Energy Of X Rays In Joules . The em spectrum, showing major categories as a function of photon energy in ev, as well as wavelength and frequency. this is omni's wavelength to energy calculator, a tool that instantly calculates a photon's energy from its. Divide the speed of light, equal to 299,792,458. Wavelength and photon energy relationship: with this photon energy calculator, you can explore the relationship between the wavelength and frequency of the photon and its energy. to calculate wavelength from the energy of a photon: = hc = 1239:842 ev nm. Convert the photon's energy into joules.
from www.chegg.com
with this photon energy calculator, you can explore the relationship between the wavelength and frequency of the photon and its energy. Wavelength and photon energy relationship: Divide the speed of light, equal to 299,792,458. The em spectrum, showing major categories as a function of photon energy in ev, as well as wavelength and frequency. this is omni's wavelength to energy calculator, a tool that instantly calculates a photon's energy from its. = hc = 1239:842 ev nm. to calculate wavelength from the energy of a photon: Convert the photon's energy into joules.
Solved What is the energy in joules of one photon of xray
Energy Of X Rays In Joules The em spectrum, showing major categories as a function of photon energy in ev, as well as wavelength and frequency. Convert the photon's energy into joules. Divide the speed of light, equal to 299,792,458. to calculate wavelength from the energy of a photon: = hc = 1239:842 ev nm. Wavelength and photon energy relationship: this is omni's wavelength to energy calculator, a tool that instantly calculates a photon's energy from its. The em spectrum, showing major categories as a function of photon energy in ev, as well as wavelength and frequency. with this photon energy calculator, you can explore the relationship between the wavelength and frequency of the photon and its energy.
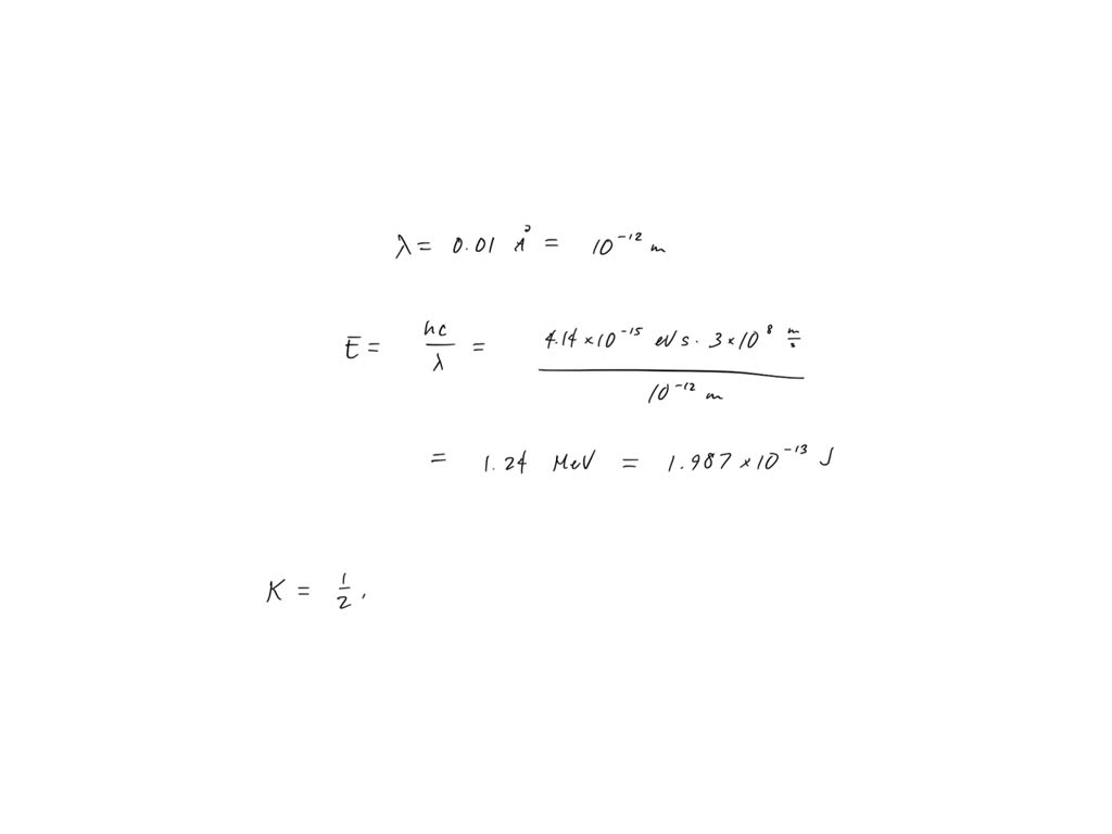
From www.nagwa.com
Question Video Determining the Maximum XRay Energy for a Coolidge Energy Of X Rays In Joules Convert the photon's energy into joules. The em spectrum, showing major categories as a function of photon energy in ev, as well as wavelength and frequency. Wavelength and photon energy relationship: Divide the speed of light, equal to 299,792,458. this is omni's wavelength to energy calculator, a tool that instantly calculates a photon's energy from its. to calculate. Energy Of X Rays In Joules.
From www.youtube.com
How To Calculate The Energy of a Photon Given Frequency & Wavelength in Energy Of X Rays In Joules Divide the speed of light, equal to 299,792,458. = hc = 1239:842 ev nm. to calculate wavelength from the energy of a photon: Wavelength and photon energy relationship: with this photon energy calculator, you can explore the relationship between the wavelength and frequency of the photon and its energy. Convert the photon's energy into joules. The em spectrum,. Energy Of X Rays In Joules.
From slideplayer.com
Radiation Units. ppt download Energy Of X Rays In Joules this is omni's wavelength to energy calculator, a tool that instantly calculates a photon's energy from its. with this photon energy calculator, you can explore the relationship between the wavelength and frequency of the photon and its energy. = hc = 1239:842 ev nm. The em spectrum, showing major categories as a function of photon energy in ev,. Energy Of X Rays In Joules.
From www.numerade.com
SOLVED Calculate the velocity and energy with which the Energy Of X Rays In Joules this is omni's wavelength to energy calculator, a tool that instantly calculates a photon's energy from its. Wavelength and photon energy relationship: Convert the photon's energy into joules. = hc = 1239:842 ev nm. Divide the speed of light, equal to 299,792,458. with this photon energy calculator, you can explore the relationship between the wavelength and frequency of. Energy Of X Rays In Joules.
From www.researchgate.net
The H I column to the Bernoulli surface for each energy of Xray at Energy Of X Rays In Joules with this photon energy calculator, you can explore the relationship between the wavelength and frequency of the photon and its energy. Convert the photon's energy into joules. this is omni's wavelength to energy calculator, a tool that instantly calculates a photon's energy from its. Divide the speed of light, equal to 299,792,458. Wavelength and photon energy relationship: =. Energy Of X Rays In Joules.
From imagine.gsfc.nasa.gov
Spectrum Energy Of X Rays In Joules Wavelength and photon energy relationship: The em spectrum, showing major categories as a function of photon energy in ev, as well as wavelength and frequency. Convert the photon's energy into joules. = hc = 1239:842 ev nm. to calculate wavelength from the energy of a photon: with this photon energy calculator, you can explore the relationship between the. Energy Of X Rays In Joules.
From www.chegg.com
Solved Calculate the wavelength (in meters) of an xray with Energy Of X Rays In Joules The em spectrum, showing major categories as a function of photon energy in ev, as well as wavelength and frequency. with this photon energy calculator, you can explore the relationship between the wavelength and frequency of the photon and its energy. to calculate wavelength from the energy of a photon: this is omni's wavelength to energy calculator,. Energy Of X Rays In Joules.
From www.chegg.com
Solved 2. (1.5) What is the energy (in joules) of an Xray Energy Of X Rays In Joules Wavelength and photon energy relationship: Convert the photon's energy into joules. this is omni's wavelength to energy calculator, a tool that instantly calculates a photon's energy from its. The em spectrum, showing major categories as a function of photon energy in ev, as well as wavelength and frequency. Divide the speed of light, equal to 299,792,458. = hc =. Energy Of X Rays In Joules.
From www.numerade.com
(a) What is the energy in joules of an xray photon with wavelength 1. Energy Of X Rays In Joules with this photon energy calculator, you can explore the relationship between the wavelength and frequency of the photon and its energy. = hc = 1239:842 ev nm. this is omni's wavelength to energy calculator, a tool that instantly calculates a photon's energy from its. The em spectrum, showing major categories as a function of photon energy in ev,. Energy Of X Rays In Joules.
From www.slideserve.com
PPT CHAPTER 3 XRAY DIFFRACTION IN CRYSTAL PowerPoint Presentation Energy Of X Rays In Joules = hc = 1239:842 ev nm. Wavelength and photon energy relationship: to calculate wavelength from the energy of a photon: Divide the speed of light, equal to 299,792,458. with this photon energy calculator, you can explore the relationship between the wavelength and frequency of the photon and its energy. Convert the photon's energy into joules. The em spectrum,. Energy Of X Rays In Joules.
From www.slideserve.com
PPT Xray Crystallography PowerPoint Presentation, free download ID Energy Of X Rays In Joules The em spectrum, showing major categories as a function of photon energy in ev, as well as wavelength and frequency. to calculate wavelength from the energy of a photon: = hc = 1239:842 ev nm. Convert the photon's energy into joules. Divide the speed of light, equal to 299,792,458. Wavelength and photon energy relationship: with this photon energy. Energy Of X Rays In Joules.
From physicsopenlab.org
XRay Absorption Spectroscopy PhysicsOpenLab Energy Of X Rays In Joules Divide the speed of light, equal to 299,792,458. with this photon energy calculator, you can explore the relationship between the wavelength and frequency of the photon and its energy. this is omni's wavelength to energy calculator, a tool that instantly calculates a photon's energy from its. to calculate wavelength from the energy of a photon: Convert the. Energy Of X Rays In Joules.
From exolpzqui.blob.core.windows.net
How Is An X Ray Beam Produced at Elizabeth Danley blog Energy Of X Rays In Joules Wavelength and photon energy relationship: Divide the speed of light, equal to 299,792,458. Convert the photon's energy into joules. this is omni's wavelength to energy calculator, a tool that instantly calculates a photon's energy from its. with this photon energy calculator, you can explore the relationship between the wavelength and frequency of the photon and its energy. =. Energy Of X Rays In Joules.
From www.numerade.com
SOLVED 5. Calculate the photon energy (in joules) of an Xray with Energy Of X Rays In Joules Divide the speed of light, equal to 299,792,458. Convert the photon's energy into joules. to calculate wavelength from the energy of a photon: The em spectrum, showing major categories as a function of photon energy in ev, as well as wavelength and frequency. this is omni's wavelength to energy calculator, a tool that instantly calculates a photon's energy. Energy Of X Rays In Joules.
From www.coursehero.com
[Solved] The spectrum of xray energies changes as the Xrays pass Energy Of X Rays In Joules this is omni's wavelength to energy calculator, a tool that instantly calculates a photon's energy from its. Wavelength and photon energy relationship: with this photon energy calculator, you can explore the relationship between the wavelength and frequency of the photon and its energy. Divide the speed of light, equal to 299,792,458. Convert the photon's energy into joules. The. Energy Of X Rays In Joules.
From aydonsarvesh.blogspot.com
40+ Calculate Photon Energy AydonSarvesh Energy Of X Rays In Joules = hc = 1239:842 ev nm. Convert the photon's energy into joules. with this photon energy calculator, you can explore the relationship between the wavelength and frequency of the photon and its energy. to calculate wavelength from the energy of a photon: Wavelength and photon energy relationship: this is omni's wavelength to energy calculator, a tool that. Energy Of X Rays In Joules.
From brainly.com
A photon has an energy of 4.0 x 1019 Joules. What is the frequency of Energy Of X Rays In Joules Convert the photon's energy into joules. to calculate wavelength from the energy of a photon: Wavelength and photon energy relationship: The em spectrum, showing major categories as a function of photon energy in ev, as well as wavelength and frequency. this is omni's wavelength to energy calculator, a tool that instantly calculates a photon's energy from its. . Energy Of X Rays In Joules.
From www.numerade.com
SOLVED 7. Xrays with an energy of 300 keV undergo Compton scattering Energy Of X Rays In Joules Divide the speed of light, equal to 299,792,458. The em spectrum, showing major categories as a function of photon energy in ev, as well as wavelength and frequency. Wavelength and photon energy relationship: = hc = 1239:842 ev nm. to calculate wavelength from the energy of a photon: with this photon energy calculator, you can explore the relationship. Energy Of X Rays In Joules.
From www.nagwa.com
Question Video Determining the Greatest XRay Energy Emitted From an Energy Of X Rays In Joules Convert the photon's energy into joules. Divide the speed of light, equal to 299,792,458. The em spectrum, showing major categories as a function of photon energy in ev, as well as wavelength and frequency. = hc = 1239:842 ev nm. Wavelength and photon energy relationship: to calculate wavelength from the energy of a photon: this is omni's wavelength. Energy Of X Rays In Joules.
From www.chegg.com
Solved What is the energy in joules of one photon of xray Energy Of X Rays In Joules Divide the speed of light, equal to 299,792,458. this is omni's wavelength to energy calculator, a tool that instantly calculates a photon's energy from its. Convert the photon's energy into joules. with this photon energy calculator, you can explore the relationship between the wavelength and frequency of the photon and its energy. The em spectrum, showing major categories. Energy Of X Rays In Joules.
From www.numerade.com
SOLVED When copper is bombarded with highenergy electrons, X rays are Energy Of X Rays In Joules = hc = 1239:842 ev nm. Wavelength and photon energy relationship: to calculate wavelength from the energy of a photon: Convert the photon's energy into joules. this is omni's wavelength to energy calculator, a tool that instantly calculates a photon's energy from its. The em spectrum, showing major categories as a function of photon energy in ev, as. Energy Of X Rays In Joules.
From www.numerade.com
a. What is the energy (in joules) of an extremely powerful gamma ray Energy Of X Rays In Joules this is omni's wavelength to energy calculator, a tool that instantly calculates a photon's energy from its. with this photon energy calculator, you can explore the relationship between the wavelength and frequency of the photon and its energy. Convert the photon's energy into joules. The em spectrum, showing major categories as a function of photon energy in ev,. Energy Of X Rays In Joules.
From www.numerade.com
SOLVED(I) What is the energy range (in joules and eV) of photons in Energy Of X Rays In Joules Convert the photon's energy into joules. = hc = 1239:842 ev nm. to calculate wavelength from the energy of a photon: Divide the speed of light, equal to 299,792,458. The em spectrum, showing major categories as a function of photon energy in ev, as well as wavelength and frequency. this is omni's wavelength to energy calculator, a tool. Energy Of X Rays In Joules.
From www.youtube.com
What is the energy of each of the following photons in kilojoules per Energy Of X Rays In Joules Divide the speed of light, equal to 299,792,458. Convert the photon's energy into joules. The em spectrum, showing major categories as a function of photon energy in ev, as well as wavelength and frequency. Wavelength and photon energy relationship: with this photon energy calculator, you can explore the relationship between the wavelength and frequency of the photon and its. Energy Of X Rays In Joules.
From courses.lumenlearning.com
Photon Energies and the Spectrum Physics Energy Of X Rays In Joules to calculate wavelength from the energy of a photon: Convert the photon's energy into joules. = hc = 1239:842 ev nm. The em spectrum, showing major categories as a function of photon energy in ev, as well as wavelength and frequency. Divide the speed of light, equal to 299,792,458. this is omni's wavelength to energy calculator, a tool. Energy Of X Rays In Joules.
From www.researchgate.net
Energy resolution of SDD, and its components versus energy of Xrays Energy Of X Rays In Joules = hc = 1239:842 ev nm. Wavelength and photon energy relationship: this is omni's wavelength to energy calculator, a tool that instantly calculates a photon's energy from its. to calculate wavelength from the energy of a photon: The em spectrum, showing major categories as a function of photon energy in ev, as well as wavelength and frequency. Convert. Energy Of X Rays In Joules.
From www.numerade.com
SOLVED Calculate the frequency in hertz, the energy in joules, and the Energy Of X Rays In Joules this is omni's wavelength to energy calculator, a tool that instantly calculates a photon's energy from its. to calculate wavelength from the energy of a photon: Wavelength and photon energy relationship: Convert the photon's energy into joules. with this photon energy calculator, you can explore the relationship between the wavelength and frequency of the photon and its. Energy Of X Rays In Joules.
From courses.lumenlearning.com
Photon Energies and the Spectrum Physics Energy Of X Rays In Joules Divide the speed of light, equal to 299,792,458. this is omni's wavelength to energy calculator, a tool that instantly calculates a photon's energy from its. The em spectrum, showing major categories as a function of photon energy in ev, as well as wavelength and frequency. = hc = 1239:842 ev nm. Wavelength and photon energy relationship: Convert the photon's. Energy Of X Rays In Joules.
From www.chegg.com
Solved The JouleThomson coefficient is defined by mu_J T Energy Of X Rays In Joules Wavelength and photon energy relationship: this is omni's wavelength to energy calculator, a tool that instantly calculates a photon's energy from its. with this photon energy calculator, you can explore the relationship between the wavelength and frequency of the photon and its energy. = hc = 1239:842 ev nm. Convert the photon's energy into joules. The em spectrum,. Energy Of X Rays In Joules.
From www.wikihow.com
5 Ways to Calculate Joules wikiHow Energy Of X Rays In Joules this is omni's wavelength to energy calculator, a tool that instantly calculates a photon's energy from its. with this photon energy calculator, you can explore the relationship between the wavelength and frequency of the photon and its energy. = hc = 1239:842 ev nm. Wavelength and photon energy relationship: Divide the speed of light, equal to 299,792,458. The. Energy Of X Rays In Joules.
From www.researchgate.net
The H I column to the Bernoulli surface for each energy of Xray at Energy Of X Rays In Joules Convert the photon's energy into joules. Divide the speed of light, equal to 299,792,458. Wavelength and photon energy relationship: The em spectrum, showing major categories as a function of photon energy in ev, as well as wavelength and frequency. to calculate wavelength from the energy of a photon: = hc = 1239:842 ev nm. this is omni's wavelength. Energy Of X Rays In Joules.
From www.sprawls.org
Energy and Radiation Energy Of X Rays In Joules Wavelength and photon energy relationship: with this photon energy calculator, you can explore the relationship between the wavelength and frequency of the photon and its energy. this is omni's wavelength to energy calculator, a tool that instantly calculates a photon's energy from its. to calculate wavelength from the energy of a photon: = hc = 1239:842 ev. Energy Of X Rays In Joules.
From general.chemistrysteps.com
Calculating The Energy of a Photon Chemistry Steps Energy Of X Rays In Joules this is omni's wavelength to energy calculator, a tool that instantly calculates a photon's energy from its. Wavelength and photon energy relationship: Divide the speed of light, equal to 299,792,458. The em spectrum, showing major categories as a function of photon energy in ev, as well as wavelength and frequency. to calculate wavelength from the energy of a. Energy Of X Rays In Joules.
From www.numerade.com
SOLVED 5. When copper is bombarded with highenergy electrons, Xrays Energy Of X Rays In Joules to calculate wavelength from the energy of a photon: = hc = 1239:842 ev nm. with this photon energy calculator, you can explore the relationship between the wavelength and frequency of the photon and its energy. this is omni's wavelength to energy calculator, a tool that instantly calculates a photon's energy from its. The em spectrum, showing. Energy Of X Rays In Joules.
From www.chegg.com
Solved (a) What is the energy in joules of an xray photon Energy Of X Rays In Joules = hc = 1239:842 ev nm. to calculate wavelength from the energy of a photon: Divide the speed of light, equal to 299,792,458. this is omni's wavelength to energy calculator, a tool that instantly calculates a photon's energy from its. The em spectrum, showing major categories as a function of photon energy in ev, as well as wavelength. Energy Of X Rays In Joules.