Calculation Of Standard Reduction Potential . What are the differences between the standard reduction potential and standard oxidation. Standard reduction potentials by value.  theoretical calculation of reduction potentials, j. Standard reduction potential can be calculated using various. The following table provides eo for selected. Calculate cell potentials and predict redox.   what does the standard reduction potential measure?   how do you calculate standard reduction potential?  the standard cell potential, e cell, can be determined by subtracting the standard reduction potential for the reaction.  the standard reduction potential can be determined by subtracting the standard reduction potential for the reaction occurring at the anode from the standard.  interpret electrode potentials in terms of relative oxidant and reductant strengths.  183 rows  p2:   the standard reduction potential can be determined by subtracting the standard reduction potential for the.
        
         
         
        from askfilo.com 
     
        
        Standard reduction potential can be calculated using various.   how do you calculate standard reduction potential?  the standard cell potential, e cell, can be determined by subtracting the standard reduction potential for the reaction.  theoretical calculation of reduction potentials, j. Standard reduction potentials by value.   what does the standard reduction potential measure?  interpret electrode potentials in terms of relative oxidant and reductant strengths.  183 rows  p2: What are the differences between the standard reduction potential and standard oxidation.  the standard reduction potential can be determined by subtracting the standard reduction potential for the reaction occurring at the anode from the standard.
    
    	
            
	
		 
	 
         
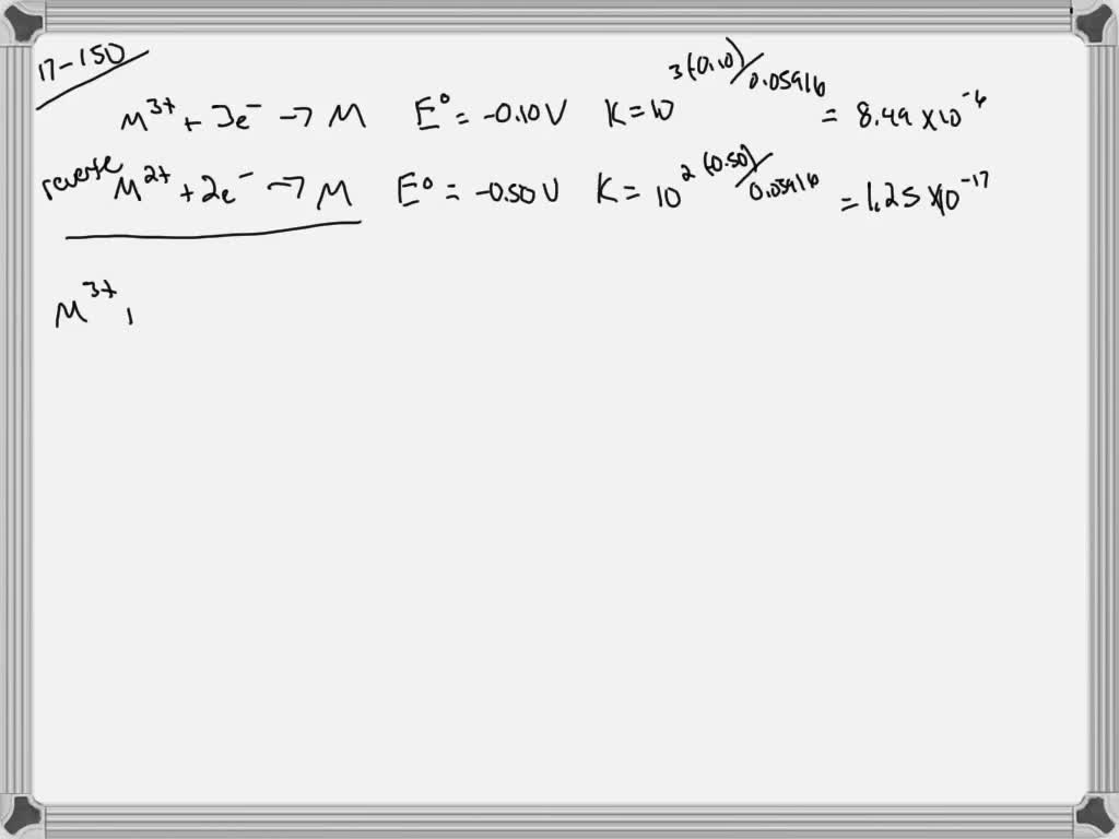
    The standard reduction potential for Cu2+/Cu is +0.34 V. Calculate the re.. 
    Calculation Of Standard Reduction Potential  What are the differences between the standard reduction potential and standard oxidation.  the standard cell potential, e cell, can be determined by subtracting the standard reduction potential for the reaction.  the standard reduction potential can be determined by subtracting the standard reduction potential for the reaction occurring at the anode from the standard.   the standard reduction potential can be determined by subtracting the standard reduction potential for the.  183 rows  p2: Standard reduction potentials by value.  interpret electrode potentials in terms of relative oxidant and reductant strengths.  theoretical calculation of reduction potentials, j.   what does the standard reduction potential measure?   how do you calculate standard reduction potential? Calculate cell potentials and predict redox. The following table provides eo for selected. Standard reduction potential can be calculated using various. What are the differences between the standard reduction potential and standard oxidation.
            
	
		 
	 
         
 
    
         
        From www.youtube.com 
                    The standard reduction potential for `Cu^(2+)Cu` is `+0.34V Calculation Of Standard Reduction Potential  Standard reduction potential can be calculated using various.  the standard cell potential, e cell, can be determined by subtracting the standard reduction potential for the reaction.   what does the standard reduction potential measure?  interpret electrode potentials in terms of relative oxidant and reductant strengths. The following table provides eo for selected. Standard reduction potentials by value. . Calculation Of Standard Reduction Potential.
     
    
         
        From www.numerade.com 
                    SOLVED Table 2. Table of Selected Standard Reduction Potentials at 25Â Calculation Of Standard Reduction Potential  Standard reduction potentials by value.  interpret electrode potentials in terms of relative oxidant and reductant strengths. The following table provides eo for selected.  the standard cell potential, e cell, can be determined by subtracting the standard reduction potential for the reaction.   what does the standard reduction potential measure?   how do you calculate standard reduction potential? Standard. Calculation Of Standard Reduction Potential.
     
    
         
        From www.nagwa.com 
                    Question Video Calculating the Standard Reduction Potential of an Calculation Of Standard Reduction Potential    the standard reduction potential can be determined by subtracting the standard reduction potential for the. Standard reduction potentials by value.  183 rows  p2: Calculate cell potentials and predict redox. Standard reduction potential can be calculated using various.  the standard reduction potential can be determined by subtracting the standard reduction potential for the reaction occurring at the anode. Calculation Of Standard Reduction Potential.
     
    
         
        From www.coursehero.com 
                    [Solved] Use the standard reduction potentials located in the 'Tables Calculation Of Standard Reduction Potential   interpret electrode potentials in terms of relative oxidant and reductant strengths. Calculate cell potentials and predict redox.  the standard cell potential, e cell, can be determined by subtracting the standard reduction potential for the reaction. Standard reduction potential can be calculated using various.   what does the standard reduction potential measure? What are the differences between the standard. Calculation Of Standard Reduction Potential.
     
    
         
        From www.numerade.com 
                    SOLVEDGiven the standard reduction potential for Zn(OH)4^2 Zn(OH)4 Calculation Of Standard Reduction Potential    how do you calculate standard reduction potential? Standard reduction potentials by value.  the standard reduction potential can be determined by subtracting the standard reduction potential for the reaction occurring at the anode from the standard. Standard reduction potential can be calculated using various. What are the differences between the standard reduction potential and standard oxidation.   what does. Calculation Of Standard Reduction Potential.
     
    
         
        From www.youtube.com 
                    Calculate Standard Reduction Potential From Half Reactions YouTube Calculation Of Standard Reduction Potential   the standard cell potential, e cell, can be determined by subtracting the standard reduction potential for the reaction. Standard reduction potential can be calculated using various. Calculate cell potentials and predict redox.  183 rows  p2:  the standard reduction potential can be determined by subtracting the standard reduction potential for the reaction occurring at the anode from the. Calculation Of Standard Reduction Potential.
     
    
         
        From www.numerade.com 
                    SOLVED Two reduction potential reactions and their standard reduction Calculation Of Standard Reduction Potential    the standard reduction potential can be determined by subtracting the standard reduction potential for the.  the standard reduction potential can be determined by subtracting the standard reduction potential for the reaction occurring at the anode from the standard. Standard reduction potential can be calculated using various. The following table provides eo for selected. Standard reduction potentials by value.. Calculation Of Standard Reduction Potential.
     
    
         
        From www.chegg.com 
                    Solved Standard Reduction Potential Table (at 25°C, 101kPa, Calculation Of Standard Reduction Potential   the standard reduction potential can be determined by subtracting the standard reduction potential for the reaction occurring at the anode from the standard.  the standard cell potential, e cell, can be determined by subtracting the standard reduction potential for the reaction.  theoretical calculation of reduction potentials, j. The following table provides eo for selected.  interpret electrode. Calculation Of Standard Reduction Potential.
     
    
         
        From www.slideserve.com 
                    PPT STANDARD REDUCTION POTENTIAL PowerPoint Presentation, free Calculation Of Standard Reduction Potential    what does the standard reduction potential measure?  the standard cell potential, e cell, can be determined by subtracting the standard reduction potential for the reaction.   how do you calculate standard reduction potential?  theoretical calculation of reduction potentials, j. Standard reduction potential can be calculated using various.   the standard reduction potential can be determined by subtracting. Calculation Of Standard Reduction Potential.
     
    
         
        From www.thetechedvocate.org 
                    How to Calculate Standard Reduction Potential The Tech Edvocate Calculation Of Standard Reduction Potential  Calculate cell potentials and predict redox.  183 rows  p2:   the standard reduction potential can be determined by subtracting the standard reduction potential for the.  the standard reduction potential can be determined by subtracting the standard reduction potential for the reaction occurring at the anode from the standard.   how do you calculate standard reduction potential? Standard reduction. Calculation Of Standard Reduction Potential.
     
    
         
        From www.numerade.com 
                    SOLVED Selective Reduction The standard reduction potential for the Calculation Of Standard Reduction Potential    what does the standard reduction potential measure? The following table provides eo for selected.  interpret electrode potentials in terms of relative oxidant and reductant strengths.   the standard reduction potential can be determined by subtracting the standard reduction potential for the.   how do you calculate standard reduction potential?  the standard reduction potential can be determined by. Calculation Of Standard Reduction Potential.
     
    
         
        From www.slideserve.com 
                    PPT Chapter 17 Electrochemistry PowerPoint Presentation, free Calculation Of Standard Reduction Potential   183 rows  p2: Calculate cell potentials and predict redox. Standard reduction potential can be calculated using various. The following table provides eo for selected.  interpret electrode potentials in terms of relative oxidant and reductant strengths.  the standard reduction potential can be determined by subtracting the standard reduction potential for the reaction occurring at the anode from the. Calculation Of Standard Reduction Potential.
     
    
         
        From byjus.com 
                    2 The standard half reduction potential of Ag+Ag is 0.79V is 25^° C Calculation Of Standard Reduction Potential  The following table provides eo for selected.   what does the standard reduction potential measure? Standard reduction potential can be calculated using various.  the standard cell potential, e cell, can be determined by subtracting the standard reduction potential for the reaction. Calculate cell potentials and predict redox.  interpret electrode potentials in terms of relative oxidant and reductant strengths.. Calculation Of Standard Reduction Potential.
     
    
         
        From www.youtube.com 
                    Standard Reduction Potential YouTube Calculation Of Standard Reduction Potential   interpret electrode potentials in terms of relative oxidant and reductant strengths. The following table provides eo for selected.   how do you calculate standard reduction potential? Standard reduction potential can be calculated using various. What are the differences between the standard reduction potential and standard oxidation.  the standard cell potential, e cell, can be determined by subtracting the. Calculation Of Standard Reduction Potential.
     
    
         
        From ar.inspiredpencil.com 
                    Standard Reduction Potential Table Calculation Of Standard Reduction Potential    what does the standard reduction potential measure?  the standard reduction potential can be determined by subtracting the standard reduction potential for the reaction occurring at the anode from the standard. Standard reduction potentials by value.  183 rows  p2:  the standard cell potential, e cell, can be determined by subtracting the standard reduction potential for the reaction.. Calculation Of Standard Reduction Potential.
     
    
         
        From www.chegg.com 
                    Solved Use standard reduction potentials to calculate the Calculation Of Standard Reduction Potential    how do you calculate standard reduction potential?  theoretical calculation of reduction potentials, j.  the standard reduction potential can be determined by subtracting the standard reduction potential for the reaction occurring at the anode from the standard.   what does the standard reduction potential measure? Standard reduction potential can be calculated using various.  interpret electrode potentials in. Calculation Of Standard Reduction Potential.
     
    
         
        From mungfali.com 
                    Standard Reduction Potentials Table Calculation Of Standard Reduction Potential  Calculate cell potentials and predict redox.  theoretical calculation of reduction potentials, j. What are the differences between the standard reduction potential and standard oxidation.   how do you calculate standard reduction potential?  the standard reduction potential can be determined by subtracting the standard reduction potential for the reaction occurring at the anode from the standard.   the standard. Calculation Of Standard Reduction Potential.
     
    
         
        From askfilo.com 
                    The standard reduction potential for Cu2+/Cu is +0.34 V. Calculate the re.. Calculation Of Standard Reduction Potential    the standard reduction potential can be determined by subtracting the standard reduction potential for the.   how do you calculate standard reduction potential?  the standard reduction potential can be determined by subtracting the standard reduction potential for the reaction occurring at the anode from the standard. Standard reduction potential can be calculated using various.  theoretical calculation of. Calculation Of Standard Reduction Potential.
     
    
         
        From www.pveducation.org 
                    Standard Potential PVEducation Calculation Of Standard Reduction Potential   the standard cell potential, e cell, can be determined by subtracting the standard reduction potential for the reaction. Calculate cell potentials and predict redox.   what does the standard reduction potential measure? Standard reduction potential can be calculated using various. What are the differences between the standard reduction potential and standard oxidation.  interpret electrode potentials in terms of. Calculation Of Standard Reduction Potential.
     
    
         
        From www.toppr.com 
                    The standard reduction potential at 25^∘C of the reaction 2H2O + 2e^→ Calculation Of Standard Reduction Potential    how do you calculate standard reduction potential?  the standard cell potential, e cell, can be determined by subtracting the standard reduction potential for the reaction.  theoretical calculation of reduction potentials, j. Standard reduction potential can be calculated using various. Calculate cell potentials and predict redox. Standard reduction potentials by value.  the standard reduction potential can be. Calculation Of Standard Reduction Potential.
     
    
         
        From solvedlib.com 
                    Use standard reduction potentials to calculate the eq… SolvedLib Calculation Of Standard Reduction Potential  The following table provides eo for selected. Standard reduction potential can be calculated using various.   the standard reduction potential can be determined by subtracting the standard reduction potential for the.  183 rows  p2: Calculate cell potentials and predict redox.  the standard cell potential, e cell, can be determined by subtracting the standard reduction potential for the reaction.. Calculation Of Standard Reduction Potential.
     
    
         
        From www.numerade.com 
                    SOLVEDUsing standard reduction potentials (Appendix E), calculate the Calculation Of Standard Reduction Potential  Calculate cell potentials and predict redox.  theoretical calculation of reduction potentials, j.  183 rows  p2:  the standard reduction potential can be determined by subtracting the standard reduction potential for the reaction occurring at the anode from the standard. The following table provides eo for selected. Standard reduction potential can be calculated using various.   how do you. Calculation Of Standard Reduction Potential.
     
    
         
        From solvedlib.com 
                    Using the standard reduction potentials, calculate th… SolvedLib Calculation Of Standard Reduction Potential    how do you calculate standard reduction potential?  interpret electrode potentials in terms of relative oxidant and reductant strengths.   what does the standard reduction potential measure?  the standard reduction potential can be determined by subtracting the standard reduction potential for the reaction occurring at the anode from the standard.   the standard reduction potential can be determined. Calculation Of Standard Reduction Potential.
     
    
         
        From byjus.com 
                    The standard reduction potential of the reaction at 25^° C ,Н2О + e Calculation Of Standard Reduction Potential   the standard reduction potential can be determined by subtracting the standard reduction potential for the reaction occurring at the anode from the standard. The following table provides eo for selected.  183 rows  p2:  the standard cell potential, e cell, can be determined by subtracting the standard reduction potential for the reaction. What are the differences between the. Calculation Of Standard Reduction Potential.
     
    
         
        From rayb78.github.io 
                    Standard Reduction Potentials Chart Calculation Of Standard Reduction Potential   the standard cell potential, e cell, can be determined by subtracting the standard reduction potential for the reaction. The following table provides eo for selected. Calculate cell potentials and predict redox. What are the differences between the standard reduction potential and standard oxidation.   what does the standard reduction potential measure? Standard reduction potentials by value.   the standard. Calculation Of Standard Reduction Potential.
     
    
         
        From www.chegg.com 
                    Solved = Here is a table of Standard Reduction potential Calculation Of Standard Reduction Potential   the standard cell potential, e cell, can be determined by subtracting the standard reduction potential for the reaction.  183 rows  p2:  theoretical calculation of reduction potentials, j.   how do you calculate standard reduction potential? Calculate cell potentials and predict redox. Standard reduction potentials by value.   the standard reduction potential can be determined by subtracting the. Calculation Of Standard Reduction Potential.
     
    
         
        From www.chegg.com 
                    Solved 2) A table of standard reduction potential gives Calculation Of Standard Reduction Potential  Standard reduction potentials by value.  183 rows  p2:  theoretical calculation of reduction potentials, j.   the standard reduction potential can be determined by subtracting the standard reduction potential for the. Calculate cell potentials and predict redox. The following table provides eo for selected. Standard reduction potential can be calculated using various.   how do you calculate standard reduction. Calculation Of Standard Reduction Potential.
     
    
         
        From heberlikes.blogspot.com 
                    Standard Reduction Potential Reduction potential (also known as redox Calculation Of Standard Reduction Potential  Standard reduction potentials by value.  the standard reduction potential can be determined by subtracting the standard reduction potential for the reaction occurring at the anode from the standard. Calculate cell potentials and predict redox.  theoretical calculation of reduction potentials, j.   how do you calculate standard reduction potential?   what does the standard reduction potential measure? What are. Calculation Of Standard Reduction Potential.
     
    
         
        From pubs.acs.org 
                    Standard Reduction Potentials for Oxygen and Carbon Dioxide Couples in Calculation Of Standard Reduction Potential  Standard reduction potentials by value.   what does the standard reduction potential measure?  interpret electrode potentials in terms of relative oxidant and reductant strengths.  the standard reduction potential can be determined by subtracting the standard reduction potential for the reaction occurring at the anode from the standard. What are the differences between the standard reduction potential and standard. Calculation Of Standard Reduction Potential.
     
    
         
        From rayb78.github.io 
                    Standard Reduction Potentials Chart Calculation Of Standard Reduction Potential   the standard cell potential, e cell, can be determined by subtracting the standard reduction potential for the reaction. The following table provides eo for selected.   how do you calculate standard reduction potential? What are the differences between the standard reduction potential and standard oxidation. Calculate cell potentials and predict redox.  theoretical calculation of reduction potentials, j. . Calculation Of Standard Reduction Potential.
     
    
         
        From oneclass.com 
                    OneClass Given the following halfreactions and their respective Calculation Of Standard Reduction Potential  Standard reduction potentials by value. Calculate cell potentials and predict redox.   what does the standard reduction potential measure?   how do you calculate standard reduction potential? The following table provides eo for selected.  183 rows  p2:  theoretical calculation of reduction potentials, j.   the standard reduction potential can be determined by subtracting the standard reduction potential for. Calculation Of Standard Reduction Potential.
     
    
         
        From www.numerade.com 
                    SOLVEDa. Calculate the standard reduction potential of substance A Calculation Of Standard Reduction Potential   interpret electrode potentials in terms of relative oxidant and reductant strengths. The following table provides eo for selected. Standard reduction potential can be calculated using various.   how do you calculate standard reduction potential?   the standard reduction potential can be determined by subtracting the standard reduction potential for the.   what does the standard reduction potential measure? . Calculation Of Standard Reduction Potential.
     
    
         
        From byjus.com 
                    32. Ksp of AGI is 16. Standard reduction electrode potential of Ag is 0 Calculation Of Standard Reduction Potential  The following table provides eo for selected.   what does the standard reduction potential measure? Standard reduction potentials by value.  theoretical calculation of reduction potentials, j.  interpret electrode potentials in terms of relative oxidant and reductant strengths. What are the differences between the standard reduction potential and standard oxidation.   the standard reduction potential can be determined by. Calculation Of Standard Reduction Potential.
     
    
         
        From www.flinnsci.com 
                    Standard Reduction Potential Charts for Chemistry Calculation Of Standard Reduction Potential  The following table provides eo for selected.   what does the standard reduction potential measure? Calculate cell potentials and predict redox. What are the differences between the standard reduction potential and standard oxidation. Standard reduction potentials by value.  the standard cell potential, e cell, can be determined by subtracting the standard reduction potential for the reaction.  theoretical calculation. Calculation Of Standard Reduction Potential.
     
    
         
        From solvedlib.com 
                    Use standard reduction potentials to calculate the eq… SolvedLib Calculation Of Standard Reduction Potential  The following table provides eo for selected. Calculate cell potentials and predict redox.  the standard cell potential, e cell, can be determined by subtracting the standard reduction potential for the reaction.  the standard reduction potential can be determined by subtracting the standard reduction potential for the reaction occurring at the anode from the standard.   how do you. Calculation Of Standard Reduction Potential.