives/ordinance on hazardous materials. Code letter and hazard designation of. Ensure that medical personnel are aware of the material(s) involved, take precautions to protect themselves and prevent spread of contamination. This safety data sheet. Eco Plastic Pipe Cleaner Msds.
From usermanual.wiki
MSDS Pvcu Solvent Cleaner Eco Plastic Pipe Cleaner Msds The product has been classified and marked in accordance with eu directives/ordinance on hazardous materials. Send for recovery or disposal in suitable receptacles. If the material safety datasheet. Please see below for the boss™ msd's that are available for viewing online or downloading. Ensure that medical personnel are aware of the material(s) involved, take precautions to protect themselves and prevent. Eco Plastic Pipe Cleaner Msds.
From www.scribd.com
NabakemMegaCheckCleanerMSDS PDF Personal Protective Equipment Eco Plastic Pipe Cleaner Msds Send for recovery or disposal in suitable receptacles. Labelling according to eu guidelines: Identification of the substance/preparation and company. Ensure that medical personnel are aware of the material(s) involved, take precautions to protect themselves and prevent spread of contamination. The product has been classified and marked in accordance with eu directives/ordinance on hazardous materials. · 6.3 methods and material for. Eco Plastic Pipe Cleaner Msds.
From olive-systems.com
Cleaner PVC Olivé Eco Plastic Pipe Cleaner Msds This safety data sheet was created pursuant to the requirements of: Please see below for the boss™ msd's that are available for viewing online or downloading. The product has been classified and marked in accordance with eu directives/ordinance on hazardous materials. Identification of the substance/preparation and company. Labelling according to eu guidelines: Ensure that medical personnel are aware of the. Eco Plastic Pipe Cleaner Msds.
From dokumen.tips
(PDF) Prist Window Cleaner MSDS DOKUMEN.TIPS Eco Plastic Pipe Cleaner Msds Send for recovery or disposal in suitable receptacles. If the material safety datasheet. · 6.3 methods and material for containment and cleaning up: The product has been classified and marked in accordance with eu directives/ordinance on hazardous materials. This safety data sheet was created pursuant to the requirements of: Identification of the substance/preparation and company. Ensure that medical personnel are. Eco Plastic Pipe Cleaner Msds.
From ar.inspiredpencil.com
Msds Sheets Eco Plastic Pipe Cleaner Msds Send for recovery or disposal in suitable receptacles. Labelling according to eu guidelines: If the material safety datasheet. The product has been classified and marked in accordance with eu directives/ordinance on hazardous materials. · 6.3 methods and material for containment and cleaning up: Ensure that medical personnel are aware of the material(s) involved, take precautions to protect themselves and prevent. Eco Plastic Pipe Cleaner Msds.
From www.walmart.com
How To Read A Safety Data Sheet (SDS/MSDS) Poster, 24 x 33 Inch Eco Plastic Pipe Cleaner Msds The product has been classified and marked in accordance with eu directives/ordinance on hazardous materials. If the material safety datasheet. Please see below for the boss™ msd's that are available for viewing online or downloading. Identification of the substance/preparation and company. Labelling according to eu guidelines: Ensure that medical personnel are aware of the material(s) involved, take precautions to protect. Eco Plastic Pipe Cleaner Msds.
From id.scribd.com
Msds Contact Cleaner PDF Eco Plastic Pipe Cleaner Msds · 6.3 methods and material for containment and cleaning up: Send for recovery or disposal in suitable receptacles. This safety data sheet was created pursuant to the requirements of: Code letter and hazard designation of. Ensure that medical personnel are aware of the material(s) involved, take precautions to protect themselves and prevent spread of contamination. Identification of the substance/preparation and. Eco Plastic Pipe Cleaner Msds.
From exywsakcx.blob.core.windows.net
Maxima Glass Cleaner Safety Data Sheet at Walter Artiaga blog Eco Plastic Pipe Cleaner Msds Send for recovery or disposal in suitable receptacles. Code letter and hazard designation of. Identification of the substance/preparation and company. Please see below for the boss™ msd's that are available for viewing online or downloading. This safety data sheet was created pursuant to the requirements of: · 6.3 methods and material for containment and cleaning up: If the material safety. Eco Plastic Pipe Cleaner Msds.
From studylib.net
Material Safety Data Sheet Eco Plastic Pipe Cleaner Msds The product has been classified and marked in accordance with eu directives/ordinance on hazardous materials. Identification of the substance/preparation and company. Send for recovery or disposal in suitable receptacles. Ensure that medical personnel are aware of the material(s) involved, take precautions to protect themselves and prevent spread of contamination. This safety data sheet was created pursuant to the requirements of:. Eco Plastic Pipe Cleaner Msds.
From safety365.sevron.co.uk
Norchem AC 644 Air Con Coil Cleaner (MSDS) MSDS Download Eco Plastic Pipe Cleaner Msds This safety data sheet was created pursuant to the requirements of: Please see below for the boss™ msd's that are available for viewing online or downloading. Code letter and hazard designation of. · 6.3 methods and material for containment and cleaning up: The product has been classified and marked in accordance with eu directives/ordinance on hazardous materials. Ensure that medical. Eco Plastic Pipe Cleaner Msds.