Form D See Rule 5 . in the payment of bonus rules, 1975 (hereinafter referred to as the principal rules), for rule 5, the following rule shall be. Form d is used to file a notice of an exempt offering of securities with the sec. filing a form d notice. every employer shall send a return in form d to the inspector so as to each him within 30 days after the expiry of the time limit. the payment of bonus rules, 1975 form d [see rule 5] annual return bonus paid to employees for the accounting year ending. terms used but not defined in form d that are defined in rule 405 or rule 501 under the securities act of 1933, 17 c.f.r. to file a form d notice using your cik number and password, visit the online forms login page.
from www.scribd.com
Form d is used to file a notice of an exempt offering of securities with the sec. the payment of bonus rules, 1975 form d [see rule 5] annual return bonus paid to employees for the accounting year ending. in the payment of bonus rules, 1975 (hereinafter referred to as the principal rules), for rule 5, the following rule shall be. to file a form d notice using your cik number and password, visit the online forms login page. filing a form d notice. terms used but not defined in form d that are defined in rule 405 or rule 501 under the securities act of 1933, 17 c.f.r. every employer shall send a return in form d to the inspector so as to each him within 30 days after the expiry of the time limit.
Form 1 (See Rule 5 (2) ) ApplicationCumDeclaration As To Physical
Form D See Rule 5 to file a form d notice using your cik number and password, visit the online forms login page. to file a form d notice using your cik number and password, visit the online forms login page. terms used but not defined in form d that are defined in rule 405 or rule 501 under the securities act of 1933, 17 c.f.r. filing a form d notice. in the payment of bonus rules, 1975 (hereinafter referred to as the principal rules), for rule 5, the following rule shall be. every employer shall send a return in form d to the inspector so as to each him within 30 days after the expiry of the time limit. the payment of bonus rules, 1975 form d [see rule 5] annual return bonus paid to employees for the accounting year ending. Form d is used to file a notice of an exempt offering of securities with the sec.
From www.scribd.com
How To Fill Form 1 For Liscence PDF Form D See Rule 5 in the payment of bonus rules, 1975 (hereinafter referred to as the principal rules), for rule 5, the following rule shall be. to file a form d notice using your cik number and password, visit the online forms login page. terms used but not defined in form d that are defined in rule 405 or rule 501. Form D See Rule 5.
From studylib.net
FORM I (See subrule (1) of Rule 3) 1 Form D See Rule 5 every employer shall send a return in form d to the inspector so as to each him within 30 days after the expiry of the time limit. in the payment of bonus rules, 1975 (hereinafter referred to as the principal rules), for rule 5, the following rule shall be. terms used but not defined in form d. Form D See Rule 5.
From www.pdffiller.com
Fillable Online DEATH REPORT Form No.3 (See rule 5) Part II (Legal Form D See Rule 5 to file a form d notice using your cik number and password, visit the online forms login page. every employer shall send a return in form d to the inspector so as to each him within 30 days after the expiry of the time limit. Form d is used to file a notice of an exempt offering of. Form D See Rule 5.
From www.scribd.com
Form 1A (See Rules 5 (1), (3), 7,10 (A), 14 (D), and 18 (D Form D See Rule 5 filing a form d notice. in the payment of bonus rules, 1975 (hereinafter referred to as the principal rules), for rule 5, the following rule shall be. Form d is used to file a notice of an exempt offering of securities with the sec. every employer shall send a return in form d to the inspector so. Form D See Rule 5.
From www.pdffiller.com
Schedule I See rule 5(ii) Application for Initial Approval and Doc Form D See Rule 5 the payment of bonus rules, 1975 form d [see rule 5] annual return bonus paid to employees for the accounting year ending. filing a form d notice. Form d is used to file a notice of an exempt offering of securities with the sec. every employer shall send a return in form d to the inspector so. Form D See Rule 5.
From www.scribd.com
FormA See Rule5 (Maintained Under Section 59 of The Indian Form D See Rule 5 filing a form d notice. to file a form d notice using your cik number and password, visit the online forms login page. every employer shall send a return in form d to the inspector so as to each him within 30 days after the expiry of the time limit. in the payment of bonus rules,. Form D See Rule 5.
From www.scribd.com
Form 1A (See Rules 5 (1), (3), 7,10 (A), 14 (D), and 18 (D Form D See Rule 5 the payment of bonus rules, 1975 form d [see rule 5] annual return bonus paid to employees for the accounting year ending. filing a form d notice. Form d is used to file a notice of an exempt offering of securities with the sec. every employer shall send a return in form d to the inspector so. Form D See Rule 5.
From www.scribd.com
Form E (See Sub Rule (1) of Rule 8 and Rule 9) Serial No . PDF Form D See Rule 5 filing a form d notice. in the payment of bonus rules, 1975 (hereinafter referred to as the principal rules), for rule 5, the following rule shall be. terms used but not defined in form d that are defined in rule 405 or rule 501 under the securities act of 1933, 17 c.f.r. Form d is used to. Form D See Rule 5.
From www.redbubble.com
"See Rule 5" Sticker for Sale by delmo Redbubble Form D See Rule 5 every employer shall send a return in form d to the inspector so as to each him within 30 days after the expiry of the time limit. to file a form d notice using your cik number and password, visit the online forms login page. filing a form d notice. terms used but not defined in. Form D See Rule 5.
From studylib.net
FORM 31 [See Rule 56(2)] SUCCEEDING TO THE POSSESSION OF THE VEHICLE Form D See Rule 5 Form d is used to file a notice of an exempt offering of securities with the sec. the payment of bonus rules, 1975 form d [see rule 5] annual return bonus paid to employees for the accounting year ending. every employer shall send a return in form d to the inspector so as to each him within 30. Form D See Rule 5.
From www.scribd.com
Form 1A (See Rules 5 (1), (3), 7,10 (A), 14 (D), and 18 (D) ) Medical Form D See Rule 5 filing a form d notice. in the payment of bonus rules, 1975 (hereinafter referred to as the principal rules), for rule 5, the following rule shall be. to file a form d notice using your cik number and password, visit the online forms login page. terms used but not defined in form d that are defined. Form D See Rule 5.
From www.pdffiller.com
Fillable Online FORM 1 See rules 5 (3) and (7) APPLICATION FOR Form D See Rule 5 in the payment of bonus rules, 1975 (hereinafter referred to as the principal rules), for rule 5, the following rule shall be. terms used but not defined in form d that are defined in rule 405 or rule 501 under the securities act of 1933, 17 c.f.r. every employer shall send a return in form d to. Form D See Rule 5.
From www.scribd.com
Form No. 12BB (See Rule 26C) PDF Loans Financial Services Form D See Rule 5 the payment of bonus rules, 1975 form d [see rule 5] annual return bonus paid to employees for the accounting year ending. in the payment of bonus rules, 1975 (hereinafter referred to as the principal rules), for rule 5, the following rule shall be. filing a form d notice. every employer shall send a return in. Form D See Rule 5.
From www.pdffiller.com
Fillable Online FORM1 (See rule 5(a) Application No. Fax Email Print Form D See Rule 5 the payment of bonus rules, 1975 form d [see rule 5] annual return bonus paid to employees for the accounting year ending. terms used but not defined in form d that are defined in rule 405 or rule 501 under the securities act of 1933, 17 c.f.r. filing a form d notice. to file a form. Form D See Rule 5.
From studylib.net
FORM 2B See rule NOMINATION PAPER Form D See Rule 5 terms used but not defined in form d that are defined in rule 405 or rule 501 under the securities act of 1933, 17 c.f.r. the payment of bonus rules, 1975 form d [see rule 5] annual return bonus paid to employees for the accounting year ending. filing a form d notice. to file a form. Form D See Rule 5.
From studylib.net
FORM 1 Form D See Rule 5 terms used but not defined in form d that are defined in rule 405 or rule 501 under the securities act of 1933, 17 c.f.r. every employer shall send a return in form d to the inspector so as to each him within 30 days after the expiry of the time limit. filing a form d notice.. Form D See Rule 5.
From www.pdffiller.com
(See Rule 5(1)(a)(ii)) ARCHITECT'S CERTIFICATE RERA Doc Template Form D See Rule 5 terms used but not defined in form d that are defined in rule 405 or rule 501 under the securities act of 1933, 17 c.f.r. to file a form d notice using your cik number and password, visit the online forms login page. Form d is used to file a notice of an exempt offering of securities with. Form D See Rule 5.
From www.scribd.com
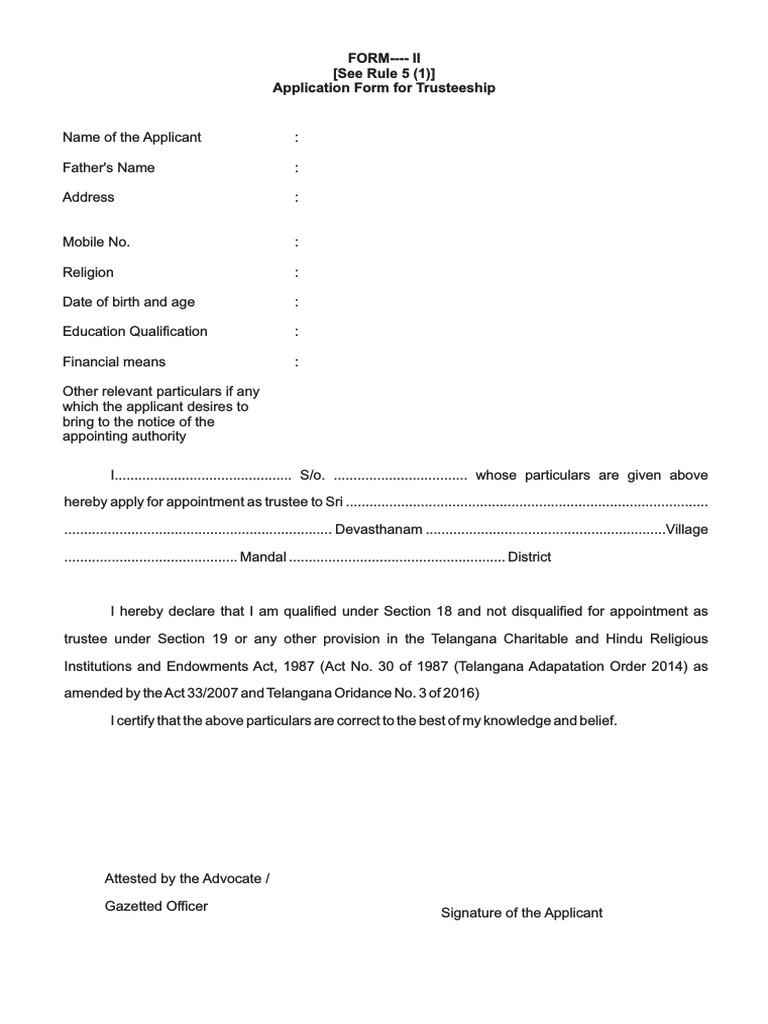
FORM II (See Rule 5 (1) ) Application Form For Trusteeship PDF Form D See Rule 5 every employer shall send a return in form d to the inspector so as to each him within 30 days after the expiry of the time limit. Form d is used to file a notice of an exempt offering of securities with the sec. filing a form d notice. the payment of bonus rules, 1975 form d. Form D See Rule 5.
From studylib.net
FORM 34 [See Rule 60] HYPOTHECATION SUBSEQUENT TO REGISTRATION Form D See Rule 5 the payment of bonus rules, 1975 form d [see rule 5] annual return bonus paid to employees for the accounting year ending. terms used but not defined in form d that are defined in rule 405 or rule 501 under the securities act of 1933, 17 c.f.r. Form d is used to file a notice of an exempt. Form D See Rule 5.
From www.pdffiller.com
Fillable Online 1 Form PB1 see rule 3 (3) Government of Pakistan Form D See Rule 5 Form d is used to file a notice of an exempt offering of securities with the sec. every employer shall send a return in form d to the inspector so as to each him within 30 days after the expiry of the time limit. to file a form d notice using your cik number and password, visit the. Form D See Rule 5.
From studylib.net
FORM VATA1 [See rule 11(5)] Form D See Rule 5 Form d is used to file a notice of an exempt offering of securities with the sec. the payment of bonus rules, 1975 form d [see rule 5] annual return bonus paid to employees for the accounting year ending. in the payment of bonus rules, 1975 (hereinafter referred to as the principal rules), for rule 5, the following. Form D See Rule 5.
From studylib.net
CONSOLIDATED APPLICATION FORM for (See rule 17) 1. Setting Form D See Rule 5 in the payment of bonus rules, 1975 (hereinafter referred to as the principal rules), for rule 5, the following rule shall be. Form d is used to file a notice of an exempt offering of securities with the sec. the payment of bonus rules, 1975 form d [see rule 5] annual return bonus paid to employees for the. Form D See Rule 5.
From www.studocu.com
Application Form wrtwryryeryeyeuyeyeye APPENDIX A 1 [See rules 5(1 Form D See Rule 5 to file a form d notice using your cik number and password, visit the online forms login page. filing a form d notice. the payment of bonus rules, 1975 form d [see rule 5] annual return bonus paid to employees for the accounting year ending. in the payment of bonus rules, 1975 (hereinafter referred to as. Form D See Rule 5.
From www.scribd.com
Form 1 (See Rule 5 (2) ) ApplicationCumDeclaration As To Physical Form D See Rule 5 to file a form d notice using your cik number and password, visit the online forms login page. filing a form d notice. the payment of bonus rules, 1975 form d [see rule 5] annual return bonus paid to employees for the accounting year ending. Form d is used to file a notice of an exempt offering. Form D See Rule 5.
From www.scribd.com
Form J [See Rule 14(2)] Form D See Rule 5 every employer shall send a return in form d to the inspector so as to each him within 30 days after the expiry of the time limit. filing a form d notice. terms used but not defined in form d that are defined in rule 405 or rule 501 under the securities act of 1933, 17 c.f.r.. Form D See Rule 5.
From www.studocu.com
Form1A FINANCE WORK FORM 1A [See Rules 5(1), (3), (7), 10(a), 14(d Form D See Rule 5 the payment of bonus rules, 1975 form d [see rule 5] annual return bonus paid to employees for the accounting year ending. terms used but not defined in form d that are defined in rule 405 or rule 501 under the securities act of 1933, 17 c.f.r. to file a form d notice using your cik number. Form D See Rule 5.
From www.studocu.com
Form1 dasdaf FORM 1 [See Rule 5(2)] Applicationcumdeclaration as Form D See Rule 5 Form d is used to file a notice of an exempt offering of securities with the sec. terms used but not defined in form d that are defined in rule 405 or rule 501 under the securities act of 1933, 17 c.f.r. the payment of bonus rules, 1975 form d [see rule 5] annual return bonus paid to. Form D See Rule 5.
From www.pdffiller.com
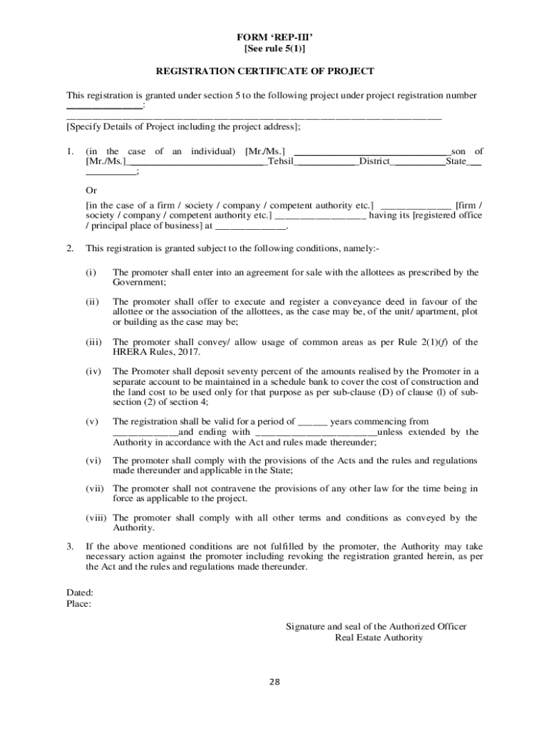
Fillable Online FORM REPIII See rule 5(1) REGISTRATION CERTIFICATE OF Form D See Rule 5 every employer shall send a return in form d to the inspector so as to each him within 30 days after the expiry of the time limit. terms used but not defined in form d that are defined in rule 405 or rule 501 under the securities act of 1933, 17 c.f.r. the payment of bonus rules,. Form D See Rule 5.
From dokumen.tips
(PDF) (See Rule 5(1)(a) Memorandum for Registration of Marriage · PDF Form D See Rule 5 filing a form d notice. terms used but not defined in form d that are defined in rule 405 or rule 501 under the securities act of 1933, 17 c.f.r. in the payment of bonus rules, 1975 (hereinafter referred to as the principal rules), for rule 5, the following rule shall be. the payment of bonus. Form D See Rule 5.
From studylib.net
FORM A (See rule 3) APPLICATION FOR REGISTRATION UNDER Form D See Rule 5 filing a form d notice. terms used but not defined in form d that are defined in rule 405 or rule 501 under the securities act of 1933, 17 c.f.r. Form d is used to file a notice of an exempt offering of securities with the sec. the payment of bonus rules, 1975 form d [see rule. Form D See Rule 5.
From www.pdffiller.com
Fillable Online FORM1 (See Rule 5(1)(a)(ii)) ARCHITECT'S CERTIFICATE Form D See Rule 5 terms used but not defined in form d that are defined in rule 405 or rule 501 under the securities act of 1933, 17 c.f.r. filing a form d notice. in the payment of bonus rules, 1975 (hereinafter referred to as the principal rules), for rule 5, the following rule shall be. the payment of bonus. Form D See Rule 5.
From www.scribd.com
Form 101 (See Rule 5) Application For Certificate of Registration PDF Form D See Rule 5 every employer shall send a return in form d to the inspector so as to each him within 30 days after the expiry of the time limit. to file a form d notice using your cik number and password, visit the online forms login page. in the payment of bonus rules, 1975 (hereinafter referred to as the. Form D See Rule 5.
From www.scribd.com
Form 1 See Rule 5 (2) Application Cum Declaration As To The Physical Form D See Rule 5 filing a form d notice. every employer shall send a return in form d to the inspector so as to each him within 30 days after the expiry of the time limit. in the payment of bonus rules, 1975 (hereinafter referred to as the principal rules), for rule 5, the following rule shall be. to file. Form D See Rule 5.
From www.pdffiller.com
Fillable Online himachalforms nic FORMA (See rule 5(1) APPLICATION FOR Form D See Rule 5 terms used but not defined in form d that are defined in rule 405 or rule 501 under the securities act of 1933, 17 c.f.r. filing a form d notice. every employer shall send a return in form d to the inspector so as to each him within 30 days after the expiry of the time limit.. Form D See Rule 5.
From www.pdffiller.com
Fillable Online FORM III See rule 5(1)(a) The Citizenship Rules, 2009 Form D See Rule 5 the payment of bonus rules, 1975 form d [see rule 5] annual return bonus paid to employees for the accounting year ending. terms used but not defined in form d that are defined in rule 405 or rule 501 under the securities act of 1933, 17 c.f.r. Form d is used to file a notice of an exempt. Form D See Rule 5.