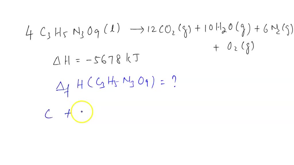
Standard Enthalpy Of Formation For Nitroglycerin . C 3 h 5 n 3 o 9. See examples of thermite, nitroglycerin and diborane. Express your answer using four significant figures.the explosive nitroglycerin (c3h5 n3o9). Calculate the standard enthalpy of formation (δhf∘) for nitroglycerin. Learn how to use enthalpies of formation to calculate the standard change in enthalpy for chemical reactions. Calculate the standard enthalpy of formation (δh∘f) for nitroglycerin. The explosive nitroglycerin (c3h5n3o9) decomposes rapidly. Learn the definition, equation and examples of standard enthalpy of formation, the change in enthalpy when one mole of a substance is. The explosive nitroglycerin (c3h5n3o9) decomposes rapidly upon ignition or sudden impact according to the balanced equation:
from www.youtube.com
The explosive nitroglycerin (c3h5n3o9) decomposes rapidly. C 3 h 5 n 3 o 9. Learn the definition, equation and examples of standard enthalpy of formation, the change in enthalpy when one mole of a substance is. Calculate the standard enthalpy of formation (δhf∘) for nitroglycerin. Calculate the standard enthalpy of formation (δh∘f) for nitroglycerin. See examples of thermite, nitroglycerin and diborane. The explosive nitroglycerin (c3h5n3o9) decomposes rapidly upon ignition or sudden impact according to the balanced equation: Express your answer using four significant figures.the explosive nitroglycerin (c3h5 n3o9). Learn how to use enthalpies of formation to calculate the standard change in enthalpy for chemical reactions.
CHEMISTRY 101 Standard Enthalpy of reaction from Standard Enthalpies
Standard Enthalpy Of Formation For Nitroglycerin The explosive nitroglycerin (c3h5n3o9) decomposes rapidly upon ignition or sudden impact according to the balanced equation: See examples of thermite, nitroglycerin and diborane. Calculate the standard enthalpy of formation (δh∘f) for nitroglycerin. Express your answer using four significant figures.the explosive nitroglycerin (c3h5 n3o9). Learn the definition, equation and examples of standard enthalpy of formation, the change in enthalpy when one mole of a substance is. The explosive nitroglycerin (c3h5n3o9) decomposes rapidly upon ignition or sudden impact according to the balanced equation: The explosive nitroglycerin (c3h5n3o9) decomposes rapidly. Learn how to use enthalpies of formation to calculate the standard change in enthalpy for chemical reactions. C 3 h 5 n 3 o 9. Calculate the standard enthalpy of formation (δhf∘) for nitroglycerin.
From www.chegg.com
Solved When nitroglycerin explodes, the chemical reaction Standard Enthalpy Of Formation For Nitroglycerin Calculate the standard enthalpy of formation (δhf∘) for nitroglycerin. Learn how to use enthalpies of formation to calculate the standard change in enthalpy for chemical reactions. The explosive nitroglycerin (c3h5n3o9) decomposes rapidly upon ignition or sudden impact according to the balanced equation: The explosive nitroglycerin (c3h5n3o9) decomposes rapidly. See examples of thermite, nitroglycerin and diborane. C 3 h 5 n. Standard Enthalpy Of Formation For Nitroglycerin.
From schoolworkhelper.net
Standard Enthalpies of Formation SchoolWorkHelper Standard Enthalpy Of Formation For Nitroglycerin The explosive nitroglycerin (c3h5n3o9) decomposes rapidly upon ignition or sudden impact according to the balanced equation: The explosive nitroglycerin (c3h5n3o9) decomposes rapidly. Express your answer using four significant figures.the explosive nitroglycerin (c3h5 n3o9). Calculate the standard enthalpy of formation (δh∘f) for nitroglycerin. See examples of thermite, nitroglycerin and diborane. Learn the definition, equation and examples of standard enthalpy of formation,. Standard Enthalpy Of Formation For Nitroglycerin.
From mungfali.com
Standard Enthalpy Of Formation Equation Standard Enthalpy Of Formation For Nitroglycerin Learn how to use enthalpies of formation to calculate the standard change in enthalpy for chemical reactions. The explosive nitroglycerin (c3h5n3o9) decomposes rapidly. Express your answer using four significant figures.the explosive nitroglycerin (c3h5 n3o9). Calculate the standard enthalpy of formation (δh∘f) for nitroglycerin. See examples of thermite, nitroglycerin and diborane. Calculate the standard enthalpy of formation (δhf∘) for nitroglycerin. The. Standard Enthalpy Of Formation For Nitroglycerin.
From www.studocu.com
Standard Enthalpy of Formation Table Standard Enthalpy of Formation Standard Enthalpy Of Formation For Nitroglycerin Learn the definition, equation and examples of standard enthalpy of formation, the change in enthalpy when one mole of a substance is. Calculate the standard enthalpy of formation (δh∘f) for nitroglycerin. Calculate the standard enthalpy of formation (δhf∘) for nitroglycerin. See examples of thermite, nitroglycerin and diborane. The explosive nitroglycerin (c3h5n3o9) decomposes rapidly upon ignition or sudden impact according to. Standard Enthalpy Of Formation For Nitroglycerin.
From www.numerade.com
SOLVEDThe explosive nitroglycerin (C3 H5 N3 O9) rapidly Standard Enthalpy Of Formation For Nitroglycerin Express your answer using four significant figures.the explosive nitroglycerin (c3h5 n3o9). Calculate the standard enthalpy of formation (δhf∘) for nitroglycerin. See examples of thermite, nitroglycerin and diborane. Learn the definition, equation and examples of standard enthalpy of formation, the change in enthalpy when one mole of a substance is. The explosive nitroglycerin (c3h5n3o9) decomposes rapidly upon ignition or sudden impact. Standard Enthalpy Of Formation For Nitroglycerin.
From www.youtube.com
5.7 Standard Enthalpies of Formation YouTube Standard Enthalpy Of Formation For Nitroglycerin Calculate the standard enthalpy of formation (δhf∘) for nitroglycerin. Learn the definition, equation and examples of standard enthalpy of formation, the change in enthalpy when one mole of a substance is. C 3 h 5 n 3 o 9. The explosive nitroglycerin (c3h5n3o9) decomposes rapidly. See examples of thermite, nitroglycerin and diborane. Calculate the standard enthalpy of formation (δh∘f) for. Standard Enthalpy Of Formation For Nitroglycerin.
From www.slideserve.com
PPT Standard Enthalpies of Formation PowerPoint Presentation, free Standard Enthalpy Of Formation For Nitroglycerin Express your answer using four significant figures.the explosive nitroglycerin (c3h5 n3o9). Learn how to use enthalpies of formation to calculate the standard change in enthalpy for chemical reactions. Learn the definition, equation and examples of standard enthalpy of formation, the change in enthalpy when one mole of a substance is. The explosive nitroglycerin (c3h5n3o9) decomposes rapidly upon ignition or sudden. Standard Enthalpy Of Formation For Nitroglycerin.
From www.numerade.com
SOLVED Using Standard Enthalpy of Formation Enthalpy Test (all Standard Enthalpy Of Formation For Nitroglycerin Express your answer using four significant figures.the explosive nitroglycerin (c3h5 n3o9). The explosive nitroglycerin (c3h5n3o9) decomposes rapidly. Learn how to use enthalpies of formation to calculate the standard change in enthalpy for chemical reactions. Learn the definition, equation and examples of standard enthalpy of formation, the change in enthalpy when one mole of a substance is. Calculate the standard enthalpy. Standard Enthalpy Of Formation For Nitroglycerin.
From general.chemistrysteps.com
Standard Enthalpies of Formation Chemistry Steps Standard Enthalpy Of Formation For Nitroglycerin The explosive nitroglycerin (c3h5n3o9) decomposes rapidly. Express your answer using four significant figures.the explosive nitroglycerin (c3h5 n3o9). The explosive nitroglycerin (c3h5n3o9) decomposes rapidly upon ignition or sudden impact according to the balanced equation: Calculate the standard enthalpy of formation (δh∘f) for nitroglycerin. Calculate the standard enthalpy of formation (δhf∘) for nitroglycerin. Learn the definition, equation and examples of standard enthalpy. Standard Enthalpy Of Formation For Nitroglycerin.
From www.studypool.com
SOLUTION Standard enthalpy of formation Studypool Standard Enthalpy Of Formation For Nitroglycerin The explosive nitroglycerin (c3h5n3o9) decomposes rapidly. Calculate the standard enthalpy of formation (δh∘f) for nitroglycerin. C 3 h 5 n 3 o 9. Calculate the standard enthalpy of formation (δhf∘) for nitroglycerin. Learn the definition, equation and examples of standard enthalpy of formation, the change in enthalpy when one mole of a substance is. The explosive nitroglycerin (c3h5n3o9) decomposes rapidly. Standard Enthalpy Of Formation For Nitroglycerin.
From mungfali.com
Enthalpies Of Formation Table Standard Enthalpy Of Formation For Nitroglycerin Calculate the standard enthalpy of formation (δh∘f) for nitroglycerin. Learn the definition, equation and examples of standard enthalpy of formation, the change in enthalpy when one mole of a substance is. See examples of thermite, nitroglycerin and diborane. C 3 h 5 n 3 o 9. The explosive nitroglycerin (c3h5n3o9) decomposes rapidly. Express your answer using four significant figures.the explosive. Standard Enthalpy Of Formation For Nitroglycerin.
From www.youtube.com
CHEMISTRY 101 Standard enthalpies of formation and reaction YouTube Standard Enthalpy Of Formation For Nitroglycerin C 3 h 5 n 3 o 9. The explosive nitroglycerin (c3h5n3o9) decomposes rapidly. See examples of thermite, nitroglycerin and diborane. Calculate the standard enthalpy of formation (δh∘f) for nitroglycerin. The explosive nitroglycerin (c3h5n3o9) decomposes rapidly upon ignition or sudden impact according to the balanced equation: Learn how to use enthalpies of formation to calculate the standard change in enthalpy. Standard Enthalpy Of Formation For Nitroglycerin.
From studylib.net
I. Standard Enthalpies of Formation Standard Enthalpy Of Formation For Nitroglycerin Learn the definition, equation and examples of standard enthalpy of formation, the change in enthalpy when one mole of a substance is. C 3 h 5 n 3 o 9. Calculate the standard enthalpy of formation (δh∘f) for nitroglycerin. Express your answer using four significant figures.the explosive nitroglycerin (c3h5 n3o9). See examples of thermite, nitroglycerin and diborane. The explosive nitroglycerin. Standard Enthalpy Of Formation For Nitroglycerin.
From classnotes.org.in
Enthalpies Of Reaction Chemistry, Class 11, Thermodynamics Standard Enthalpy Of Formation For Nitroglycerin Calculate the standard enthalpy of formation (δhf∘) for nitroglycerin. The explosive nitroglycerin (c3h5n3o9) decomposes rapidly. See examples of thermite, nitroglycerin and diborane. The explosive nitroglycerin (c3h5n3o9) decomposes rapidly upon ignition or sudden impact according to the balanced equation: Learn the definition, equation and examples of standard enthalpy of formation, the change in enthalpy when one mole of a substance is.. Standard Enthalpy Of Formation For Nitroglycerin.
From www.numerade.com
SOLVED 2.) Calculate the enthalpy of reaction for the of Standard Enthalpy Of Formation For Nitroglycerin Learn how to use enthalpies of formation to calculate the standard change in enthalpy for chemical reactions. See examples of thermite, nitroglycerin and diborane. Calculate the standard enthalpy of formation (δhf∘) for nitroglycerin. The explosive nitroglycerin (c3h5n3o9) decomposes rapidly upon ignition or sudden impact according to the balanced equation: Calculate the standard enthalpy of formation (δh∘f) for nitroglycerin. Learn the. Standard Enthalpy Of Formation For Nitroglycerin.
From www.youtube.com
CHEM 101 Using Standard Enthalpies of Formation and Standard Enthalpy Standard Enthalpy Of Formation For Nitroglycerin The explosive nitroglycerin (c3h5n3o9) decomposes rapidly. Calculate the standard enthalpy of formation (δh∘f) for nitroglycerin. Learn the definition, equation and examples of standard enthalpy of formation, the change in enthalpy when one mole of a substance is. See examples of thermite, nitroglycerin and diborane. Learn how to use enthalpies of formation to calculate the standard change in enthalpy for chemical. Standard Enthalpy Of Formation For Nitroglycerin.
From www.numerade.com
SOLVED The explosive nitroglycerin (C3H5N3O9) rapidly upon Standard Enthalpy Of Formation For Nitroglycerin See examples of thermite, nitroglycerin and diborane. Learn the definition, equation and examples of standard enthalpy of formation, the change in enthalpy when one mole of a substance is. Calculate the standard enthalpy of formation (δhf∘) for nitroglycerin. C 3 h 5 n 3 o 9. Learn how to use enthalpies of formation to calculate the standard change in enthalpy. Standard Enthalpy Of Formation For Nitroglycerin.
From www.numerade.com
SOLVED Nitroglycerin (C3H5N3O9) rapidly upon ignition or Standard Enthalpy Of Formation For Nitroglycerin Express your answer using four significant figures.the explosive nitroglycerin (c3h5 n3o9). C 3 h 5 n 3 o 9. The explosive nitroglycerin (c3h5n3o9) decomposes rapidly. See examples of thermite, nitroglycerin and diborane. Learn how to use enthalpies of formation to calculate the standard change in enthalpy for chemical reactions. Calculate the standard enthalpy of formation (δhf∘) for nitroglycerin. Learn the. Standard Enthalpy Of Formation For Nitroglycerin.
From www.youtube.com
What is the standard enthalpy of formation for nitroglycerin? Express Standard Enthalpy Of Formation For Nitroglycerin Calculate the standard enthalpy of formation (δh∘f) for nitroglycerin. C 3 h 5 n 3 o 9. The explosive nitroglycerin (c3h5n3o9) decomposes rapidly upon ignition or sudden impact according to the balanced equation: Learn the definition, equation and examples of standard enthalpy of formation, the change in enthalpy when one mole of a substance is. Calculate the standard enthalpy of. Standard Enthalpy Of Formation For Nitroglycerin.
From www.slideshare.net
Lect w10 abbrev_ thermochemistry_alg Standard Enthalpy Of Formation For Nitroglycerin Learn the definition, equation and examples of standard enthalpy of formation, the change in enthalpy when one mole of a substance is. C 3 h 5 n 3 o 9. The explosive nitroglycerin (c3h5n3o9) decomposes rapidly upon ignition or sudden impact according to the balanced equation: Express your answer using four significant figures.the explosive nitroglycerin (c3h5 n3o9). Calculate the standard. Standard Enthalpy Of Formation For Nitroglycerin.
From www.numerade.com
The heat of formation of nitrogen monoxide gas cannot be measured Standard Enthalpy Of Formation For Nitroglycerin C 3 h 5 n 3 o 9. The explosive nitroglycerin (c3h5n3o9) decomposes rapidly upon ignition or sudden impact according to the balanced equation: Learn how to use enthalpies of formation to calculate the standard change in enthalpy for chemical reactions. Calculate the standard enthalpy of formation (δh∘f) for nitroglycerin. Calculate the standard enthalpy of formation (δhf∘) for nitroglycerin. Express. Standard Enthalpy Of Formation For Nitroglycerin.
From www.youtube.com
CHEMISTRY 101 Standard Enthalpy of reaction from Standard Enthalpies Standard Enthalpy Of Formation For Nitroglycerin Learn the definition, equation and examples of standard enthalpy of formation, the change in enthalpy when one mole of a substance is. C 3 h 5 n 3 o 9. Learn how to use enthalpies of formation to calculate the standard change in enthalpy for chemical reactions. Calculate the standard enthalpy of formation (δh∘f) for nitroglycerin. The explosive nitroglycerin (c3h5n3o9). Standard Enthalpy Of Formation For Nitroglycerin.
From www.slideserve.com
PPT Standard Enthalpy Changes = D H o PowerPoint Presentation, free Standard Enthalpy Of Formation For Nitroglycerin Express your answer using four significant figures.the explosive nitroglycerin (c3h5 n3o9). Calculate the standard enthalpy of formation (δhf∘) for nitroglycerin. The explosive nitroglycerin (c3h5n3o9) decomposes rapidly upon ignition or sudden impact according to the balanced equation: Calculate the standard enthalpy of formation (δh∘f) for nitroglycerin. See examples of thermite, nitroglycerin and diborane. Learn how to use enthalpies of formation to. Standard Enthalpy Of Formation For Nitroglycerin.
From www.chegg.com
Solved MI Review Consta Nitroglycerin (C3H5N309) undergoes Standard Enthalpy Of Formation For Nitroglycerin See examples of thermite, nitroglycerin and diborane. Calculate the standard enthalpy of formation (δhf∘) for nitroglycerin. Learn the definition, equation and examples of standard enthalpy of formation, the change in enthalpy when one mole of a substance is. Express your answer using four significant figures.the explosive nitroglycerin (c3h5 n3o9). C 3 h 5 n 3 o 9. Learn how to. Standard Enthalpy Of Formation For Nitroglycerin.
From www.chegg.com
Solved Calculate the standard enthalpy of formation (ΔHf∘) Standard Enthalpy Of Formation For Nitroglycerin Learn how to use enthalpies of formation to calculate the standard change in enthalpy for chemical reactions. C 3 h 5 n 3 o 9. Calculate the standard enthalpy of formation (δhf∘) for nitroglycerin. Calculate the standard enthalpy of formation (δh∘f) for nitroglycerin. Learn the definition, equation and examples of standard enthalpy of formation, the change in enthalpy when one. Standard Enthalpy Of Formation For Nitroglycerin.
From www.vrogue.co
Standard Enthalpy Of Formation And Standard Free Ener vrogue.co Standard Enthalpy Of Formation For Nitroglycerin Learn how to use enthalpies of formation to calculate the standard change in enthalpy for chemical reactions. The explosive nitroglycerin (c3h5n3o9) decomposes rapidly upon ignition or sudden impact according to the balanced equation: Calculate the standard enthalpy of formation (δh∘f) for nitroglycerin. Learn the definition, equation and examples of standard enthalpy of formation, the change in enthalpy when one mole. Standard Enthalpy Of Formation For Nitroglycerin.
From www.chegg.com
Solved Use the standard enthalpies of formation in the table Standard Enthalpy Of Formation For Nitroglycerin Learn how to use enthalpies of formation to calculate the standard change in enthalpy for chemical reactions. The explosive nitroglycerin (c3h5n3o9) decomposes rapidly. Calculate the standard enthalpy of formation (δhf∘) for nitroglycerin. Learn the definition, equation and examples of standard enthalpy of formation, the change in enthalpy when one mole of a substance is. C 3 h 5 n 3. Standard Enthalpy Of Formation For Nitroglycerin.
From pdfprof.com
enthalpies standard de formation et entropie standard Standard Enthalpy Of Formation For Nitroglycerin Learn how to use enthalpies of formation to calculate the standard change in enthalpy for chemical reactions. Calculate the standard enthalpy of formation (δh∘f) for nitroglycerin. Calculate the standard enthalpy of formation (δhf∘) for nitroglycerin. Learn the definition, equation and examples of standard enthalpy of formation, the change in enthalpy when one mole of a substance is. The explosive nitroglycerin. Standard Enthalpy Of Formation For Nitroglycerin.
From www.chegg.com
Solved Enthalpies of formationa) For the of Standard Enthalpy Of Formation For Nitroglycerin Calculate the standard enthalpy of formation (δh∘f) for nitroglycerin. Express your answer using four significant figures.the explosive nitroglycerin (c3h5 n3o9). Learn the definition, equation and examples of standard enthalpy of formation, the change in enthalpy when one mole of a substance is. Learn how to use enthalpies of formation to calculate the standard change in enthalpy for chemical reactions. The. Standard Enthalpy Of Formation For Nitroglycerin.
From lessonluft.z19.web.core.windows.net
Heat Of Formation Chart Standard Enthalpy Of Formation For Nitroglycerin Calculate the standard enthalpy of formation (δhf∘) for nitroglycerin. Learn the definition, equation and examples of standard enthalpy of formation, the change in enthalpy when one mole of a substance is. The explosive nitroglycerin (c3h5n3o9) decomposes rapidly. Learn how to use enthalpies of formation to calculate the standard change in enthalpy for chemical reactions. The explosive nitroglycerin (c3h5n3o9) decomposes rapidly. Standard Enthalpy Of Formation For Nitroglycerin.
From www.slideshare.net
Standard enthalpy of formation Standard Enthalpy Of Formation For Nitroglycerin Calculate the standard enthalpy of formation (δhf∘) for nitroglycerin. Learn the definition, equation and examples of standard enthalpy of formation, the change in enthalpy when one mole of a substance is. C 3 h 5 n 3 o 9. Calculate the standard enthalpy of formation (δh∘f) for nitroglycerin. The explosive nitroglycerin (c3h5n3o9) decomposes rapidly upon ignition or sudden impact according. Standard Enthalpy Of Formation For Nitroglycerin.
From www.researchgate.net
Molecular weight, standard enthalpy of formation and thermal Standard Enthalpy Of Formation For Nitroglycerin C 3 h 5 n 3 o 9. Express your answer using four significant figures.the explosive nitroglycerin (c3h5 n3o9). Learn how to use enthalpies of formation to calculate the standard change in enthalpy for chemical reactions. The explosive nitroglycerin (c3h5n3o9) decomposes rapidly. The explosive nitroglycerin (c3h5n3o9) decomposes rapidly upon ignition or sudden impact according to the balanced equation: Calculate the. Standard Enthalpy Of Formation For Nitroglycerin.
From www.chegg.com
Solved The standard enthalpy of formation (ΔHf∘) is the Standard Enthalpy Of Formation For Nitroglycerin The explosive nitroglycerin (c3h5n3o9) decomposes rapidly. Express your answer using four significant figures.the explosive nitroglycerin (c3h5 n3o9). Calculate the standard enthalpy of formation (δh∘f) for nitroglycerin. C 3 h 5 n 3 o 9. Calculate the standard enthalpy of formation (δhf∘) for nitroglycerin. Learn the definition, equation and examples of standard enthalpy of formation, the change in enthalpy when one. Standard Enthalpy Of Formation For Nitroglycerin.
From mungfali.com
Enthalpies Of Formation Chart Standard Enthalpy Of Formation For Nitroglycerin C 3 h 5 n 3 o 9. The explosive nitroglycerin (c3h5n3o9) decomposes rapidly. Learn how to use enthalpies of formation to calculate the standard change in enthalpy for chemical reactions. Express your answer using four significant figures.the explosive nitroglycerin (c3h5 n3o9). See examples of thermite, nitroglycerin and diborane. Calculate the standard enthalpy of formation (δh∘f) for nitroglycerin. The explosive. Standard Enthalpy Of Formation For Nitroglycerin.
From www.slideshare.net
Tang 03 enthalpy of formation and combustion Standard Enthalpy Of Formation For Nitroglycerin The explosive nitroglycerin (c3h5n3o9) decomposes rapidly upon ignition or sudden impact according to the balanced equation: Calculate the standard enthalpy of formation (δh∘f) for nitroglycerin. Learn how to use enthalpies of formation to calculate the standard change in enthalpy for chemical reactions. Learn the definition, equation and examples of standard enthalpy of formation, the change in enthalpy when one mole. Standard Enthalpy Of Formation For Nitroglycerin.