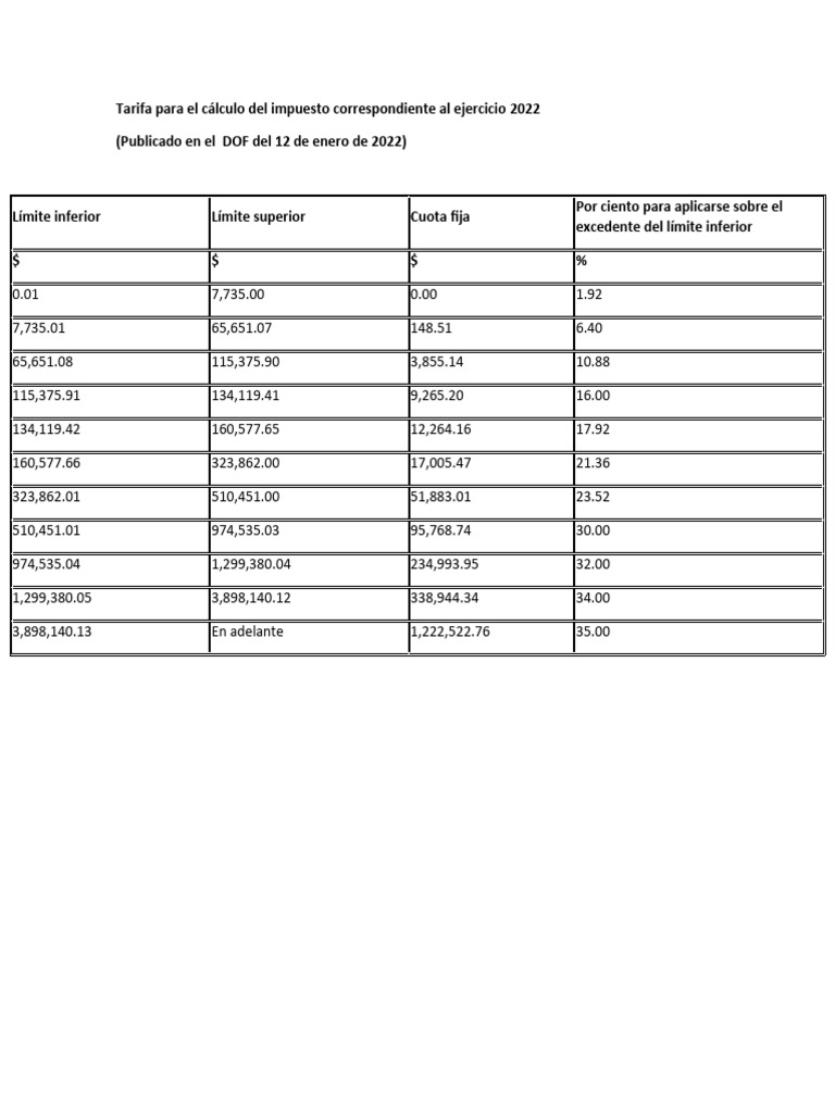
Tabla Isr Anual 2022 Arrendamiento . Tarifa aplicable en el cálculo de los pagos provisionales mensuales. Tablas de isr para cálculo mensual 2022 personas físicas. Tablas isr 2022 sat publicadas el 12 de enero de 2022, anexo 8 de la resolucion miscelanea 2022, descarga las tablas isr 2022. Las tablas para el cálculo del isr de 2022 ya están disponibles en la página del sat, estas sirven para determinar el impuesto a. A continuación te presentamos las tablas de isr para personas físicas con actividad empresarial y profesional, así como para aquellos que obtienen sus ingresos por arrendamiento en caso de que así lo decidan: Para declarar necesitas tener tus ingresos, gastos y retenciones organizados y sumados mensualmente para capturarlos en la aplicación de declaraciones y pagos en sat.gob.mx. Tarifa para el cálculo del impuesto. Tarifa para cálculo del isr en ingresos por arrendamiento 2022. Conoce las tablas isr 2022 y las de los subsidios aplicables para saber cuánto isr pagar durante 2022. Las tablas isr 2022 no experimentaron ningún cambio respecto a las de 2021, pues la.
from imagetou.com
Tablas isr 2022 sat publicadas el 12 de enero de 2022, anexo 8 de la resolucion miscelanea 2022, descarga las tablas isr 2022. Para declarar necesitas tener tus ingresos, gastos y retenciones organizados y sumados mensualmente para capturarlos en la aplicación de declaraciones y pagos en sat.gob.mx. Conoce las tablas isr 2022 y las de los subsidios aplicables para saber cuánto isr pagar durante 2022. Tarifa para cálculo del isr en ingresos por arrendamiento 2022. A continuación te presentamos las tablas de isr para personas físicas con actividad empresarial y profesional, así como para aquellos que obtienen sus ingresos por arrendamiento en caso de que así lo decidan: Las tablas isr 2022 no experimentaron ningún cambio respecto a las de 2021, pues la. Tarifa aplicable en el cálculo de los pagos provisionales mensuales. Las tablas para el cálculo del isr de 2022 ya están disponibles en la página del sat, estas sirven para determinar el impuesto a. Tablas de isr para cálculo mensual 2022 personas físicas. Tarifa para el cálculo del impuesto.
Impuesto De Renta Personas Naturales 2022 Image to u
Tabla Isr Anual 2022 Arrendamiento Tablas de isr para cálculo mensual 2022 personas físicas. Tablas de isr para cálculo mensual 2022 personas físicas. Las tablas para el cálculo del isr de 2022 ya están disponibles en la página del sat, estas sirven para determinar el impuesto a. Tablas isr 2022 sat publicadas el 12 de enero de 2022, anexo 8 de la resolucion miscelanea 2022, descarga las tablas isr 2022. Tarifa para cálculo del isr en ingresos por arrendamiento 2022. Tarifa para el cálculo del impuesto. Tarifa aplicable en el cálculo de los pagos provisionales mensuales. Las tablas isr 2022 no experimentaron ningún cambio respecto a las de 2021, pues la. A continuación te presentamos las tablas de isr para personas físicas con actividad empresarial y profesional, así como para aquellos que obtienen sus ingresos por arrendamiento en caso de que así lo decidan: Para declarar necesitas tener tus ingresos, gastos y retenciones organizados y sumados mensualmente para capturarlos en la aplicación de declaraciones y pagos en sat.gob.mx. Conoce las tablas isr 2022 y las de los subsidios aplicables para saber cuánto isr pagar durante 2022.
From 2022spain.com
Ipc 2022 Alquiler Calcular Tabla Isr Anual 2022 Arrendamiento Para declarar necesitas tener tus ingresos, gastos y retenciones organizados y sumados mensualmente para capturarlos en la aplicación de declaraciones y pagos en sat.gob.mx. Las tablas isr 2022 no experimentaron ningún cambio respecto a las de 2021, pues la. Tarifa para cálculo del isr en ingresos por arrendamiento 2022. Las tablas para el cálculo del isr de 2022 ya están. Tabla Isr Anual 2022 Arrendamiento.
From imagetou.com
Tabla De Renta 2022 Colombia Image to u Tabla Isr Anual 2022 Arrendamiento Tablas de isr para cálculo mensual 2022 personas físicas. A continuación te presentamos las tablas de isr para personas físicas con actividad empresarial y profesional, así como para aquellos que obtienen sus ingresos por arrendamiento en caso de que así lo decidan: Conoce las tablas isr 2022 y las de los subsidios aplicables para saber cuánto isr pagar durante 2022.. Tabla Isr Anual 2022 Arrendamiento.
From read.cholonautas.edu.pe
Tabla Isr Anual 2022 Personas Fisicas Sueldos Y Salarios Printable Tabla Isr Anual 2022 Arrendamiento Tablas de isr para cálculo mensual 2022 personas físicas. Tarifa para cálculo del isr en ingresos por arrendamiento 2022. Tarifa para el cálculo del impuesto. Las tablas isr 2022 no experimentaron ningún cambio respecto a las de 2021, pues la. Las tablas para el cálculo del isr de 2022 ya están disponibles en la página del sat, estas sirven para. Tabla Isr Anual 2022 Arrendamiento.
From imagetou.com
Tablas De Isr De Arrendamiento 2022 Image to u Tabla Isr Anual 2022 Arrendamiento Tarifa para cálculo del isr en ingresos por arrendamiento 2022. Tablas isr 2022 sat publicadas el 12 de enero de 2022, anexo 8 de la resolucion miscelanea 2022, descarga las tablas isr 2022. Tarifa aplicable en el cálculo de los pagos provisionales mensuales. A continuación te presentamos las tablas de isr para personas físicas con actividad empresarial y profesional, así. Tabla Isr Anual 2022 Arrendamiento.
From imagesee.biz
Tablas De Isr Para Arrendamiento 2022 Form W 2 Instructions IMAGESEE Tabla Isr Anual 2022 Arrendamiento Tarifa para cálculo del isr en ingresos por arrendamiento 2022. Las tablas isr 2022 no experimentaron ningún cambio respecto a las de 2021, pues la. Las tablas para el cálculo del isr de 2022 ya están disponibles en la página del sat, estas sirven para determinar el impuesto a. Tarifa para el cálculo del impuesto. A continuación te presentamos las. Tabla Isr Anual 2022 Arrendamiento.
From dlcmryfzeco.blob.core.windows.net
Tablas De Retencion Isr 2022 at Lonnie Cottrell blog Tabla Isr Anual 2022 Arrendamiento Tablas isr 2022 sat publicadas el 12 de enero de 2022, anexo 8 de la resolucion miscelanea 2022, descarga las tablas isr 2022. Tablas de isr para cálculo mensual 2022 personas físicas. Las tablas para el cálculo del isr de 2022 ya están disponibles en la página del sat, estas sirven para determinar el impuesto a. Tarifa para el cálculo. Tabla Isr Anual 2022 Arrendamiento.
From www.vrogue.co
Tabla Isr Por Arrendamiento 2022 Chevy Blazer Imagese vrogue.co Tabla Isr Anual 2022 Arrendamiento Tarifa para el cálculo del impuesto. A continuación te presentamos las tablas de isr para personas físicas con actividad empresarial y profesional, así como para aquellos que obtienen sus ingresos por arrendamiento en caso de que así lo decidan: Conoce las tablas isr 2022 y las de los subsidios aplicables para saber cuánto isr pagar durante 2022. Para declarar necesitas. Tabla Isr Anual 2022 Arrendamiento.
From imagesee.biz
Tablas Isr 2022 Sat Excel IMAGESEE Tabla Isr Anual 2022 Arrendamiento A continuación te presentamos las tablas de isr para personas físicas con actividad empresarial y profesional, así como para aquellos que obtienen sus ingresos por arrendamiento en caso de que así lo decidan: Tarifa para el cálculo del impuesto. Tablas isr 2022 sat publicadas el 12 de enero de 2022, anexo 8 de la resolucion miscelanea 2022, descarga las tablas. Tabla Isr Anual 2022 Arrendamiento.
From www.vrogue.co
Tablas Isr Arrendamiento 2023 Personas Fisicas Dgii N vrogue.co Tabla Isr Anual 2022 Arrendamiento Las tablas para el cálculo del isr de 2022 ya están disponibles en la página del sat, estas sirven para determinar el impuesto a. A continuación te presentamos las tablas de isr para personas físicas con actividad empresarial y profesional, así como para aquellos que obtienen sus ingresos por arrendamiento en caso de que así lo decidan: Tarifa para el. Tabla Isr Anual 2022 Arrendamiento.
From tupuy.com
Tablas Calculo Anual Isr Sueldos Y Salarios 2022 Printable Online Tabla Isr Anual 2022 Arrendamiento Tarifa para cálculo del isr en ingresos por arrendamiento 2022. Tarifa aplicable en el cálculo de los pagos provisionales mensuales. Tablas de isr para cálculo mensual 2022 personas físicas. Las tablas isr 2022 no experimentaron ningún cambio respecto a las de 2021, pues la. Para declarar necesitas tener tus ingresos, gastos y retenciones organizados y sumados mensualmente para capturarlos en. Tabla Isr Anual 2022 Arrendamiento.
From imagesee.biz
Tabla De Isr Recibo 2022 Personas Fisicas IMAGESEE Tabla Isr Anual 2022 Arrendamiento Tarifa para el cálculo del impuesto. A continuación te presentamos las tablas de isr para personas físicas con actividad empresarial y profesional, así como para aquellos que obtienen sus ingresos por arrendamiento en caso de que así lo decidan: Conoce las tablas isr 2022 y las de los subsidios aplicables para saber cuánto isr pagar durante 2022. Las tablas isr. Tabla Isr Anual 2022 Arrendamiento.
From imagesee.biz
Tabla Isr Arrendamiento 2022 Anual Significado IMAGESEE Tabla Isr Anual 2022 Arrendamiento Conoce las tablas isr 2022 y las de los subsidios aplicables para saber cuánto isr pagar durante 2022. Tarifa aplicable en el cálculo de los pagos provisionales mensuales. Tarifa para el cálculo del impuesto. Las tablas para el cálculo del isr de 2022 ya están disponibles en la página del sat, estas sirven para determinar el impuesto a. Tablas isr. Tabla Isr Anual 2022 Arrendamiento.
From elconta.mx
Tablas ISR 2022. Tablas y Tarifas de ISR Actualizadas. » ElConta.MX Tabla Isr Anual 2022 Arrendamiento Tarifa aplicable en el cálculo de los pagos provisionales mensuales. Tarifa para el cálculo del impuesto. Tablas de isr para cálculo mensual 2022 personas físicas. Las tablas isr 2022 no experimentaron ningún cambio respecto a las de 2021, pues la. Las tablas para el cálculo del isr de 2022 ya están disponibles en la página del sat, estas sirven para. Tabla Isr Anual 2022 Arrendamiento.
From imagetou.com
Impuesto De Renta Personas Naturales 2022 Image to u Tabla Isr Anual 2022 Arrendamiento Para declarar necesitas tener tus ingresos, gastos y retenciones organizados y sumados mensualmente para capturarlos en la aplicación de declaraciones y pagos en sat.gob.mx. Las tablas para el cálculo del isr de 2022 ya están disponibles en la página del sat, estas sirven para determinar el impuesto a. Tarifa para el cálculo del impuesto. Tablas isr 2022 sat publicadas el. Tabla Isr Anual 2022 Arrendamiento.
From hxehypbbp.blob.core.windows.net
Tablas Isr Por Arrendamiento 2022 at Timothy Cox blog Tabla Isr Anual 2022 Arrendamiento Tablas isr 2022 sat publicadas el 12 de enero de 2022, anexo 8 de la resolucion miscelanea 2022, descarga las tablas isr 2022. Las tablas para el cálculo del isr de 2022 ya están disponibles en la página del sat, estas sirven para determinar el impuesto a. Las tablas isr 2022 no experimentaron ningún cambio respecto a las de 2021,. Tabla Isr Anual 2022 Arrendamiento.
From www.vrogue.co
Tabla Isr Por Arrendamiento 2022 Chevy Blazer Imagese vrogue.co Tabla Isr Anual 2022 Arrendamiento Las tablas para el cálculo del isr de 2022 ya están disponibles en la página del sat, estas sirven para determinar el impuesto a. Tarifa para cálculo del isr en ingresos por arrendamiento 2022. Tablas isr 2022 sat publicadas el 12 de enero de 2022, anexo 8 de la resolucion miscelanea 2022, descarga las tablas isr 2022. Las tablas isr. Tabla Isr Anual 2022 Arrendamiento.
From 2022spain.com
Tabla Impuesto Renta Año 2022 2022 Spain Tabla Isr Anual 2022 Arrendamiento Las tablas isr 2022 no experimentaron ningún cambio respecto a las de 2021, pues la. Tarifa aplicable en el cálculo de los pagos provisionales mensuales. Conoce las tablas isr 2022 y las de los subsidios aplicables para saber cuánto isr pagar durante 2022. A continuación te presentamos las tablas de isr para personas físicas con actividad empresarial y profesional, así. Tabla Isr Anual 2022 Arrendamiento.
From cubrepack.com.mx
¡El ISR en 2022, esto es lo que se debe de pagar ahora! CUBREPACK Tabla Isr Anual 2022 Arrendamiento Conoce las tablas isr 2022 y las de los subsidios aplicables para saber cuánto isr pagar durante 2022. Las tablas isr 2022 no experimentaron ningún cambio respecto a las de 2021, pues la. Tarifa para el cálculo del impuesto. Tarifa aplicable en el cálculo de los pagos provisionales mensuales. Las tablas para el cálculo del isr de 2022 ya están. Tabla Isr Anual 2022 Arrendamiento.
From tupuy.com
Tabla Isr Anual Salarios 2022 Printable Online Tabla Isr Anual 2022 Arrendamiento Tablas isr 2022 sat publicadas el 12 de enero de 2022, anexo 8 de la resolucion miscelanea 2022, descarga las tablas isr 2022. Las tablas para el cálculo del isr de 2022 ya están disponibles en la página del sat, estas sirven para determinar el impuesto a. Tarifa aplicable en el cálculo de los pagos provisionales mensuales. Las tablas isr. Tabla Isr Anual 2022 Arrendamiento.
From imagetou.com
Tabla Del Isr Anual 2022 Image to u Tabla Isr Anual 2022 Arrendamiento Las tablas isr 2022 no experimentaron ningún cambio respecto a las de 2021, pues la. Las tablas para el cálculo del isr de 2022 ya están disponibles en la página del sat, estas sirven para determinar el impuesto a. Para declarar necesitas tener tus ingresos, gastos y retenciones organizados y sumados mensualmente para capturarlos en la aplicación de declaraciones y. Tabla Isr Anual 2022 Arrendamiento.
From www.vrogue.co
Tabla De Isr Anual vrogue.co Tabla Isr Anual 2022 Arrendamiento A continuación te presentamos las tablas de isr para personas físicas con actividad empresarial y profesional, así como para aquellos que obtienen sus ingresos por arrendamiento en caso de que así lo decidan: Tablas de isr para cálculo mensual 2022 personas físicas. Para declarar necesitas tener tus ingresos, gastos y retenciones organizados y sumados mensualmente para capturarlos en la aplicación. Tabla Isr Anual 2022 Arrendamiento.
From imagesee.biz
Tablas Isr 2022 Recibo Mensual IMAGESEE Tabla Isr Anual 2022 Arrendamiento Conoce las tablas isr 2022 y las de los subsidios aplicables para saber cuánto isr pagar durante 2022. Las tablas isr 2022 no experimentaron ningún cambio respecto a las de 2021, pues la. Tablas de isr para cálculo mensual 2022 personas físicas. Tarifa para cálculo del isr en ingresos por arrendamiento 2022. Tarifa aplicable en el cálculo de los pagos. Tabla Isr Anual 2022 Arrendamiento.
From www.riset.guru.pubiway.com
Tablas De Arrendamiento Isr 2023 Prius Prime Specs Imagesee Riset Tabla Isr Anual 2022 Arrendamiento Tablas de isr para cálculo mensual 2022 personas físicas. Para declarar necesitas tener tus ingresos, gastos y retenciones organizados y sumados mensualmente para capturarlos en la aplicación de declaraciones y pagos en sat.gob.mx. Tablas isr 2022 sat publicadas el 12 de enero de 2022, anexo 8 de la resolucion miscelanea 2022, descarga las tablas isr 2022. Conoce las tablas isr. Tabla Isr Anual 2022 Arrendamiento.
From contadorcontado.com
Tablas de ISR para 2022 Contador Contado Tabla Isr Anual 2022 Arrendamiento Tablas de isr para cálculo mensual 2022 personas físicas. Para declarar necesitas tener tus ingresos, gastos y retenciones organizados y sumados mensualmente para capturarlos en la aplicación de declaraciones y pagos en sat.gob.mx. Las tablas isr 2022 no experimentaron ningún cambio respecto a las de 2021, pues la. Tablas isr 2022 sat publicadas el 12 de enero de 2022, anexo. Tabla Isr Anual 2022 Arrendamiento.
From mungfali.com
Tabla ISR Sat Tabla Isr Anual 2022 Arrendamiento Conoce las tablas isr 2022 y las de los subsidios aplicables para saber cuánto isr pagar durante 2022. Tablas isr 2022 sat publicadas el 12 de enero de 2022, anexo 8 de la resolucion miscelanea 2022, descarga las tablas isr 2022. Las tablas isr 2022 no experimentaron ningún cambio respecto a las de 2021, pues la. Tarifa aplicable en el. Tabla Isr Anual 2022 Arrendamiento.
From despachocontable.mx
Tablas y tarifas ISR 2022. (Descarga Tablas en Excel y/o PDF) DC Tabla Isr Anual 2022 Arrendamiento A continuación te presentamos las tablas de isr para personas físicas con actividad empresarial y profesional, así como para aquellos que obtienen sus ingresos por arrendamiento en caso de que así lo decidan: Tarifa para el cálculo del impuesto. Las tablas para el cálculo del isr de 2022 ya están disponibles en la página del sat, estas sirven para determinar. Tabla Isr Anual 2022 Arrendamiento.
From contadormx.com
Tablas ISR 2022 ContadorMx Tabla Isr Anual 2022 Arrendamiento Tablas de isr para cálculo mensual 2022 personas físicas. Conoce las tablas isr 2022 y las de los subsidios aplicables para saber cuánto isr pagar durante 2022. Las tablas para el cálculo del isr de 2022 ya están disponibles en la página del sat, estas sirven para determinar el impuesto a. Tablas isr 2022 sat publicadas el 12 de enero. Tabla Isr Anual 2022 Arrendamiento.
From www.elcontribuyente.mx
Tablas ISR 2022 Tabla Isr Anual 2022 Arrendamiento Tarifa para el cálculo del impuesto. Las tablas para el cálculo del isr de 2022 ya están disponibles en la página del sat, estas sirven para determinar el impuesto a. Tarifa para cálculo del isr en ingresos por arrendamiento 2022. Tablas isr 2022 sat publicadas el 12 de enero de 2022, anexo 8 de la resolucion miscelanea 2022, descarga las. Tabla Isr Anual 2022 Arrendamiento.
From imagetou.com
Tarifas Isr 2022 Por Arrendamiento Image to u Tabla Isr Anual 2022 Arrendamiento Para declarar necesitas tener tus ingresos, gastos y retenciones organizados y sumados mensualmente para capturarlos en la aplicación de declaraciones y pagos en sat.gob.mx. Tablas isr 2022 sat publicadas el 12 de enero de 2022, anexo 8 de la resolucion miscelanea 2022, descarga las tablas isr 2022. Tarifa aplicable en el cálculo de los pagos provisionales mensuales. A continuación te. Tabla Isr Anual 2022 Arrendamiento.
From es.scribd.com
Tarifa ISR Anual Arrendamiento 2022 PDF Tabla Isr Anual 2022 Arrendamiento Las tablas isr 2022 no experimentaron ningún cambio respecto a las de 2021, pues la. Conoce las tablas isr 2022 y las de los subsidios aplicables para saber cuánto isr pagar durante 2022. Tablas isr 2022 sat publicadas el 12 de enero de 2022, anexo 8 de la resolucion miscelanea 2022, descarga las tablas isr 2022. Tablas de isr para. Tabla Isr Anual 2022 Arrendamiento.
From www.youtube.com
Cálculo de ISR Arrendamiento Mensual, Trimestral y Anual en Excel 2024 Tabla Isr Anual 2022 Arrendamiento Conoce las tablas isr 2022 y las de los subsidios aplicables para saber cuánto isr pagar durante 2022. A continuación te presentamos las tablas de isr para personas físicas con actividad empresarial y profesional, así como para aquellos que obtienen sus ingresos por arrendamiento en caso de que así lo decidan: Tarifa para el cálculo del impuesto. Tarifa para cálculo. Tabla Isr Anual 2022 Arrendamiento.
From imagetou.com
Tabla Isr Anual Resico Persona Moral Image to u Tabla Isr Anual 2022 Arrendamiento Para declarar necesitas tener tus ingresos, gastos y retenciones organizados y sumados mensualmente para capturarlos en la aplicación de declaraciones y pagos en sat.gob.mx. Las tablas isr 2022 no experimentaron ningún cambio respecto a las de 2021, pues la. A continuación te presentamos las tablas de isr para personas físicas con actividad empresarial y profesional, así como para aquellos que. Tabla Isr Anual 2022 Arrendamiento.
From mungfali.com
Tabla De ISR Tabla Isr Anual 2022 Arrendamiento Tarifa aplicable en el cálculo de los pagos provisionales mensuales. Tablas de isr para cálculo mensual 2022 personas físicas. Para declarar necesitas tener tus ingresos, gastos y retenciones organizados y sumados mensualmente para capturarlos en la aplicación de declaraciones y pagos en sat.gob.mx. Conoce las tablas isr 2022 y las de los subsidios aplicables para saber cuánto isr pagar durante. Tabla Isr Anual 2022 Arrendamiento.
From ecoamazonico.com
Nueva tabla del Impuesto a la Renta Eco Amazónico Tabla Isr Anual 2022 Arrendamiento Tarifa para el cálculo del impuesto. Tablas de isr para cálculo mensual 2022 personas físicas. Las tablas para el cálculo del isr de 2022 ya están disponibles en la página del sat, estas sirven para determinar el impuesto a. Las tablas isr 2022 no experimentaron ningún cambio respecto a las de 2021, pues la. Tarifa para cálculo del isr en. Tabla Isr Anual 2022 Arrendamiento.
From 2022spain.com
Tabla Impuesto A La Renta 2022 Sri 2022 Spain Tabla Isr Anual 2022 Arrendamiento Tarifa para el cálculo del impuesto. Tablas isr 2022 sat publicadas el 12 de enero de 2022, anexo 8 de la resolucion miscelanea 2022, descarga las tablas isr 2022. Tarifa aplicable en el cálculo de los pagos provisionales mensuales. Conoce las tablas isr 2022 y las de los subsidios aplicables para saber cuánto isr pagar durante 2022. Las tablas isr. Tabla Isr Anual 2022 Arrendamiento.