Motor Car Traders Act 1986 . Motor car traders must supply copies of agreements etc. The act regulates motor car traders in victoria and protects the rights of consumers who purchase motor cars. Trading in motor cars means buying selling or exchanging motor cars, whether as principal or agent, and offering to buy sell or exchange. Motor car traders act 1986 no. The motor car traders act 1986 was assented to on 16 december 1986 and came into operation as follows: Complaints concerning motor car trader are privileged 84. (1) this section applies if a motor car trader sells a used motor car to a person and the car— (a) was manufactured not more than 10 years before. (1) a motor car trader must cause a dealings book in the prescribed form to be kept at the premises at which the business of trading in motor cars. It covers licensing, conduct of. 104 of 1986 version incorporating amendments as at1 march 2020 table of provisions
from brooklandscc.com
104 of 1986 version incorporating amendments as at1 march 2020 table of provisions The motor car traders act 1986 was assented to on 16 december 1986 and came into operation as follows: (1) this section applies if a motor car trader sells a used motor car to a person and the car— (a) was manufactured not more than 10 years before. It covers licensing, conduct of. Trading in motor cars means buying selling or exchanging motor cars, whether as principal or agent, and offering to buy sell or exchange. Complaints concerning motor car trader are privileged 84. (1) a motor car trader must cause a dealings book in the prescribed form to be kept at the premises at which the business of trading in motor cars. The act regulates motor car traders in victoria and protects the rights of consumers who purchase motor cars. Motor car traders act 1986 no. Motor car traders must supply copies of agreements etc.
Aston Martin V8 Vantage Roadster Brooklands Classic Cars
Motor Car Traders Act 1986 (1) this section applies if a motor car trader sells a used motor car to a person and the car— (a) was manufactured not more than 10 years before. Trading in motor cars means buying selling or exchanging motor cars, whether as principal or agent, and offering to buy sell or exchange. Motor car traders act 1986 no. The act regulates motor car traders in victoria and protects the rights of consumers who purchase motor cars. Motor car traders must supply copies of agreements etc. (1) a motor car trader must cause a dealings book in the prescribed form to be kept at the premises at which the business of trading in motor cars. Complaints concerning motor car trader are privileged 84. It covers licensing, conduct of. 104 of 1986 version incorporating amendments as at1 march 2020 table of provisions The motor car traders act 1986 was assented to on 16 december 1986 and came into operation as follows: (1) this section applies if a motor car trader sells a used motor car to a person and the car— (a) was manufactured not more than 10 years before.
From brooklandscc.com
MG TB ROADSTER Brooklands Classic Cars Motor Car Traders Act 1986 The motor car traders act 1986 was assented to on 16 december 1986 and came into operation as follows: Motor car traders must supply copies of agreements etc. (1) this section applies if a motor car trader sells a used motor car to a person and the car— (a) was manufactured not more than 10 years before. 104 of 1986. Motor Car Traders Act 1986.
From www.pdffiller.com
4 Used motor car price and data sheet Doc Template pdfFiller Motor Car Traders Act 1986 (1) a motor car trader must cause a dealings book in the prescribed form to be kept at the premises at which the business of trading in motor cars. (1) this section applies if a motor car trader sells a used motor car to a person and the car— (a) was manufactured not more than 10 years before. 104 of. Motor Car Traders Act 1986.
From brooklandscc.com
Aston Martin V8 Vantage Roadster Brooklands Classic Cars Motor Car Traders Act 1986 Motor car traders must supply copies of agreements etc. Complaints concerning motor car trader are privileged 84. 104 of 1986 version incorporating amendments as at1 march 2020 table of provisions The motor car traders act 1986 was assented to on 16 december 1986 and came into operation as follows: (1) this section applies if a motor car trader sells. Motor Car Traders Act 1986.
From brooklandscc.com
MG TD Brooklands Classic Cars Motor Car Traders Act 1986 Complaints concerning motor car trader are privileged 84. It covers licensing, conduct of. Motor car traders must supply copies of agreements etc. (1) a motor car trader must cause a dealings book in the prescribed form to be kept at the premises at which the business of trading in motor cars. Motor car traders act 1986 no. Trading in motor cars. Motor Car Traders Act 1986.
From brooklandscc.com
Aston Martin DB2/4 MKII Brooklands Classic Cars Motor Car Traders Act 1986 Motor car traders must supply copies of agreements etc. Complaints concerning motor car trader are privileged 84. The motor car traders act 1986 was assented to on 16 december 1986 and came into operation as follows: It covers licensing, conduct of. 104 of 1986 version incorporating amendments as at1 march 2020 table of provisions Motor car traders act 1986 no.. Motor Car Traders Act 1986.
From brooklandscc.com
Bentley 3 Litre VDP Tourer Brooklands Classic Cars Motor Car Traders Act 1986 Motor car traders act 1986 no. Trading in motor cars means buying selling or exchanging motor cars, whether as principal or agent, and offering to buy sell or exchange. It covers licensing, conduct of. Motor car traders must supply copies of agreements etc. (1) this section applies if a motor car trader sells a used motor car to a person and. Motor Car Traders Act 1986.
From brooklandscc.com
Rolls Royce Silver Dawn Brooklands Classic Cars Motor Car Traders Act 1986 It covers licensing, conduct of. (1) a motor car trader must cause a dealings book in the prescribed form to be kept at the premises at which the business of trading in motor cars. (1) this section applies if a motor car trader sells a used motor car to a person and the car— (a) was manufactured not more than. Motor Car Traders Act 1986.
From brooklandscc.com
Alfa Romeo 2600 Sprint Brooklands Classic Cars Motor Car Traders Act 1986 Complaints concerning motor car trader are privileged 84. Motor car traders must supply copies of agreements etc. (1) this section applies if a motor car trader sells a used motor car to a person and the car— (a) was manufactured not more than 10 years before. (1) a motor car trader must cause a dealings book in the prescribed form. Motor Car Traders Act 1986.
From brooklandscc.com
Bentley 3 Litre VDP Tourer Brooklands Classic Cars Motor Car Traders Act 1986 Complaints concerning motor car trader are privileged 84. (1) this section applies if a motor car trader sells a used motor car to a person and the car— (a) was manufactured not more than 10 years before. Motor car traders act 1986 no. Trading in motor cars means buying selling or exchanging motor cars, whether as principal or agent, and offering. Motor Car Traders Act 1986.
From brooklandscc.com
MG TD Brooklands Classic Cars Motor Car Traders Act 1986 104 of 1986 version incorporating amendments as at1 march 2020 table of provisions Trading in motor cars means buying selling or exchanging motor cars, whether as principal or agent, and offering to buy sell or exchange. The act regulates motor car traders in victoria and protects the rights of consumers who purchase motor cars. (1) this section applies if. Motor Car Traders Act 1986.
From www.pdffiller.com
Motor Car Trader Licence Victoria ABLIS Business.gov.au Doc Motor Car Traders Act 1986 Trading in motor cars means buying selling or exchanging motor cars, whether as principal or agent, and offering to buy sell or exchange. Motor car traders act 1986 no. (1) a motor car trader must cause a dealings book in the prescribed form to be kept at the premises at which the business of trading in motor cars. The act regulates. Motor Car Traders Act 1986.
From brooklandscc.com
Alfa Romeo 2600 Sprint Brooklands Classic Cars Motor Car Traders Act 1986 It covers licensing, conduct of. The act regulates motor car traders in victoria and protects the rights of consumers who purchase motor cars. (1) this section applies if a motor car trader sells a used motor car to a person and the car— (a) was manufactured not more than 10 years before. Motor car traders act 1986 no. (1) a motor. Motor Car Traders Act 1986.
From brooklandscc.com
+8 Roadster Brooklands Classic Cars Motor Car Traders Act 1986 104 of 1986 version incorporating amendments as at1 march 2020 table of provisions Trading in motor cars means buying selling or exchanging motor cars, whether as principal or agent, and offering to buy sell or exchange. Complaints concerning motor car trader are privileged 84. (1) this section applies if a motor car trader sells a used motor car to. Motor Car Traders Act 1986.
From brooklandscc.com
Vauxhall 3098 Brooklands Classic Cars Motor Car Traders Act 1986 (1) a motor car trader must cause a dealings book in the prescribed form to be kept at the premises at which the business of trading in motor cars. Trading in motor cars means buying selling or exchanging motor cars, whether as principal or agent, and offering to buy sell or exchange. Motor car traders act 1986 no. (1) this section. Motor Car Traders Act 1986.
From brooklandscc.com
De Tomaso Longchamp Spyder Brooklands Classic Cars Motor Car Traders Act 1986 Trading in motor cars means buying selling or exchanging motor cars, whether as principal or agent, and offering to buy sell or exchange. Complaints concerning motor car trader are privileged 84. (1) this section applies if a motor car trader sells a used motor car to a person and the car— (a) was manufactured not more than 10 years before.. Motor Car Traders Act 1986.
From www.ausloans.com.au
Motor Dealer Licence Australia The Ultimate Guide Motor Car Traders Act 1986 The motor car traders act 1986 was assented to on 16 december 1986 and came into operation as follows: Complaints concerning motor car trader are privileged 84. (1) a motor car trader must cause a dealings book in the prescribed form to be kept at the premises at which the business of trading in motor cars. (1) this section applies. Motor Car Traders Act 1986.
From brooklandscc.com
+8 Roadster Brooklands Classic Cars Motor Car Traders Act 1986 It covers licensing, conduct of. (1) a motor car trader must cause a dealings book in the prescribed form to be kept at the premises at which the business of trading in motor cars. The act regulates motor car traders in victoria and protects the rights of consumers who purchase motor cars. 104 of 1986 version incorporating amendments as at. Motor Car Traders Act 1986.
From blog.finology.in
An Overview of the Consumer Protection Act ,1986 Motor Car Traders Act 1986 Motor car traders must supply copies of agreements etc. The motor car traders act 1986 was assented to on 16 december 1986 and came into operation as follows: Motor car traders act 1986 no. Complaints concerning motor car trader are privileged 84. (1) a motor car trader must cause a dealings book in the prescribed form to be kept at the. Motor Car Traders Act 1986.
From brooklandscc.com
Rolls Royce Silver Dawn Brooklands Classic Cars Motor Car Traders Act 1986 Complaints concerning motor car trader are privileged 84. (1) this section applies if a motor car trader sells a used motor car to a person and the car— (a) was manufactured not more than 10 years before. Trading in motor cars means buying selling or exchanging motor cars, whether as principal or agent, and offering to buy sell or exchange.. Motor Car Traders Act 1986.
From brooklandscc.com
Vauxhall 3098 Brooklands Classic Cars Motor Car Traders Act 1986 (1) this section applies if a motor car trader sells a used motor car to a person and the car— (a) was manufactured not more than 10 years before. Complaints concerning motor car trader are privileged 84. (1) a motor car trader must cause a dealings book in the prescribed form to be kept at the premises at which the. Motor Car Traders Act 1986.
From brooklandscc.com
Mercedes Benz 220 SE Convertible Brooklands Classic Cars Motor Car Traders Act 1986 Motor car traders act 1986 no. It covers licensing, conduct of. Complaints concerning motor car trader are privileged 84. 104 of 1986 version incorporating amendments as at1 march 2020 table of provisions The act regulates motor car traders in victoria and protects the rights of consumers who purchase motor cars. (1) a motor car trader must cause a dealings book. Motor Car Traders Act 1986.
From abbeysauctions.com.au
1994 Harley Davidson Softail Custombuilt 1300cc Abbeys Auctions Motor Car Traders Act 1986 The motor car traders act 1986 was assented to on 16 december 1986 and came into operation as follows: Motor car traders must supply copies of agreements etc. Complaints concerning motor car trader are privileged 84. (1) a motor car trader must cause a dealings book in the prescribed form to be kept at the premises at which the business. Motor Car Traders Act 1986.
From www.pdffiller.com
4 Used motor car price and data sheet Consumer Doc Template Motor Car Traders Act 1986 Complaints concerning motor car trader are privileged 84. (1) this section applies if a motor car trader sells a used motor car to a person and the car— (a) was manufactured not more than 10 years before. 104 of 1986 version incorporating amendments as at1 march 2020 table of provisions The act regulates motor car traders in victoria and. Motor Car Traders Act 1986.
From www.pdffiller.com
www.consumer.vic.gov.aulibrarysMotor car traderspartnership licence Motor Car Traders Act 1986 Motor car traders act 1986 no. (1) a motor car trader must cause a dealings book in the prescribed form to be kept at the premises at which the business of trading in motor cars. Complaints concerning motor car trader are privileged 84. Motor car traders must supply copies of agreements etc. Trading in motor cars means buying selling or exchanging. Motor Car Traders Act 1986.
From studylib.net
15012a Motor Car Traders Act 1986 Motor car traders must supply copies of agreements etc. (1) this section applies if a motor car trader sells a used motor car to a person and the car— (a) was manufactured not more than 10 years before. (1) a motor car trader must cause a dealings book in the prescribed form to be kept at the premises at which. Motor Car Traders Act 1986.
From brooklandscc.com
Bentley 3 Litre VDP Tourer Brooklands Classic Cars Motor Car Traders Act 1986 It covers licensing, conduct of. The motor car traders act 1986 was assented to on 16 december 1986 and came into operation as follows: 104 of 1986 version incorporating amendments as at1 march 2020 table of provisions Motor car traders must supply copies of agreements etc. Motor car traders act 1986 no. (1) a motor car trader must cause a. Motor Car Traders Act 1986.
From hxeltdsxo.blob.core.windows.net
Motor Car Traders Guarantee Fund at Mary Dewitt blog Motor Car Traders Act 1986 (1) a motor car trader must cause a dealings book in the prescribed form to be kept at the premises at which the business of trading in motor cars. Trading in motor cars means buying selling or exchanging motor cars, whether as principal or agent, and offering to buy sell or exchange. Motor car traders must supply copies of agreements. Motor Car Traders Act 1986.
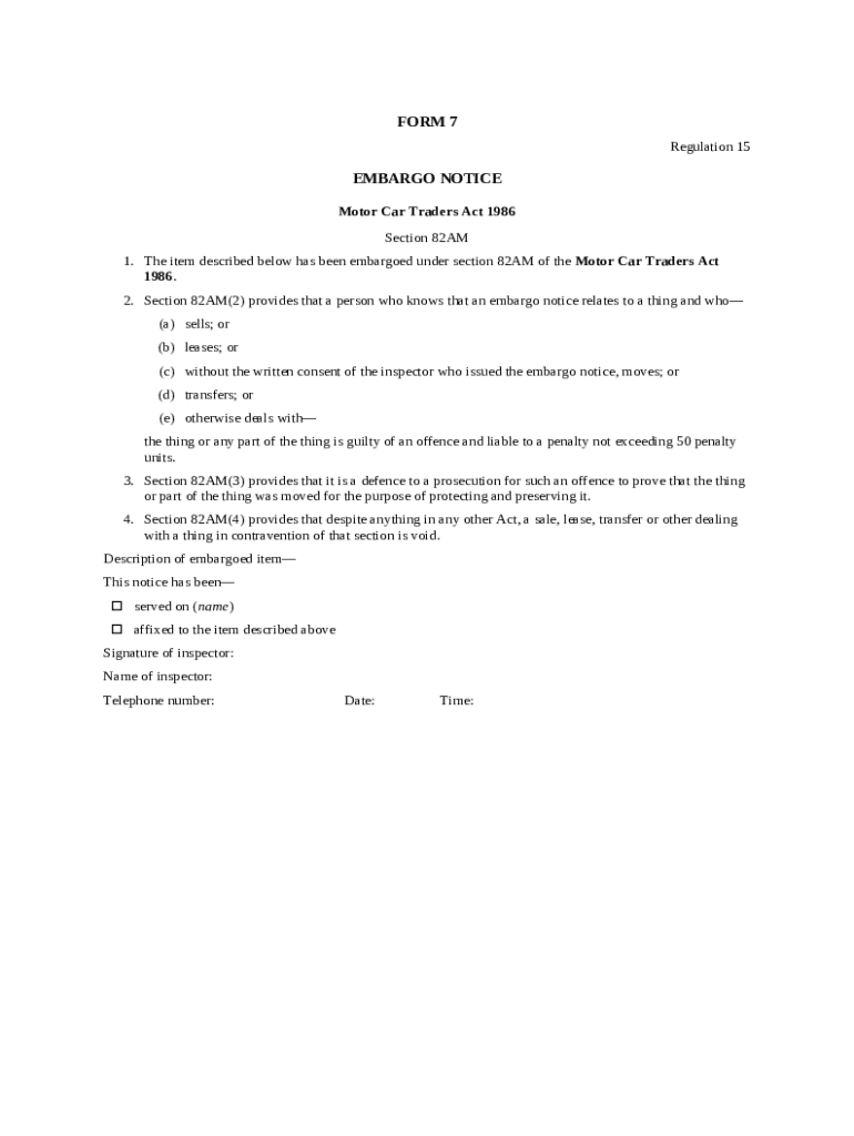
From www.pdffiller.com
7 Embargo notice. Motor car traders Doc Template pdfFiller Motor Car Traders Act 1986 Trading in motor cars means buying selling or exchanging motor cars, whether as principal or agent, and offering to buy sell or exchange. Motor car traders act 1986 no. 104 of 1986 version incorporating amendments as at1 march 2020 table of provisions Complaints concerning motor car trader are privileged 84. It covers licensing, conduct of. The motor car traders act. Motor Car Traders Act 1986.
From www.pdffiller.com
PDF MOTOR VEHICLE INSPECTION REGULATIONS Doc Template pdfFiller Motor Car Traders Act 1986 Motor car traders must supply copies of agreements etc. (1) a motor car trader must cause a dealings book in the prescribed form to be kept at the premises at which the business of trading in motor cars. The motor car traders act 1986 was assented to on 16 december 1986 and came into operation as follows: Motor car traders. Motor Car Traders Act 1986.
From www.pdffiller.com
DOC Application for permission motor car traders (Word, 88 KB) Doc Motor Car Traders Act 1986 (1) a motor car trader must cause a dealings book in the prescribed form to be kept at the premises at which the business of trading in motor cars. (1) this section applies if a motor car trader sells a used motor car to a person and the car— (a) was manufactured not more than 10 years before. Trading in. Motor Car Traders Act 1986.
From brooklandscc.com
Rolls Royce Silver Dawn Brooklands Classic Cars Motor Car Traders Act 1986 Motor car traders must supply copies of agreements etc. Motor car traders act 1986 no. The act regulates motor car traders in victoria and protects the rights of consumers who purchase motor cars. The motor car traders act 1986 was assented to on 16 december 1986 and came into operation as follows: It covers licensing, conduct of. (1) a motor car. Motor Car Traders Act 1986.
From brooklandscc.com
Aston Martin DBS Vantage Convertible Brooklands Classic Cars Motor Car Traders Act 1986 It covers licensing, conduct of. Motor car traders act 1986 no. 104 of 1986 version incorporating amendments as at1 march 2020 table of provisions Trading in motor cars means buying selling or exchanging motor cars, whether as principal or agent, and offering to buy sell or exchange. (1) this section applies if a motor car trader sells a used motor. Motor Car Traders Act 1986.
From www.mtansw.com.au
ACT Motor Car Traders MTA NSW Motor Car Traders Act 1986 The act regulates motor car traders in victoria and protects the rights of consumers who purchase motor cars. (1) a motor car trader must cause a dealings book in the prescribed form to be kept at the premises at which the business of trading in motor cars. Motor car traders must supply copies of agreements etc. (1) this section applies. Motor Car Traders Act 1986.
From brooklandscc.com
Jaguar 340 Manual Brooklands Classic Cars Motor Car Traders Act 1986 (1) a motor car trader must cause a dealings book in the prescribed form to be kept at the premises at which the business of trading in motor cars. (1) this section applies if a motor car trader sells a used motor car to a person and the car— (a) was manufactured not more than 10 years before. Complaints concerning. Motor Car Traders Act 1986.
From www.slideserve.com
PPT CONSUMER PROTECTION ACT 1986 PowerPoint Presentation, free Motor Car Traders Act 1986 It covers licensing, conduct of. Motor car traders must supply copies of agreements etc. The motor car traders act 1986 was assented to on 16 december 1986 and came into operation as follows: (1) this section applies if a motor car trader sells a used motor car to a person and the car— (a) was manufactured not more than 10. Motor Car Traders Act 1986.