Math Counter Examples .  the purpose of this article is to provide some basic counterexamples on real series. Counterexamples is a fun, quick way to highlight how to disprove conjectures by finding a counterexample. A mathematical statement is a sentence that is either true or false. A counterexample can be something very simple in. The multiple scenarios skill is very similar to case checking and counter examples, though it may not be immediately obvious how to.   a counter example is an example that refutes or disproves a proposition or theory. Unless otherwise stated, \((u_n)_{n \in \mathbb{n}}\) and \((v_n)_{n. A mathematical statement has two parts: Counterexamples are provided as answers to questions. A counterexample is an example that meets the mathematical.  counter examples | brilliant math & science wiki. A condition and a conclusion.  what is a counterexample?   how it works. Which of the following numbers is a counter.
        
         
         
        from www.slideserve.com 
     
        
        Counterexamples is a fun, quick way to highlight how to disprove conjectures by finding a counterexample.   a counter example is an example that refutes or disproves a proposition or theory. Which of the following numbers is a counter.  what is a counterexample?   how it works. A counterexample is an example that meets the mathematical. Unless otherwise stated, \((u_n)_{n \in \mathbb{n}}\) and \((v_n)_{n.  counter examples | brilliant math & science wiki.  the purpose of this article is to provide some basic counterexamples on real series. A counterexample can be something very simple in.
    
    	
            
	
		 
	 
         
    PPT Discrete Maths PowerPoint Presentation, free download ID1967699 
    Math Counter Examples  Counterexamples are provided as answers to questions. The multiple scenarios skill is very similar to case checking and counter examples, though it may not be immediately obvious how to.   how it works. A mathematical statement has two parts:  what is a counterexample?   a counter example is an example that refutes or disproves a proposition or theory. Counterexamples is a fun, quick way to highlight how to disprove conjectures by finding a counterexample. Unless otherwise stated, \((u_n)_{n \in \mathbb{n}}\) and \((v_n)_{n. A mathematical statement is a sentence that is either true or false.  counter examples | brilliant math & science wiki. Counterexamples are provided as answers to questions.  the purpose of this article is to provide some basic counterexamples on real series. A condition and a conclusion. Which of the following numbers is a counter. A counterexample is an example that meets the mathematical. A counterexample can be something very simple in.
            
	
		 
	 
         
 
    
         
        From www.mathcounterexamples.net 
                    ratiotestimage Math Counterexamples Math Counter Examples   what is a counterexample? The multiple scenarios skill is very similar to case checking and counter examples, though it may not be immediately obvious how to.  counter examples | brilliant math & science wiki. Counterexamples are provided as answers to questions. Unless otherwise stated, \((u_n)_{n \in \mathbb{n}}\) and \((v_n)_{n.   a counter example is an example that refutes. Math Counter Examples.
     
    
         
        From www.pinterest.com 
                    Logic INB Pages Math interactive notebook, Geometry interactive Math Counter Examples  The multiple scenarios skill is very similar to case checking and counter examples, though it may not be immediately obvious how to. A mathematical statement is a sentence that is either true or false. A counterexample is an example that meets the mathematical.   a counter example is an example that refutes or disproves a proposition or theory. Counterexamples is. Math Counter Examples.
     
    
         
        From www.cuemath.com 
                    Counterexample Cuemath Math Counter Examples  Counterexamples is a fun, quick way to highlight how to disprove conjectures by finding a counterexample. A condition and a conclusion.   a counter example is an example that refutes or disproves a proposition or theory.  counter examples | brilliant math & science wiki. The multiple scenarios skill is very similar to case checking and counter examples, though it. Math Counter Examples.
     
    
         
        From www.youtube.com 
                    P2 new Practice Paper A IAL Q2 Disproof by Counter Example and Proof by Math Counter Examples   counter examples | brilliant math & science wiki. A mathematical statement has two parts: The multiple scenarios skill is very similar to case checking and counter examples, though it may not be immediately obvious how to. Counterexamples is a fun, quick way to highlight how to disprove conjectures by finding a counterexample. A mathematical statement is a sentence that. Math Counter Examples.
     
    
         
        From www.mathcounterexamples.net 
                    An uncountable chain of subsets of the natural numbers Math Math Counter Examples   what is a counterexample? Counterexamples are provided as answers to questions. The multiple scenarios skill is very similar to case checking and counter examples, though it may not be immediately obvious how to. A counterexample is an example that meets the mathematical.  the purpose of this article is to provide some basic counterexamples on real series. Counterexamples is. Math Counter Examples.
     
    
         
        From www.cuemath.com 
                    Counterexample Cuemath Math Counter Examples  The multiple scenarios skill is very similar to case checking and counter examples, though it may not be immediately obvious how to. A mathematical statement is a sentence that is either true or false. A mathematical statement has two parts:   how it works. Which of the following numbers is a counter.  what is a counterexample?  counter examples. Math Counter Examples.
     
    
         
        From www.slideserve.com 
                    PPT Discrete Maths PowerPoint Presentation, free download ID1967699 Math Counter Examples   counter examples | brilliant math & science wiki. Unless otherwise stated, \((u_n)_{n \in \mathbb{n}}\) and \((v_n)_{n. Counterexamples is a fun, quick way to highlight how to disprove conjectures by finding a counterexample. A condition and a conclusion. Which of the following numbers is a counter. Counterexamples are provided as answers to questions.  what is a counterexample?  the. Math Counter Examples.
     
    
         
        From www.mathcounterexamples.net 
                    Two matrices A and B for which AB and BA have different minimal Math Counter Examples  Counterexamples are provided as answers to questions. Which of the following numbers is a counter.  counter examples | brilliant math & science wiki. A counterexample is an example that meets the mathematical. A condition and a conclusion. A counterexample can be something very simple in. A mathematical statement is a sentence that is either true or false.  what. Math Counter Examples.
     
    
         
        From www.youtube.com 
                    Universal Quantifiers Counter Examples YouTube Math Counter Examples   the purpose of this article is to provide some basic counterexamples on real series.   how it works. A condition and a conclusion. Which of the following numbers is a counter.  what is a counterexample? The multiple scenarios skill is very similar to case checking and counter examples, though it may not be immediately obvious how to. A. Math Counter Examples.
     
    
         
        From study.com 
                    How to Identify Counterexamples in Algebra Algebra Math Counter Examples  A counterexample can be something very simple in.   a counter example is an example that refutes or disproves a proposition or theory.  what is a counterexample? A mathematical statement is a sentence that is either true or false. Which of the following numbers is a counter. The multiple scenarios skill is very similar to case checking and counter. Math Counter Examples.
     
    
         
        From study.com 
                    Quiz & Worksheet Counterexamples in Math Math Counter Examples  Unless otherwise stated, \((u_n)_{n \in \mathbb{n}}\) and \((v_n)_{n. Counterexamples are provided as answers to questions.   a counter example is an example that refutes or disproves a proposition or theory.  counter examples | brilliant math & science wiki. The multiple scenarios skill is very similar to case checking and counter examples, though it may not be immediately obvious how. Math Counter Examples.
     
    
         
        From www.cuemath.com 
                    Counterexample Cuemath Math Counter Examples  The multiple scenarios skill is very similar to case checking and counter examples, though it may not be immediately obvious how to. Counterexamples is a fun, quick way to highlight how to disprove conjectures by finding a counterexample. A condition and a conclusion.   how it works. Unless otherwise stated, \((u_n)_{n \in \mathbb{n}}\) and \((v_n)_{n. A counterexample is an example. Math Counter Examples.
     
    
         
        From www.youtube.com 
                    Proof & counterexamples YouTube Math Counter Examples   the purpose of this article is to provide some basic counterexamples on real series. A mathematical statement has two parts: Unless otherwise stated, \((u_n)_{n \in \mathbb{n}}\) and \((v_n)_{n. A condition and a conclusion. A mathematical statement is a sentence that is either true or false.   how it works. A counterexample is an example that meets the mathematical. Which. Math Counter Examples.
     
    
         
        From educationtothecore.com 
                    Counters 11 Centers Education to the Core Math Counter Examples  A counterexample is an example that meets the mathematical. A mathematical statement is a sentence that is either true or false.   how it works. Which of the following numbers is a counter.  the purpose of this article is to provide some basic counterexamples on real series. Counterexamples is a fun, quick way to highlight how to disprove conjectures. Math Counter Examples.
     
    
         
        From www.mathcounterexamples.net 
                    A monotonic function whose points of discontinuity form a dense set Math Counter Examples  Unless otherwise stated, \((u_n)_{n \in \mathbb{n}}\) and \((v_n)_{n. A mathematical statement has two parts:  what is a counterexample? Which of the following numbers is a counter. A counterexample is an example that meets the mathematical. Counterexamples is a fun, quick way to highlight how to disprove conjectures by finding a counterexample. A mathematical statement is a sentence that is. Math Counter Examples.
     
    
         
        From www.orientaltrading.com 
                    50 Math Counter Activities Oriental Trading Math Counter Examples  Unless otherwise stated, \((u_n)_{n \in \mathbb{n}}\) and \((v_n)_{n.   how it works. A counterexample is an example that meets the mathematical. The multiple scenarios skill is very similar to case checking and counter examples, though it may not be immediately obvious how to.  what is a counterexample? Which of the following numbers is a counter. A counterexample can be. Math Counter Examples.
     
    
         
        From www.youtube.com 
                    1.2 & 1.3 Exploring the Validity of Conjectures and Finding a Math Counter Examples  Unless otherwise stated, \((u_n)_{n \in \mathbb{n}}\) and \((v_n)_{n. Counterexamples is a fun, quick way to highlight how to disprove conjectures by finding a counterexample. A mathematical statement is a sentence that is either true or false. A counterexample is an example that meets the mathematical.  the purpose of this article is to provide some basic counterexamples on real series.. Math Counter Examples.
     
    
         
        From www.mathcounterexamples.net 
                    Complex matrix without a square root Math Counterexamples Math Counter Examples  Which of the following numbers is a counter. A condition and a conclusion.  what is a counterexample? A mathematical statement is a sentence that is either true or false. A counterexample can be something very simple in. A mathematical statement has two parts: Counterexamples is a fun, quick way to highlight how to disprove conjectures by finding a counterexample.. Math Counter Examples.
     
    
         
        From www.youtube.com 
                    Conjectures and Counterexamples Lesson (Basic Geometry Concepts) YouTube Math Counter Examples   the purpose of this article is to provide some basic counterexamples on real series. Counterexamples is a fun, quick way to highlight how to disprove conjectures by finding a counterexample. The multiple scenarios skill is very similar to case checking and counter examples, though it may not be immediately obvious how to. Which of the following numbers is a. Math Counter Examples.
     
    
         
        From www.mathcounterexamples.net 
                    A uniformly but not normally convergent function series Math Math Counter Examples  The multiple scenarios skill is very similar to case checking and counter examples, though it may not be immediately obvious how to.  the purpose of this article is to provide some basic counterexamples on real series.   how it works. A condition and a conclusion. Which of the following numbers is a counter. Counterexamples are provided as answers to. Math Counter Examples.
     
    
         
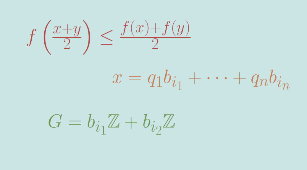
        From www.mathcounterexamples.net 
                    A discontinuous midpoint convex function Math Counterexamples Math Counter Examples  A mathematical statement has two parts: A mathematical statement is a sentence that is either true or false. A counterexample can be something very simple in.  counter examples | brilliant math & science wiki.   how it works.   a counter example is an example that refutes or disproves a proposition or theory.  the purpose of this article. Math Counter Examples.
     
    
         
        From study.com 
                    Counterexample in Mathematics Definition, Proofs & Examples Lesson Math Counter Examples  The multiple scenarios skill is very similar to case checking and counter examples, though it may not be immediately obvious how to. A mathematical statement is a sentence that is either true or false.  what is a counterexample? A mathematical statement has two parts: Counterexamples is a fun, quick way to highlight how to disprove conjectures by finding a. Math Counter Examples.
     
    
         
        From www.teachoo.com 
                    Example 16 By giving a counter example, show that statement Math Counter Examples   the purpose of this article is to provide some basic counterexamples on real series. Counterexamples are provided as answers to questions. A mathematical statement is a sentence that is either true or false. The multiple scenarios skill is very similar to case checking and counter examples, though it may not be immediately obvious how to.  what is a. Math Counter Examples.
     
    
         
        From www.mathcounterexamples.net 
                    Math Counterexamples Mathematical exceptions to the rules or intuition Math Counter Examples  Which of the following numbers is a counter. A counterexample is an example that meets the mathematical.   how it works. A mathematical statement has two parts:  what is a counterexample? A counterexample can be something very simple in. Counterexamples is a fun, quick way to highlight how to disprove conjectures by finding a counterexample. Counterexamples are provided as. Math Counter Examples.
     
    
         
        From math.stackexchange.com 
                    Counter example for theorem 2.18 in A computational introduction to Math Counter Examples  Which of the following numbers is a counter.  counter examples | brilliant math & science wiki. A mathematical statement has two parts: Counterexamples are provided as answers to questions. A mathematical statement is a sentence that is either true or false.  the purpose of this article is to provide some basic counterexamples on real series.  what is. Math Counter Examples.
     
    
         
        From www.youtube.com 
                    Counterexamples Worked example Praxis Core Math Khan Academy Math Counter Examples  A counterexample can be something very simple in.  counter examples | brilliant math & science wiki.  what is a counterexample?  the purpose of this article is to provide some basic counterexamples on real series.   a counter example is an example that refutes or disproves a proposition or theory.   how it works. A mathematical statement has. Math Counter Examples.
     
    
         
        From www.mathcounterexamples.net 
                    Counterexamples on function limits (part 1) Math Counterexamples Math Counter Examples  A counterexample is an example that meets the mathematical.  the purpose of this article is to provide some basic counterexamples on real series. A condition and a conclusion. Unless otherwise stated, \((u_n)_{n \in \mathbb{n}}\) and \((v_n)_{n. A mathematical statement has two parts: A mathematical statement is a sentence that is either true or false. Which of the following numbers. Math Counter Examples.
     
    
         
        From www.mathgiraffe.com 
                    Teaching Math Students to Test Cases and Provide Examples & Counterexamples Math Counter Examples  Counterexamples is a fun, quick way to highlight how to disprove conjectures by finding a counterexample. Counterexamples are provided as answers to questions. A counterexample can be something very simple in. A mathematical statement is a sentence that is either true or false.   how it works.  what is a counterexample? Which of the following numbers is a counter.. Math Counter Examples.
     
    
         
        From www.mathcounterexamples.net 
                    Counterexamples around cardinality (part 2) Math Counterexamples Math Counter Examples  Counterexamples is a fun, quick way to highlight how to disprove conjectures by finding a counterexample.  the purpose of this article is to provide some basic counterexamples on real series.   a counter example is an example that refutes or disproves a proposition or theory. A counterexample can be something very simple in. A mathematical statement has two parts:. Math Counter Examples.
     
    
         
        From www.youtube.com 
                    Finding a Counterexample YouTube Math Counter Examples    a counter example is an example that refutes or disproves a proposition or theory.   how it works. The multiple scenarios skill is very similar to case checking and counter examples, though it may not be immediately obvious how to. A counterexample can be something very simple in.  what is a counterexample?  the purpose of this article. Math Counter Examples.
     
    
         
        From 9to5science.com 
                    [Solved] How to come up with a counter example in linear 9to5Science Math Counter Examples    a counter example is an example that refutes or disproves a proposition or theory. A counterexample is an example that meets the mathematical. A mathematical statement is a sentence that is either true or false. A mathematical statement has two parts: A counterexample can be something very simple in.  the purpose of this article is to provide some. Math Counter Examples.
     
    
         
        From calcworkshop.com 
                    Direct Proof (Explained w/ 11+ StepbyStep Examples!) Math Counter Examples   what is a counterexample? The multiple scenarios skill is very similar to case checking and counter examples, though it may not be immediately obvious how to.   a counter example is an example that refutes or disproves a proposition or theory. Counterexamples are provided as answers to questions. A mathematical statement is a sentence that is either true or. Math Counter Examples.
     
    
         
        From www.researchgate.net 
                    (PDF) Counterexamples in Calculus Math Counter Examples    a counter example is an example that refutes or disproves a proposition or theory.  what is a counterexample?   how it works. Which of the following numbers is a counter.  the purpose of this article is to provide some basic counterexamples on real series. Counterexamples is a fun, quick way to highlight how to disprove conjectures by. Math Counter Examples.
     
    
         
        From www.slideserve.com 
                    PPT Section One PowerPoint Presentation, free download ID1347096 Math Counter Examples  The multiple scenarios skill is very similar to case checking and counter examples, though it may not be immediately obvious how to. A mathematical statement is a sentence that is either true or false.   how it works. A mathematical statement has two parts: Unless otherwise stated, \((u_n)_{n \in \mathbb{n}}\) and \((v_n)_{n.   a counter example is an example that. Math Counter Examples.
     
    
         
        From www.youtube.com 
                    Counterexample YouTube Math Counter Examples  Which of the following numbers is a counter.  counter examples | brilliant math & science wiki. A condition and a conclusion.  what is a counterexample?   a counter example is an example that refutes or disproves a proposition or theory.  the purpose of this article is to provide some basic counterexamples on real series. A counterexample can. Math Counter Examples.