How To Find The Set Of Values Of K . If the discriminant is strictly greater than 2, the. Ok so i thought i'd start with setting the modulus. Ax2 + bx + c = 0. Find the set of all possible values of k. The standard form of quadratic equation is. Find the value of k in the quadratic equation.
from www.youtube.com
Ax2 + bx + c = 0. The standard form of quadratic equation is. If the discriminant is strictly greater than 2, the. Find the value of k in the quadratic equation. Ok so i thought i'd start with setting the modulus. Find the set of all possible values of k.
Determine which values of k will give, one Solution, no Solution, or
How To Find The Set Of Values Of K Ok so i thought i'd start with setting the modulus. Find the set of all possible values of k. Ax2 + bx + c = 0. The standard form of quadratic equation is. Find the value of k in the quadratic equation. Ok so i thought i'd start with setting the modulus. If the discriminant is strictly greater than 2, the.
From www.youtube.com
Find the Value of k in Quadratic Equations when One Root is Given How To Find The Set Of Values Of K If the discriminant is strictly greater than 2, the. The standard form of quadratic equation is. Find the set of all possible values of k. Find the value of k in the quadratic equation. Ax2 + bx + c = 0. Ok so i thought i'd start with setting the modulus. How To Find The Set Of Values Of K.
From www.teachoo.com
Example 7 Find the value of k, if x 1 is a factor Examples How To Find The Set Of Values Of K Ax2 + bx + c = 0. Find the set of all possible values of k. The standard form of quadratic equation is. Ok so i thought i'd start with setting the modulus. If the discriminant is strictly greater than 2, the. Find the value of k in the quadratic equation. How To Find The Set Of Values Of K.
From www.gauthmath.com
Thanks (124) How To Find The Set Of Values Of K Ok so i thought i'd start with setting the modulus. Find the value of k in the quadratic equation. Find the set of all possible values of k. The standard form of quadratic equation is. If the discriminant is strictly greater than 2, the. Ax2 + bx + c = 0. How To Find The Set Of Values Of K.
From www.youtube.com
Find range of k for quadratic equation to have real solution YouTube How To Find The Set Of Values Of K Find the set of all possible values of k. If the discriminant is strictly greater than 2, the. Ok so i thought i'd start with setting the modulus. Ax2 + bx + c = 0. The standard form of quadratic equation is. Find the value of k in the quadratic equation. How To Find The Set Of Values Of K.
From www.youtube.com
GEOMETRIC SEQUENCE FINDING THE VALUE OF K IN THE SEQUENCE YouTube How To Find The Set Of Values Of K Ax2 + bx + c = 0. Find the set of all possible values of k. The standard form of quadratic equation is. Ok so i thought i'd start with setting the modulus. Find the value of k in the quadratic equation. If the discriminant is strictly greater than 2, the. How To Find The Set Of Values Of K.
From www.youtube.com
Find the Value of k and the Two Roots for this Quadratic Equation How To Find The Set Of Values Of K Ax2 + bx + c = 0. If the discriminant is strictly greater than 2, the. The standard form of quadratic equation is. Find the set of all possible values of k. Find the value of k in the quadratic equation. Ok so i thought i'd start with setting the modulus. How To Find The Set Of Values Of K.
From www.youtube.com
Finding the Value of K That Makes a Function Continuous (Example) YouTube How To Find The Set Of Values Of K If the discriminant is strictly greater than 2, the. Find the value of k in the quadratic equation. Ax2 + bx + c = 0. The standard form of quadratic equation is. Ok so i thought i'd start with setting the modulus. Find the set of all possible values of k. How To Find The Set Of Values Of K.
From www.youtube.com
In the following determine the set of values of k for which the given How To Find The Set Of Values Of K If the discriminant is strictly greater than 2, the. Find the set of all possible values of k. Find the value of k in the quadratic equation. Ok so i thought i'd start with setting the modulus. Ax2 + bx + c = 0. The standard form of quadratic equation is. How To Find The Set Of Values Of K.
From www.youtube.com
Find the values of k of quadratic equations, so that they have two How To Find The Set Of Values Of K Find the set of all possible values of k. The standard form of quadratic equation is. Find the value of k in the quadratic equation. Ax2 + bx + c = 0. Ok so i thought i'd start with setting the modulus. If the discriminant is strictly greater than 2, the. How To Find The Set Of Values Of K.
From www.tessshebaylo.com
How To Find The Value Of K In A Quadratic Equation With Equal Roots How To Find The Set Of Values Of K If the discriminant is strictly greater than 2, the. Ax2 + bx + c = 0. Find the set of all possible values of k. Find the value of k in the quadratic equation. Ok so i thought i'd start with setting the modulus. The standard form of quadratic equation is. How To Find The Set Of Values Of K.
From www.toppr.com
The complete set of values of k , for which the quadratic equation x^2 How To Find The Set Of Values Of K Find the set of all possible values of k. Find the value of k in the quadratic equation. Ax2 + bx + c = 0. The standard form of quadratic equation is. If the discriminant is strictly greater than 2, the. Ok so i thought i'd start with setting the modulus. How To Find The Set Of Values Of K.
From www.youtube.com
Find the Value of K given a specific remainder when dividing YouTube How To Find The Set Of Values Of K Find the value of k in the quadratic equation. Find the set of all possible values of k. Ax2 + bx + c = 0. Ok so i thought i'd start with setting the modulus. The standard form of quadratic equation is. If the discriminant is strictly greater than 2, the. How To Find The Set Of Values Of K.
From www.toppr.com
Determine the set of values of k for which the given quadratic equation How To Find The Set Of Values Of K Ok so i thought i'd start with setting the modulus. If the discriminant is strictly greater than 2, the. The standard form of quadratic equation is. Find the value of k in the quadratic equation. Ax2 + bx + c = 0. Find the set of all possible values of k. How To Find The Set Of Values Of K.
From www.teachoo.com
Find value of k, for which one root quadratic equation kx2 14x + 8=0 How To Find The Set Of Values Of K Ok so i thought i'd start with setting the modulus. Ax2 + bx + c = 0. Find the set of all possible values of k. Find the value of k in the quadratic equation. The standard form of quadratic equation is. If the discriminant is strictly greater than 2, the. How To Find The Set Of Values Of K.
From www.youtube.com
Analyse Discriminant and Find Value of K for different number of Real How To Find The Set Of Values Of K Find the value of k in the quadratic equation. The standard form of quadratic equation is. Ok so i thought i'd start with setting the modulus. If the discriminant is strictly greater than 2, the. Find the set of all possible values of k. Ax2 + bx + c = 0. How To Find The Set Of Values Of K.
From www.youtube.com
Find the value of k that will make relation a function. {(3,2), (4,9 How To Find The Set Of Values Of K Find the value of k in the quadratic equation. Ok so i thought i'd start with setting the modulus. If the discriminant is strictly greater than 2, the. Find the set of all possible values of k. The standard form of quadratic equation is. Ax2 + bx + c = 0. How To Find The Set Of Values Of K.
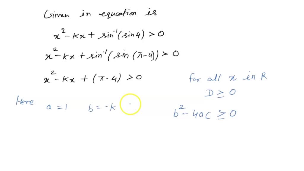
From www.numerade.com
SOLVEDFind the set of values of k for which x^2k x+sin^1(sin4)>0 How To Find The Set Of Values Of K Ax2 + bx + c = 0. Ok so i thought i'd start with setting the modulus. The standard form of quadratic equation is. If the discriminant is strictly greater than 2, the. Find the set of all possible values of k. Find the value of k in the quadratic equation. How To Find The Set Of Values Of K.
From feevalue.com
for what value of k is a perfect square Conformal examples chebfun How To Find The Set Of Values Of K Ok so i thought i'd start with setting the modulus. Find the set of all possible values of k. Ax2 + bx + c = 0. The standard form of quadratic equation is. If the discriminant is strictly greater than 2, the. Find the value of k in the quadratic equation. How To Find The Set Of Values Of K.
From www.numerade.com
SOLVEDfind the values of k for which the matrix A is invertible. A=[ 1 How To Find The Set Of Values Of K Find the set of all possible values of k. If the discriminant is strictly greater than 2, the. Find the value of k in the quadratic equation. Ok so i thought i'd start with setting the modulus. The standard form of quadratic equation is. Ax2 + bx + c = 0. How To Find The Set Of Values Of K.
From www.youtube.com
Find the set of values of k which the line y=2x1 intersects the curve How To Find The Set Of Values Of K Ax2 + bx + c = 0. If the discriminant is strictly greater than 2, the. Find the set of all possible values of k. Ok so i thought i'd start with setting the modulus. Find the value of k in the quadratic equation. The standard form of quadratic equation is. How To Find The Set Of Values Of K.
From www.youtube.com
Transformations of Trig Functions kvalue YouTube How To Find The Set Of Values Of K Find the value of k in the quadratic equation. Find the set of all possible values of k. If the discriminant is strictly greater than 2, the. Ok so i thought i'd start with setting the modulus. The standard form of quadratic equation is. Ax2 + bx + c = 0. How To Find The Set Of Values Of K.
From www.youtube.com
Find the value of k (Integral) YouTube How To Find The Set Of Values Of K If the discriminant is strictly greater than 2, the. The standard form of quadratic equation is. Find the set of all possible values of k. Find the value of k in the quadratic equation. Ok so i thought i'd start with setting the modulus. Ax2 + bx + c = 0. How To Find The Set Of Values Of K.
From www.youtube.com
Find the Value of k for this Quadratic Equation Quick & Simple How To Find The Set Of Values Of K If the discriminant is strictly greater than 2, the. Ok so i thought i'd start with setting the modulus. The standard form of quadratic equation is. Find the value of k in the quadratic equation. Find the set of all possible values of k. Ax2 + bx + c = 0. How To Find The Set Of Values Of K.
From www.youtube.com
Find the Value of k in Quadratics for Different Scenarios Involving How To Find The Set Of Values Of K Find the set of all possible values of k. The standard form of quadratic equation is. Ok so i thought i'd start with setting the modulus. Ax2 + bx + c = 0. Find the value of k in the quadratic equation. If the discriminant is strictly greater than 2, the. How To Find The Set Of Values Of K.
From www.youtube.com
Calculus, find the Value of k in this Integral YouTube How To Find The Set Of Values Of K Find the value of k in the quadratic equation. The standard form of quadratic equation is. Find the set of all possible values of k. Ok so i thought i'd start with setting the modulus. If the discriminant is strictly greater than 2, the. Ax2 + bx + c = 0. How To Find The Set Of Values Of K.
From www.youtube.com
Find the Value of K for which the Quadratic has Equal Roots Quick and How To Find The Set Of Values Of K Find the set of all possible values of k. Ok so i thought i'd start with setting the modulus. Ax2 + bx + c = 0. Find the value of k in the quadratic equation. If the discriminant is strictly greater than 2, the. The standard form of quadratic equation is. How To Find The Set Of Values Of K.
From www.youtube.com
ARITHMETIC SEQUENCE SOLVING FOR THE VALUE OF K. YouTube How To Find The Set Of Values Of K Find the set of all possible values of k. The standard form of quadratic equation is. Ax2 + bx + c = 0. If the discriminant is strictly greater than 2, the. Ok so i thought i'd start with setting the modulus. Find the value of k in the quadratic equation. How To Find The Set Of Values Of K.
From www.youtube.com
Quadratics using discriminant property to find the set of values of K How To Find The Set Of Values Of K Find the set of all possible values of k. Find the value of k in the quadratic equation. Ax2 + bx + c = 0. The standard form of quadratic equation is. If the discriminant is strictly greater than 2, the. Ok so i thought i'd start with setting the modulus. How To Find The Set Of Values Of K.
From www.numerade.com
SOLVED The equation 2x2 3r (k+ 1) = 0, where k is a constant, has no How To Find The Set Of Values Of K Ok so i thought i'd start with setting the modulus. Find the value of k in the quadratic equation. Find the set of all possible values of k. If the discriminant is strictly greater than 2, the. Ax2 + bx + c = 0. The standard form of quadratic equation is. How To Find The Set Of Values Of K.
From byjus.com
find the value of k for which the quadratic polynomial kx^2+x+k has How To Find The Set Of Values Of K Find the set of all possible values of k. Find the value of k in the quadratic equation. The standard form of quadratic equation is. Ok so i thought i'd start with setting the modulus. If the discriminant is strictly greater than 2, the. Ax2 + bx + c = 0. How To Find The Set Of Values Of K.
From www.toppr.com
Determine the set of values of k for which the given quadratic equation How To Find The Set Of Values Of K If the discriminant is strictly greater than 2, the. Ok so i thought i'd start with setting the modulus. Ax2 + bx + c = 0. Find the value of k in the quadratic equation. The standard form of quadratic equation is. Find the set of all possible values of k. How To Find The Set Of Values Of K.
From www.youtube.com
How to find the value of K? YouTube How To Find The Set Of Values Of K Ok so i thought i'd start with setting the modulus. Find the value of k in the quadratic equation. The standard form of quadratic equation is. Find the set of all possible values of k. If the discriminant is strictly greater than 2, the. Ax2 + bx + c = 0. How To Find The Set Of Values Of K.
From www.youtube.com
How to Find the K Value of a Trinomial to make it a Perfect Square How To Find The Set Of Values Of K The standard form of quadratic equation is. Find the value of k in the quadratic equation. Find the set of all possible values of k. If the discriminant is strictly greater than 2, the. Ax2 + bx + c = 0. Ok so i thought i'd start with setting the modulus. How To Find The Set Of Values Of K.
From www.youtube.com
Determine which values of k will give, one Solution, no Solution, or How To Find The Set Of Values Of K Ok so i thought i'd start with setting the modulus. Ax2 + bx + c = 0. The standard form of quadratic equation is. If the discriminant is strictly greater than 2, the. Find the value of k in the quadratic equation. Find the set of all possible values of k. How To Find The Set Of Values Of K.
From www.tessshebaylo.com
How To Find Value Of K In Quadratic Equation Tessshebaylo How To Find The Set Of Values Of K Find the set of all possible values of k. Ok so i thought i'd start with setting the modulus. Ax2 + bx + c = 0. Find the value of k in the quadratic equation. If the discriminant is strictly greater than 2, the. The standard form of quadratic equation is. How To Find The Set Of Values Of K.