Computer Hardware Expense . We are further going to discuss classifications of fixed. Here we will discuss the key points covering ias 16 for property, plant, and equipment. If you need to buy a new laptop or upgrade your pc software via your limited company, how are these expenses treated for. 1 jahr nutzungsdauer in der steuerbilanz das bundesfinanzministerium hat sich in einem. Is computer a business expense or business asset? It depends on which gives you the best tax situation. However, the most appropriate methods would. Under section 179, you can deduct in a single year the cost of tangible personal property (new or used) that you buy for your. While capitalizing equipment frees up cash flow since the costs aren’t expensed in the period they were incurred, it can also lead to potential drops. We can calculate the depreciation of office equipment through any of these methods.
from thinkingmachine.co
However, the most appropriate methods would. Is computer a business expense or business asset? 1 jahr nutzungsdauer in der steuerbilanz das bundesfinanzministerium hat sich in einem. It depends on which gives you the best tax situation. We are further going to discuss classifications of fixed. Here we will discuss the key points covering ias 16 for property, plant, and equipment. Under section 179, you can deduct in a single year the cost of tangible personal property (new or used) that you buy for your. If you need to buy a new laptop or upgrade your pc software via your limited company, how are these expenses treated for. While capitalizing equipment frees up cash flow since the costs aren’t expensed in the period they were incurred, it can also lead to potential drops. We can calculate the depreciation of office equipment through any of these methods.
Why is Technology Expense Management Complex? Thinking Machine Blog
Computer Hardware Expense We can calculate the depreciation of office equipment through any of these methods. It depends on which gives you the best tax situation. However, the most appropriate methods would. We can calculate the depreciation of office equipment through any of these methods. Is computer a business expense or business asset? 1 jahr nutzungsdauer in der steuerbilanz das bundesfinanzministerium hat sich in einem. Under section 179, you can deduct in a single year the cost of tangible personal property (new or used) that you buy for your. We are further going to discuss classifications of fixed. If you need to buy a new laptop or upgrade your pc software via your limited company, how are these expenses treated for. Here we will discuss the key points covering ias 16 for property, plant, and equipment. While capitalizing equipment frees up cash flow since the costs aren’t expensed in the period they were incurred, it can also lead to potential drops.
From reqlogic.co
Top five benefits of automating expense processes Microsoft Dynamics Computer Hardware Expense However, the most appropriate methods would. We are further going to discuss classifications of fixed. Is computer a business expense or business asset? Under section 179, you can deduct in a single year the cost of tangible personal property (new or used) that you buy for your. While capitalizing equipment frees up cash flow since the costs aren’t expensed in. Computer Hardware Expense.
From definepedia.in
Different Types of Computers and Hardware Upgrades Definepedia Computer Hardware Expense 1 jahr nutzungsdauer in der steuerbilanz das bundesfinanzministerium hat sich in einem. Here we will discuss the key points covering ias 16 for property, plant, and equipment. It depends on which gives you the best tax situation. However, the most appropriate methods would. We can calculate the depreciation of office equipment through any of these methods. We are further going. Computer Hardware Expense.
From www.cashify.in
6 Best Expense Tracker Apps To Keep Count On Your Expense Cashify Blog Computer Hardware Expense Under section 179, you can deduct in a single year the cost of tangible personal property (new or used) that you buy for your. If you need to buy a new laptop or upgrade your pc software via your limited company, how are these expenses treated for. It depends on which gives you the best tax situation. Is computer a. Computer Hardware Expense.
From ticktocktech.com
What is Computer Hardware Servicing and How is it done in 2023 Computer Hardware Expense It depends on which gives you the best tax situation. We can calculate the depreciation of office equipment through any of these methods. Is computer a business expense or business asset? If you need to buy a new laptop or upgrade your pc software via your limited company, how are these expenses treated for. While capitalizing equipment frees up cash. Computer Hardware Expense.
From www.youtube.com
Mern Project Introduction and Software Requirements Expense Computer Hardware Expense We are further going to discuss classifications of fixed. Is computer a business expense or business asset? However, the most appropriate methods would. We can calculate the depreciation of office equipment through any of these methods. If you need to buy a new laptop or upgrade your pc software via your limited company, how are these expenses treated for. While. Computer Hardware Expense.
From eduinput.com
20 Examples of Computer Hardware Computer Hardware Expense We can calculate the depreciation of office equipment through any of these methods. 1 jahr nutzungsdauer in der steuerbilanz das bundesfinanzministerium hat sich in einem. While capitalizing equipment frees up cash flow since the costs aren’t expensed in the period they were incurred, it can also lead to potential drops. Is computer a business expense or business asset? Under section. Computer Hardware Expense.
From stock.adobe.com
Parts of computer and PC hardware components in outline collection set Computer Hardware Expense While capitalizing equipment frees up cash flow since the costs aren’t expensed in the period they were incurred, it can also lead to potential drops. However, the most appropriate methods would. We are further going to discuss classifications of fixed. 1 jahr nutzungsdauer in der steuerbilanz das bundesfinanzministerium hat sich in einem. Is computer a business expense or business asset?. Computer Hardware Expense.
From oneclickfix.net
How to accurately predict annual hardware expenses OneClick Solutions Computer Hardware Expense We are further going to discuss classifications of fixed. If you need to buy a new laptop or upgrade your pc software via your limited company, how are these expenses treated for. Here we will discuss the key points covering ias 16 for property, plant, and equipment. However, the most appropriate methods would. We can calculate the depreciation of office. Computer Hardware Expense.
From www.dreamstime.com
Conceptual Display Interest Expense. Business Showcase Connects Computer Hardware Expense Under section 179, you can deduct in a single year the cost of tangible personal property (new or used) that you buy for your. We are further going to discuss classifications of fixed. We can calculate the depreciation of office equipment through any of these methods. If you need to buy a new laptop or upgrade your pc software via. Computer Hardware Expense.
From singlesource-it.com
Why Are Hardware Costs Going Up? Computer Hardware Expense Is computer a business expense or business asset? Under section 179, you can deduct in a single year the cost of tangible personal property (new or used) that you buy for your. While capitalizing equipment frees up cash flow since the costs aren’t expensed in the period they were incurred, it can also lead to potential drops. Here we will. Computer Hardware Expense.
From www.dreamstime.com
Computer Hardware Repair and Fixing Concept by Experienced Techn Stock Computer Hardware Expense We are further going to discuss classifications of fixed. We can calculate the depreciation of office equipment through any of these methods. However, the most appropriate methods would. Is computer a business expense or business asset? While capitalizing equipment frees up cash flow since the costs aren’t expensed in the period they were incurred, it can also lead to potential. Computer Hardware Expense.
From www.businesstomark.com
6 Reasons Why Expense Management System Is The Need Of The Hour For Computer Hardware Expense Is computer a business expense or business asset? It depends on which gives you the best tax situation. While capitalizing equipment frees up cash flow since the costs aren’t expensed in the period they were incurred, it can also lead to potential drops. 1 jahr nutzungsdauer in der steuerbilanz das bundesfinanzministerium hat sich in einem. We are further going to. Computer Hardware Expense.
From www.freshbooks.com
Operating Expenses Overview, Definition and Examples Computer Hardware Expense If you need to buy a new laptop or upgrade your pc software via your limited company, how are these expenses treated for. While capitalizing equipment frees up cash flow since the costs aren’t expensed in the period they were incurred, it can also lead to potential drops. We can calculate the depreciation of office equipment through any of these. Computer Hardware Expense.
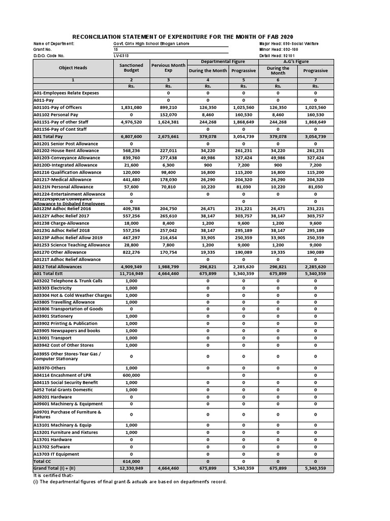
From es.scribd.com
Reconciliation Bhogan Feb 2020 Descargar gratis PDF Expense Computer Hardware Expense While capitalizing equipment frees up cash flow since the costs aren’t expensed in the period they were incurred, it can also lead to potential drops. Is computer a business expense or business asset? 1 jahr nutzungsdauer in der steuerbilanz das bundesfinanzministerium hat sich in einem. Under section 179, you can deduct in a single year the cost of tangible personal. Computer Hardware Expense.
From www.youtube.com
Beginners Guide To Computer Hardware What is Computer Hardware? YouTube Computer Hardware Expense Is computer a business expense or business asset? If you need to buy a new laptop or upgrade your pc software via your limited company, how are these expenses treated for. While capitalizing equipment frees up cash flow since the costs aren’t expensed in the period they were incurred, it can also lead to potential drops. Here we will discuss. Computer Hardware Expense.
From stocknews.com
CAN 2 Computer Hardware Stocks to Avoid Computer Hardware Expense However, the most appropriate methods would. 1 jahr nutzungsdauer in der steuerbilanz das bundesfinanzministerium hat sich in einem. Is computer a business expense or business asset? While capitalizing equipment frees up cash flow since the costs aren’t expensed in the period they were incurred, it can also lead to potential drops. Under section 179, you can deduct in a single. Computer Hardware Expense.
From 7pace.com
How to Build a Software Development Budget (Examples Inside) 7pace Computer Hardware Expense Is computer a business expense or business asset? While capitalizing equipment frees up cash flow since the costs aren’t expensed in the period they were incurred, it can also lead to potential drops. If you need to buy a new laptop or upgrade your pc software via your limited company, how are these expenses treated for. However, the most appropriate. Computer Hardware Expense.
From thinkingmachine.co
Why is Technology Expense Management Complex? Thinking Machine Blog Computer Hardware Expense However, the most appropriate methods would. We are further going to discuss classifications of fixed. Here we will discuss the key points covering ias 16 for property, plant, and equipment. If you need to buy a new laptop or upgrade your pc software via your limited company, how are these expenses treated for. It depends on which gives you the. Computer Hardware Expense.
From www.slicepayments.co
Top Benefits of Automated Expense Management Slice Computer Hardware Expense We are further going to discuss classifications of fixed. Is computer a business expense or business asset? While capitalizing equipment frees up cash flow since the costs aren’t expensed in the period they were incurred, it can also lead to potential drops. It depends on which gives you the best tax situation. However, the most appropriate methods would. If you. Computer Hardware Expense.
From www.dreamstime.com
Computer Hardware Repair and Fixing Concept by Experienced Techn Stock Computer Hardware Expense If you need to buy a new laptop or upgrade your pc software via your limited company, how are these expenses treated for. We can calculate the depreciation of office equipment through any of these methods. Is computer a business expense or business asset? However, the most appropriate methods would. It depends on which gives you the best tax situation.. Computer Hardware Expense.
From excelxo.com
Computer Hardware Inventory Excel Template Asset Management Spreadsheet Computer Hardware Expense We can calculate the depreciation of office equipment through any of these methods. We are further going to discuss classifications of fixed. It depends on which gives you the best tax situation. If you need to buy a new laptop or upgrade your pc software via your limited company, how are these expenses treated for. However, the most appropriate methods. Computer Hardware Expense.
From stardoll-jane.blogspot.com
Computer Hardware Leasing Companies Computer Leasing Wickenburg Computer Hardware Expense Here we will discuss the key points covering ias 16 for property, plant, and equipment. We can calculate the depreciation of office equipment through any of these methods. Under section 179, you can deduct in a single year the cost of tangible personal property (new or used) that you buy for your. However, the most appropriate methods would. We are. Computer Hardware Expense.
From oer-studentresources.gesci.org
Parts of a Computer INTRODUCTION TO COMPUTERS Computer Hardware Expense We can calculate the depreciation of office equipment through any of these methods. Here we will discuss the key points covering ias 16 for property, plant, and equipment. However, the most appropriate methods would. It depends on which gives you the best tax situation. We are further going to discuss classifications of fixed. 1 jahr nutzungsdauer in der steuerbilanz das. Computer Hardware Expense.
From www.techradar.com
Is this the ultimate in PC storage? TechRadar Computer Hardware Expense Here we will discuss the key points covering ias 16 for property, plant, and equipment. Is computer a business expense or business asset? We can calculate the depreciation of office equipment through any of these methods. Under section 179, you can deduct in a single year the cost of tangible personal property (new or used) that you buy for your.. Computer Hardware Expense.
From www.dreamstime.com
Computer Hardware Repair and Fixing Concept by Experienced Techn Stock Computer Hardware Expense Is computer a business expense or business asset? We can calculate the depreciation of office equipment through any of these methods. If you need to buy a new laptop or upgrade your pc software via your limited company, how are these expenses treated for. We are further going to discuss classifications of fixed. Here we will discuss the key points. Computer Hardware Expense.
From 4leet.com
Managed It Services Albuquerque Keeping Your Hardware Clean Computer Hardware Expense Under section 179, you can deduct in a single year the cost of tangible personal property (new or used) that you buy for your. It depends on which gives you the best tax situation. 1 jahr nutzungsdauer in der steuerbilanz das bundesfinanzministerium hat sich in einem. Here we will discuss the key points covering ias 16 for property, plant, and. Computer Hardware Expense.
From www.goforma.com
Can I expense Computer equipment? Computer Hardware Expense Under section 179, you can deduct in a single year the cost of tangible personal property (new or used) that you buy for your. Is computer a business expense or business asset? If you need to buy a new laptop or upgrade your pc software via your limited company, how are these expenses treated for. While capitalizing equipment frees up. Computer Hardware Expense.
From gvn360.com
Phần mềm, phần cứng và firmware Chúng khác nhau như thế nào? GVN360 Computer Hardware Expense However, the most appropriate methods would. We are further going to discuss classifications of fixed. Under section 179, you can deduct in a single year the cost of tangible personal property (new or used) that you buy for your. If you need to buy a new laptop or upgrade your pc software via your limited company, how are these expenses. Computer Hardware Expense.
From www.picpedia.org
Expense Sheet Free of Charge Creative Commons Post it Note image Computer Hardware Expense 1 jahr nutzungsdauer in der steuerbilanz das bundesfinanzministerium hat sich in einem. If you need to buy a new laptop or upgrade your pc software via your limited company, how are these expenses treated for. Is computer a business expense or business asset? While capitalizing equipment frees up cash flow since the costs aren’t expensed in the period they were. Computer Hardware Expense.
From www.youtube.com
How to accurately predict annual hardware expenses YouTube Computer Hardware Expense We are further going to discuss classifications of fixed. Here we will discuss the key points covering ias 16 for property, plant, and equipment. Under section 179, you can deduct in a single year the cost of tangible personal property (new or used) that you buy for your. It depends on which gives you the best tax situation. 1 jahr. Computer Hardware Expense.
From www.scribd.com
Hrishiraj Minig Expense PDF Computer Hardware Computer Related Computer Hardware Expense Under section 179, you can deduct in a single year the cost of tangible personal property (new or used) that you buy for your. If you need to buy a new laptop or upgrade your pc software via your limited company, how are these expenses treated for. 1 jahr nutzungsdauer in der steuerbilanz das bundesfinanzministerium hat sich in einem. It. Computer Hardware Expense.
From www.dreamstime.com
Computer Hardware Repair and Fixing Concept by Experienced Techn Stock Computer Hardware Expense It depends on which gives you the best tax situation. Here we will discuss the key points covering ias 16 for property, plant, and equipment. 1 jahr nutzungsdauer in der steuerbilanz das bundesfinanzministerium hat sich in einem. Is computer a business expense or business asset? We are further going to discuss classifications of fixed. We can calculate the depreciation of. Computer Hardware Expense.
From www.pinterest.com
best it hardware inventory template excel sample Computer Hardware Expense While capitalizing equipment frees up cash flow since the costs aren’t expensed in the period they were incurred, it can also lead to potential drops. Here we will discuss the key points covering ias 16 for property, plant, and equipment. We can calculate the depreciation of office equipment through any of these methods. If you need to buy a new. Computer Hardware Expense.
From www.limitedcompanyhelp.com
Tax treatment of company hardware and software expenses Limited Computer Hardware Expense Under section 179, you can deduct in a single year the cost of tangible personal property (new or used) that you buy for your. Is computer a business expense or business asset? It depends on which gives you the best tax situation. Here we will discuss the key points covering ias 16 for property, plant, and equipment. 1 jahr nutzungsdauer. Computer Hardware Expense.
From www.completecontroller.com
Posted on March 21, 2020 September 25, 2022 by Complete Controller Computer Hardware Expense Is computer a business expense or business asset? 1 jahr nutzungsdauer in der steuerbilanz das bundesfinanzministerium hat sich in einem. While capitalizing equipment frees up cash flow since the costs aren’t expensed in the period they were incurred, it can also lead to potential drops. We are further going to discuss classifications of fixed. We can calculate the depreciation of. Computer Hardware Expense.