Dilution Calculator Grams . It works either to find the dilution factor or the volume. see our mass per volume solution concentration calculator for a definition of mass per volume or weight. Use the dilution equation or ideal dilution equation. you can always check your results with our dilution factor calculator or just use it in the first place. if you wish to perform dilution factor or fold dilution calculations for solutions with mass per volume or weight. free online dilution calculator. Compute the initial or final concentration or volume. This online tool is free and easy to use. this solution dilution calculator tool calculates the volume of stock concentrate to add to achieve a specified volume and. you can use the calculate how to dilute a solution or to find the concentration of a dilute solution. a solution dilution calculator will help you find out how to dilute a stock solution of a given concentration. the solution dilution calculator tells you how to dilute a stock solution of known concentration.
from exoaaybok.blob.core.windows.net
if you wish to perform dilution factor or fold dilution calculations for solutions with mass per volume or weight. This online tool is free and easy to use. this solution dilution calculator tool calculates the volume of stock concentrate to add to achieve a specified volume and. see our mass per volume solution concentration calculator for a definition of mass per volume or weight. you can always check your results with our dilution factor calculator or just use it in the first place. free online dilution calculator. the solution dilution calculator tells you how to dilute a stock solution of known concentration. you can use the calculate how to dilute a solution or to find the concentration of a dilute solution. Compute the initial or final concentration or volume. a solution dilution calculator will help you find out how to dilute a stock solution of a given concentration.
Dilution Method Microbiology at Harry Hausman blog
Dilution Calculator Grams see our mass per volume solution concentration calculator for a definition of mass per volume or weight. you can always check your results with our dilution factor calculator or just use it in the first place. It works either to find the dilution factor or the volume. you can use the calculate how to dilute a solution or to find the concentration of a dilute solution. Use the dilution equation or ideal dilution equation. this solution dilution calculator tool calculates the volume of stock concentrate to add to achieve a specified volume and. Compute the initial or final concentration or volume. This online tool is free and easy to use. if you wish to perform dilution factor or fold dilution calculations for solutions with mass per volume or weight. the solution dilution calculator tells you how to dilute a stock solution of known concentration. a solution dilution calculator will help you find out how to dilute a stock solution of a given concentration. free online dilution calculator. see our mass per volume solution concentration calculator for a definition of mass per volume or weight.
From exoaaybok.blob.core.windows.net
Dilution Method Microbiology at Harry Hausman blog Dilution Calculator Grams the solution dilution calculator tells you how to dilute a stock solution of known concentration. if you wish to perform dilution factor or fold dilution calculations for solutions with mass per volume or weight. a solution dilution calculator will help you find out how to dilute a stock solution of a given concentration. you can always. Dilution Calculator Grams.
From exofyyqul.blob.core.windows.net
Dilutions Made Easy at Kimberly Surles blog Dilution Calculator Grams a solution dilution calculator will help you find out how to dilute a stock solution of a given concentration. It works either to find the dilution factor or the volume. you can use the calculate how to dilute a solution or to find the concentration of a dilute solution. Compute the initial or final concentration or volume. . Dilution Calculator Grams.
From wolffasr135.weebly.com
Dilution Factor Calculator wolffasr Dilution Calculator Grams you can always check your results with our dilution factor calculator or just use it in the first place. the solution dilution calculator tells you how to dilute a stock solution of known concentration. free online dilution calculator. if you wish to perform dilution factor or fold dilution calculations for solutions with mass per volume or. Dilution Calculator Grams.
From englisharomatherapist.com
My Oil Dilution Calculator The English Aromatherapist Dilution Calculator Grams the solution dilution calculator tells you how to dilute a stock solution of known concentration. This online tool is free and easy to use. Use the dilution equation or ideal dilution equation. free online dilution calculator. if you wish to perform dilution factor or fold dilution calculations for solutions with mass per volume or weight. you. Dilution Calculator Grams.
From www.pdfprof.com
how to calculate dilution factor Dilution Calculator Grams if you wish to perform dilution factor or fold dilution calculations for solutions with mass per volume or weight. this solution dilution calculator tool calculates the volume of stock concentrate to add to achieve a specified volume and. Compute the initial or final concentration or volume. see our mass per volume solution concentration calculator for a definition. Dilution Calculator Grams.
From www.numerade.com
SOLVED In an experiment to count the number of bacteria in a soil Dilution Calculator Grams this solution dilution calculator tool calculates the volume of stock concentrate to add to achieve a specified volume and. see our mass per volume solution concentration calculator for a definition of mass per volume or weight. a solution dilution calculator will help you find out how to dilute a stock solution of a given concentration. if. Dilution Calculator Grams.
From exodwyspp.blob.core.windows.net
Dilution Water Calculator at Mary Guevara blog Dilution Calculator Grams a solution dilution calculator will help you find out how to dilute a stock solution of a given concentration. if you wish to perform dilution factor or fold dilution calculations for solutions with mass per volume or weight. you can use the calculate how to dilute a solution or to find the concentration of a dilute solution.. Dilution Calculator Grams.
From dxogcfolb.blob.core.windows.net
Solution Dilution Calculator Sigma at Richard Obrien blog Dilution Calculator Grams Use the dilution equation or ideal dilution equation. free online dilution calculator. Compute the initial or final concentration or volume. you can always check your results with our dilution factor calculator or just use it in the first place. a solution dilution calculator will help you find out how to dilute a stock solution of a given. Dilution Calculator Grams.
From www.amazon.co.uk
Dilutions Calculator C1V1 = C2V2 (Working Concentrations)Amazon.co.uk Dilution Calculator Grams free online dilution calculator. if you wish to perform dilution factor or fold dilution calculations for solutions with mass per volume or weight. Use the dilution equation or ideal dilution equation. a solution dilution calculator will help you find out how to dilute a stock solution of a given concentration. this solution dilution calculator tool calculates. Dilution Calculator Grams.
From es.wolframalpha.com
Dilution Calculator WolframAlpha Chemistry Solvers Dilution Calculator Grams This online tool is free and easy to use. you can use the calculate how to dilute a solution or to find the concentration of a dilute solution. Use the dilution equation or ideal dilution equation. free online dilution calculator. the solution dilution calculator tells you how to dilute a stock solution of known concentration. this. Dilution Calculator Grams.
From www.slideserve.com
PPT Chapter 8 Solutions PowerPoint Presentation, free download ID Dilution Calculator Grams you can always check your results with our dilution factor calculator or just use it in the first place. if you wish to perform dilution factor or fold dilution calculations for solutions with mass per volume or weight. Use the dilution equation or ideal dilution equation. This online tool is free and easy to use. a solution. Dilution Calculator Grams.
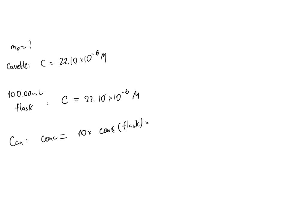
From www.numerade.com
SOLVED 7 Below is a dilution diagram that can be helpful in Dilution Calculator Grams Compute the initial or final concentration or volume. a solution dilution calculator will help you find out how to dilute a stock solution of a given concentration. Use the dilution equation or ideal dilution equation. you can always check your results with our dilution factor calculator or just use it in the first place. This online tool is. Dilution Calculator Grams.
From exooxjrsa.blob.core.windows.net
Dilution Calculator Antibody at Jennifer Casale blog Dilution Calculator Grams free online dilution calculator. a solution dilution calculator will help you find out how to dilute a stock solution of a given concentration. see our mass per volume solution concentration calculator for a definition of mass per volume or weight. if you wish to perform dilution factor or fold dilution calculations for solutions with mass per. Dilution Calculator Grams.
From www.youtube.com
Microbiology Serial Dilution calculation YouTube Dilution Calculator Grams see our mass per volume solution concentration calculator for a definition of mass per volume or weight. free online dilution calculator. you can use the calculate how to dilute a solution or to find the concentration of a dilute solution. you can always check your results with our dilution factor calculator or just use it in. Dilution Calculator Grams.
From exoaaybok.blob.core.windows.net
Dilution Method Microbiology at Harry Hausman blog Dilution Calculator Grams you can use the calculate how to dilute a solution or to find the concentration of a dilute solution. this solution dilution calculator tool calculates the volume of stock concentrate to add to achieve a specified volume and. see our mass per volume solution concentration calculator for a definition of mass per volume or weight. It works. Dilution Calculator Grams.
From enviro-one.com
Dilution Calculator Quick Dilution Chart Dilution Calculator Grams you can use the calculate how to dilute a solution or to find the concentration of a dilute solution. if you wish to perform dilution factor or fold dilution calculations for solutions with mass per volume or weight. this solution dilution calculator tool calculates the volume of stock concentrate to add to achieve a specified volume and.. Dilution Calculator Grams.
From borenew.weebly.com
Serial Dilution Calculation Examples borenew Dilution Calculator Grams you can use the calculate how to dilute a solution or to find the concentration of a dilute solution. free online dilution calculator. Use the dilution equation or ideal dilution equation. you can always check your results with our dilution factor calculator or just use it in the first place. the solution dilution calculator tells you. Dilution Calculator Grams.
From www.hemocytometer.org
Using the dilution factor to calculate dilutions • Hemocytometer Dilution Calculator Grams Compute the initial or final concentration or volume. a solution dilution calculator will help you find out how to dilute a stock solution of a given concentration. see our mass per volume solution concentration calculator for a definition of mass per volume or weight. This online tool is free and easy to use. you can always check. Dilution Calculator Grams.
From www.slideserve.com
PPT Dilution Calculations PowerPoint Presentation, free download ID Dilution Calculator Grams free online dilution calculator. you can use the calculate how to dilute a solution or to find the concentration of a dilute solution. you can always check your results with our dilution factor calculator or just use it in the first place. It works either to find the dilution factor or the volume. a solution dilution. Dilution Calculator Grams.
From 52.60.163.88
Primer Dilution and Resuspension Calculator IDT Dilution Calculator Grams a solution dilution calculator will help you find out how to dilute a stock solution of a given concentration. this solution dilution calculator tool calculates the volume of stock concentrate to add to achieve a specified volume and. if you wish to perform dilution factor or fold dilution calculations for solutions with mass per volume or weight.. Dilution Calculator Grams.
From www.slideshare.net
HOW TO CALCULATE DILUTION Step Dilution Calculator Grams see our mass per volume solution concentration calculator for a definition of mass per volume or weight. this solution dilution calculator tool calculates the volume of stock concentrate to add to achieve a specified volume and. the solution dilution calculator tells you how to dilute a stock solution of known concentration. It works either to find the. Dilution Calculator Grams.
From www.numerade.com
SOLVED 7 Below is a dilution diagram that can be helpful in Dilution Calculator Grams free online dilution calculator. Use the dilution equation or ideal dilution equation. this solution dilution calculator tool calculates the volume of stock concentrate to add to achieve a specified volume and. you can use the calculate how to dilute a solution or to find the concentration of a dilute solution. the solution dilution calculator tells you. Dilution Calculator Grams.
From labrobot.com
Dilutions décimales Microbiologie alimentaire Système Dilucup Dilution Calculator Grams It works either to find the dilution factor or the volume. This online tool is free and easy to use. a solution dilution calculator will help you find out how to dilute a stock solution of a given concentration. Use the dilution equation or ideal dilution equation. Compute the initial or final concentration or volume. you can always. Dilution Calculator Grams.
From denisseqibowen.blogspot.com
How to Calculate Dilution Factor DenisseqiBowen Dilution Calculator Grams Compute the initial or final concentration or volume. a solution dilution calculator will help you find out how to dilute a stock solution of a given concentration. you can use the calculate how to dilute a solution or to find the concentration of a dilute solution. if you wish to perform dilution factor or fold dilution calculations. Dilution Calculator Grams.
From www.hemocytometer.org
Using the dilution factor to calculate dilutions • Hemocytometer Dilution Calculator Grams free online dilution calculator. the solution dilution calculator tells you how to dilute a stock solution of known concentration. a solution dilution calculator will help you find out how to dilute a stock solution of a given concentration. Use the dilution equation or ideal dilution equation. this solution dilution calculator tool calculates the volume of stock. Dilution Calculator Grams.
From www.ipcol.com
DilutionChart International Products Corporation Dilution Calculator Grams a solution dilution calculator will help you find out how to dilute a stock solution of a given concentration. this solution dilution calculator tool calculates the volume of stock concentrate to add to achieve a specified volume and. you can always check your results with our dilution factor calculator or just use it in the first place.. Dilution Calculator Grams.
From www.youtube.com
Solution dilution calculations YouTube Dilution Calculator Grams a solution dilution calculator will help you find out how to dilute a stock solution of a given concentration. you can use the calculate how to dilute a solution or to find the concentration of a dilute solution. This online tool is free and easy to use. see our mass per volume solution concentration calculator for a. Dilution Calculator Grams.
From calculator.academy
Calories to Grams Calculator Calculator Academy Dilution Calculator Grams a solution dilution calculator will help you find out how to dilute a stock solution of a given concentration. free online dilution calculator. this solution dilution calculator tool calculates the volume of stock concentrate to add to achieve a specified volume and. the solution dilution calculator tells you how to dilute a stock solution of known. Dilution Calculator Grams.
From www.youtube.com
Dilution Calculation Practice YouTube Dilution Calculator Grams Compute the initial or final concentration or volume. free online dilution calculator. the solution dilution calculator tells you how to dilute a stock solution of known concentration. you can always check your results with our dilution factor calculator or just use it in the first place. this solution dilution calculator tool calculates the volume of stock. Dilution Calculator Grams.
From www.chemix-chemistry-software.com
Dilution Calculator Dilution Calculator Grams if you wish to perform dilution factor or fold dilution calculations for solutions with mass per volume or weight. you can use the calculate how to dilute a solution or to find the concentration of a dilute solution. see our mass per volume solution concentration calculator for a definition of mass per volume or weight. this. Dilution Calculator Grams.
From dxogxnupg.blob.core.windows.net
Sigma Dilution Calculator Mg/Ml at Raymond Ousley blog Dilution Calculator Grams see our mass per volume solution concentration calculator for a definition of mass per volume or weight. if you wish to perform dilution factor or fold dilution calculations for solutions with mass per volume or weight. It works either to find the dilution factor or the volume. Use the dilution equation or ideal dilution equation. Compute the initial. Dilution Calculator Grams.
From www.nowfoods.com
Essential Oil Dilution Chart & Calculator NOW Foods Dilution Calculator Grams This online tool is free and easy to use. Compute the initial or final concentration or volume. free online dilution calculator. if you wish to perform dilution factor or fold dilution calculations for solutions with mass per volume or weight. you can always check your results with our dilution factor calculator or just use it in the. Dilution Calculator Grams.
From www.youtube.com
Dilution Problems Chemistry Tutorial YouTube Dilution Calculator Grams Use the dilution equation or ideal dilution equation. you can use the calculate how to dilute a solution or to find the concentration of a dilute solution. a solution dilution calculator will help you find out how to dilute a stock solution of a given concentration. this solution dilution calculator tool calculates the volume of stock concentrate. Dilution Calculator Grams.
From www.slideshare.net
How to calculate dilution Step Dilution Calculator Grams see our mass per volume solution concentration calculator for a definition of mass per volume or weight. this solution dilution calculator tool calculates the volume of stock concentrate to add to achieve a specified volume and. you can use the calculate how to dilute a solution or to find the concentration of a dilute solution. free. Dilution Calculator Grams.
From calculator.academy
Percent to Grams Calculator Calculator Academy Dilution Calculator Grams free online dilution calculator. see our mass per volume solution concentration calculator for a definition of mass per volume or weight. the solution dilution calculator tells you how to dilute a stock solution of known concentration. this solution dilution calculator tool calculates the volume of stock concentrate to add to achieve a specified volume and. . Dilution Calculator Grams.