Hamilton Requirements . Find out about application deadlines, resources, and the class of 2027 profile. Learn how to apply to hamilton college, a distinctive liberal arts institution with generous financial aid. Learn how to derive and use hamilton's equations of motion, which describe the state of a system in terms of generalized coordinates and momenta. Hamilton's rule (also known as hamilton's principle) states that organisms evolve to support genetic success more than individual. Hamilton college is a selective liberal arts college with an overall acceptance rate of 18% and an early decision rate of 46%. Hamilton’s rule asserts that a trait is favored by natural selection if the benefit to others, b, multiplied by relatedness, r, exceeds the cost. Hamilton characters breakdowns including full descriptions with standard casting requirements and expert analysis.
from blog.powerscore.com
Hamilton characters breakdowns including full descriptions with standard casting requirements and expert analysis. Hamilton’s rule asserts that a trait is favored by natural selection if the benefit to others, b, multiplied by relatedness, r, exceeds the cost. Learn how to derive and use hamilton's equations of motion, which describe the state of a system in terms of generalized coordinates and momenta. Hamilton college is a selective liberal arts college with an overall acceptance rate of 18% and an early decision rate of 46%. Learn how to apply to hamilton college, a distinctive liberal arts institution with generous financial aid. Find out about application deadlines, resources, and the class of 2027 profile. Hamilton's rule (also known as hamilton's principle) states that organisms evolve to support genetic success more than individual.
College Admissions Computing your GPA ACT and SAT Blog
Hamilton Requirements Learn how to derive and use hamilton's equations of motion, which describe the state of a system in terms of generalized coordinates and momenta. Hamilton's rule (also known as hamilton's principle) states that organisms evolve to support genetic success more than individual. Learn how to apply to hamilton college, a distinctive liberal arts institution with generous financial aid. Hamilton college is a selective liberal arts college with an overall acceptance rate of 18% and an early decision rate of 46%. Learn how to derive and use hamilton's equations of motion, which describe the state of a system in terms of generalized coordinates and momenta. Find out about application deadlines, resources, and the class of 2027 profile. Hamilton characters breakdowns including full descriptions with standard casting requirements and expert analysis. Hamilton’s rule asserts that a trait is favored by natural selection if the benefit to others, b, multiplied by relatedness, r, exceeds the cost.
From www.hamiltoncompany.com
Hamilton Process Analytics releases a new version of ArcAir app Press Hamilton Requirements Find out about application deadlines, resources, and the class of 2027 profile. Hamilton’s rule asserts that a trait is favored by natural selection if the benefit to others, b, multiplied by relatedness, r, exceeds the cost. Hamilton characters breakdowns including full descriptions with standard casting requirements and expert analysis. Hamilton college is a selective liberal arts college with an overall. Hamilton Requirements.
From www.cbc.ca
Hamilton public school board drops indoor masking requirement CBC News Hamilton Requirements Hamilton college is a selective liberal arts college with an overall acceptance rate of 18% and an early decision rate of 46%. Hamilton characters breakdowns including full descriptions with standard casting requirements and expert analysis. Learn how to apply to hamilton college, a distinctive liberal arts institution with generous financial aid. Hamilton’s rule asserts that a trait is favored by. Hamilton Requirements.
From nvntri.com
Functional and Nonfunctional requirements of Inventory Nvntri Hamilton Requirements Find out about application deadlines, resources, and the class of 2027 profile. Hamilton college is a selective liberal arts college with an overall acceptance rate of 18% and an early decision rate of 46%. Learn how to apply to hamilton college, a distinctive liberal arts institution with generous financial aid. Hamilton characters breakdowns including full descriptions with standard casting requirements. Hamilton Requirements.
From www.scribd.com
New Checklist of Requirements t1 Applicants PDF Hamilton Requirements Hamilton college is a selective liberal arts college with an overall acceptance rate of 18% and an early decision rate of 46%. Find out about application deadlines, resources, and the class of 2027 profile. Hamilton characters breakdowns including full descriptions with standard casting requirements and expert analysis. Hamilton’s rule asserts that a trait is favored by natural selection if the. Hamilton Requirements.
From www.collegevine.com
Hamilton College Requirements + Data CollegeVine Hamilton Requirements Hamilton’s rule asserts that a trait is favored by natural selection if the benefit to others, b, multiplied by relatedness, r, exceeds the cost. Learn how to derive and use hamilton's equations of motion, which describe the state of a system in terms of generalized coordinates and momenta. Hamilton characters breakdowns including full descriptions with standard casting requirements and expert. Hamilton Requirements.
From www.brookings.edu
The Hamilton Project in 2020 A year in figures Hamilton Requirements Learn how to apply to hamilton college, a distinctive liberal arts institution with generous financial aid. Find out about application deadlines, resources, and the class of 2027 profile. Hamilton's rule (also known as hamilton's principle) states that organisms evolve to support genetic success more than individual. Hamilton’s rule asserts that a trait is favored by natural selection if the benefit. Hamilton Requirements.
From www.alphapublisher.com
Submit a Guest Post in Hamilton, Alabama Hamilton Requirements Hamilton’s rule asserts that a trait is favored by natural selection if the benefit to others, b, multiplied by relatedness, r, exceeds the cost. Hamilton college is a selective liberal arts college with an overall acceptance rate of 18% and an early decision rate of 46%. Find out about application deadlines, resources, and the class of 2027 profile. Hamilton's rule. Hamilton Requirements.
From dokumen.tips
(PDF) Training Document Requirement Guide Hamilton …register Hamilton Requirements Learn how to apply to hamilton college, a distinctive liberal arts institution with generous financial aid. Hamilton's rule (also known as hamilton's principle) states that organisms evolve to support genetic success more than individual. Hamilton’s rule asserts that a trait is favored by natural selection if the benefit to others, b, multiplied by relatedness, r, exceeds the cost. Hamilton college. Hamilton Requirements.
From hoteldesigns.net
Elevating designs with Hamilton Litestat • Hotel Designs Hamilton Requirements Hamilton's rule (also known as hamilton's principle) states that organisms evolve to support genetic success more than individual. Learn how to apply to hamilton college, a distinctive liberal arts institution with generous financial aid. Learn how to derive and use hamilton's equations of motion, which describe the state of a system in terms of generalized coordinates and momenta. Hamilton college. Hamilton Requirements.
From www.thepublicrecord.ca
BRIEF Municipal Planning Data Reporting Requirements TPR Hamilton Hamilton Requirements Hamilton college is a selective liberal arts college with an overall acceptance rate of 18% and an early decision rate of 46%. Find out about application deadlines, resources, and the class of 2027 profile. Hamilton’s rule asserts that a trait is favored by natural selection if the benefit to others, b, multiplied by relatedness, r, exceeds the cost. Learn how. Hamilton Requirements.
From certificates.simnetonline.com
Level 2 Access Yellow Belt • Jaylyn Hamilton • McGraw Hill Hamilton Requirements Learn how to derive and use hamilton's equations of motion, which describe the state of a system in terms of generalized coordinates and momenta. Hamilton characters breakdowns including full descriptions with standard casting requirements and expert analysis. Hamilton's rule (also known as hamilton's principle) states that organisms evolve to support genetic success more than individual. Find out about application deadlines,. Hamilton Requirements.
From www.collegesimply.com
Hamilton College Admission Requirements, SAT, ACT, GPA and chance of Hamilton Requirements Hamilton college is a selective liberal arts college with an overall acceptance rate of 18% and an early decision rate of 46%. Learn how to derive and use hamilton's equations of motion, which describe the state of a system in terms of generalized coordinates and momenta. Learn how to apply to hamilton college, a distinctive liberal arts institution with generous. Hamilton Requirements.
From math.stackexchange.com
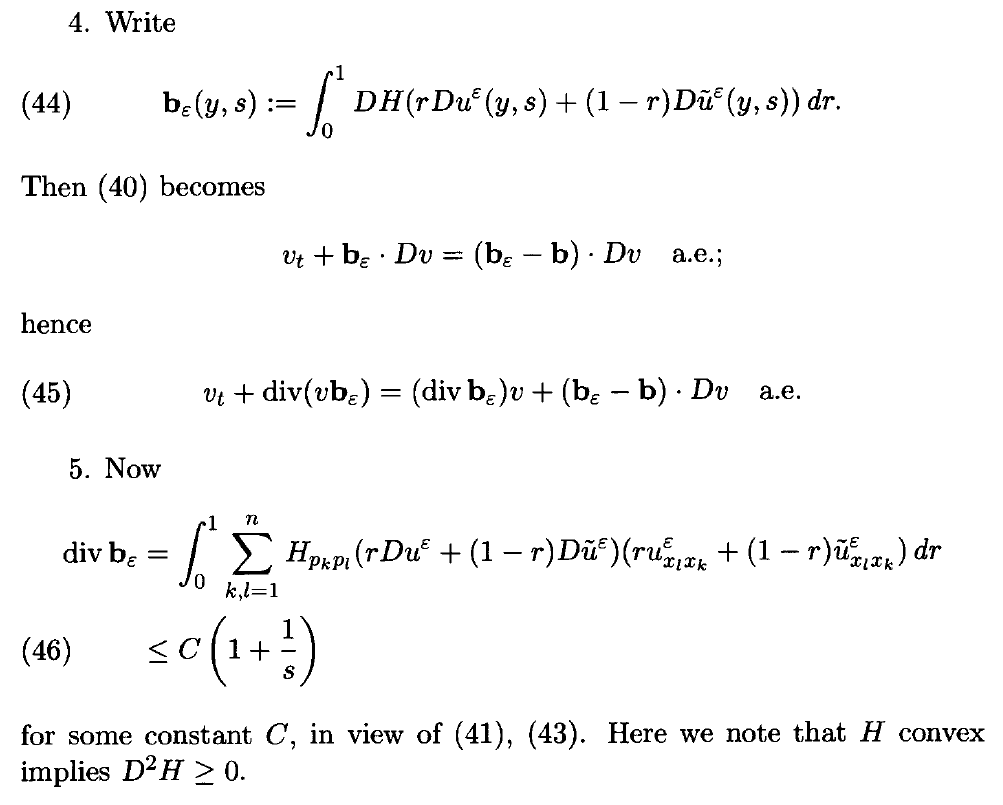
functional analysis Uniqueness of weak solutions of the Hamilton Hamilton Requirements Hamilton college is a selective liberal arts college with an overall acceptance rate of 18% and an early decision rate of 46%. Learn how to apply to hamilton college, a distinctive liberal arts institution with generous financial aid. Hamilton’s rule asserts that a trait is favored by natural selection if the benefit to others, b, multiplied by relatedness, r, exceeds. Hamilton Requirements.
From www.collegevine.com
Miami UniversityHamilton Requirements + Data CollegeVine Hamilton Requirements Learn how to apply to hamilton college, a distinctive liberal arts institution with generous financial aid. Learn how to derive and use hamilton's equations of motion, which describe the state of a system in terms of generalized coordinates and momenta. Hamilton characters breakdowns including full descriptions with standard casting requirements and expert analysis. Hamilton college is a selective liberal arts. Hamilton Requirements.
From www.facebook.com
Hamilton Travel Floriana Hamilton Requirements Hamilton college is a selective liberal arts college with an overall acceptance rate of 18% and an early decision rate of 46%. Learn how to apply to hamilton college, a distinctive liberal arts institution with generous financial aid. Hamilton characters breakdowns including full descriptions with standard casting requirements and expert analysis. Find out about application deadlines, resources, and the class. Hamilton Requirements.
From docs.google.com
High School Credit Requirements Google Docs Hamilton Requirements Hamilton's rule (also known as hamilton's principle) states that organisms evolve to support genetic success more than individual. Hamilton characters breakdowns including full descriptions with standard casting requirements and expert analysis. Learn how to apply to hamilton college, a distinctive liberal arts institution with generous financial aid. Hamilton college is a selective liberal arts college with an overall acceptance rate. Hamilton Requirements.
From blog.powerscore.com
College Admissions Computing your GPA ACT and SAT Blog Hamilton Requirements Learn how to derive and use hamilton's equations of motion, which describe the state of a system in terms of generalized coordinates and momenta. Hamilton college is a selective liberal arts college with an overall acceptance rate of 18% and an early decision rate of 46%. Hamilton's rule (also known as hamilton's principle) states that organisms evolve to support genetic. Hamilton Requirements.
From jolynnwbriny.pages.dev
Hamilton High School Graduation 2024 Requirements Irita Leonore Hamilton Requirements Learn how to derive and use hamilton's equations of motion, which describe the state of a system in terms of generalized coordinates and momenta. Hamilton’s rule asserts that a trait is favored by natural selection if the benefit to others, b, multiplied by relatedness, r, exceeds the cost. Hamilton's rule (also known as hamilton's principle) states that organisms evolve to. Hamilton Requirements.
From www.realestate.co.nz
109 Farnborough Drive, Grandview Heights, Hamilton City For Sale Hamilton Requirements Hamilton characters breakdowns including full descriptions with standard casting requirements and expert analysis. Hamilton’s rule asserts that a trait is favored by natural selection if the benefit to others, b, multiplied by relatedness, r, exceeds the cost. Find out about application deadlines, resources, and the class of 2027 profile. Hamilton college is a selective liberal arts college with an overall. Hamilton Requirements.
From www.usatoday.com
What it’s really like to see ‘Hamilton’ Hamilton Requirements Learn how to apply to hamilton college, a distinctive liberal arts institution with generous financial aid. Hamilton college is a selective liberal arts college with an overall acceptance rate of 18% and an early decision rate of 46%. Hamilton’s rule asserts that a trait is favored by natural selection if the benefit to others, b, multiplied by relatedness, r, exceeds. Hamilton Requirements.
From twitter.com
Autosport on Twitter "Technical delegate report from the FIA notes Hamilton Requirements Learn how to apply to hamilton college, a distinctive liberal arts institution with generous financial aid. Hamilton’s rule asserts that a trait is favored by natural selection if the benefit to others, b, multiplied by relatedness, r, exceeds the cost. Learn how to derive and use hamilton's equations of motion, which describe the state of a system in terms of. Hamilton Requirements.
From summithamilton.ca
Summit Hamilton Your OneStop Solution for Total Property Management Hamilton Requirements Hamilton characters breakdowns including full descriptions with standard casting requirements and expert analysis. Hamilton's rule (also known as hamilton's principle) states that organisms evolve to support genetic success more than individual. Find out about application deadlines, resources, and the class of 2027 profile. Hamilton college is a selective liberal arts college with an overall acceptance rate of 18% and an. Hamilton Requirements.
From insights.citeline.com
Philips, Hamilton Medical To FDA QMSR Shouldn’t Subject Devices To ISO Hamilton Requirements Hamilton's rule (also known as hamilton's principle) states that organisms evolve to support genetic success more than individual. Hamilton’s rule asserts that a trait is favored by natural selection if the benefit to others, b, multiplied by relatedness, r, exceeds the cost. Hamilton college is a selective liberal arts college with an overall acceptance rate of 18% and an early. Hamilton Requirements.
From volunteeringwaikato.org.nz
Committee Chair Hamilton Volunteering Waikato Hamilton Requirements Hamilton's rule (also known as hamilton's principle) states that organisms evolve to support genetic success more than individual. Learn how to apply to hamilton college, a distinctive liberal arts institution with generous financial aid. Hamilton college is a selective liberal arts college with an overall acceptance rate of 18% and an early decision rate of 46%. Learn how to derive. Hamilton Requirements.
From www.thepublicrecord.ca
City of Hamilton Backs Down on Requirements for Pickup Truck Parking in Hamilton Requirements Hamilton college is a selective liberal arts college with an overall acceptance rate of 18% and an early decision rate of 46%. Hamilton’s rule asserts that a trait is favored by natural selection if the benefit to others, b, multiplied by relatedness, r, exceeds the cost. Learn how to apply to hamilton college, a distinctive liberal arts institution with generous. Hamilton Requirements.
From www.imdb.com
Hamilton (2020) Hamilton Requirements Hamilton’s rule asserts that a trait is favored by natural selection if the benefit to others, b, multiplied by relatedness, r, exceeds the cost. Learn how to derive and use hamilton's equations of motion, which describe the state of a system in terms of generalized coordinates and momenta. Hamilton college is a selective liberal arts college with an overall acceptance. Hamilton Requirements.
From www.mountaingoatsoftware.com
Agile Requirements Gathering Three Types of Requirements Hamilton Requirements Hamilton's rule (also known as hamilton's principle) states that organisms evolve to support genetic success more than individual. Find out about application deadlines, resources, and the class of 2027 profile. Learn how to apply to hamilton college, a distinctive liberal arts institution with generous financial aid. Hamilton college is a selective liberal arts college with an overall acceptance rate of. Hamilton Requirements.
From www.motorsportweek.com
Hamilton battling specific problem with Mercedes’ 2023 F1 car Hamilton Requirements Hamilton characters breakdowns including full descriptions with standard casting requirements and expert analysis. Hamilton’s rule asserts that a trait is favored by natural selection if the benefit to others, b, multiplied by relatedness, r, exceeds the cost. Find out about application deadlines, resources, and the class of 2027 profile. Learn how to derive and use hamilton's equations of motion, which. Hamilton Requirements.
From www.dk.com
10 Things You Might Not Know About Alexander Hamilton DK US Hamilton Requirements Hamilton college is a selective liberal arts college with an overall acceptance rate of 18% and an early decision rate of 46%. Hamilton’s rule asserts that a trait is favored by natural selection if the benefit to others, b, multiplied by relatedness, r, exceeds the cost. Learn how to derive and use hamilton's equations of motion, which describe the state. Hamilton Requirements.
From www.numerade.com
SOLVED Concepts Suppose that Liz inherits 2,000 from her grandmother Hamilton Requirements Find out about application deadlines, resources, and the class of 2027 profile. Hamilton college is a selective liberal arts college with an overall acceptance rate of 18% and an early decision rate of 46%. Hamilton's rule (also known as hamilton's principle) states that organisms evolve to support genetic success more than individual. Learn how to apply to hamilton college, a. Hamilton Requirements.
From scghed.com
Updated Suggested Initial Ventilator Settings (11/2015) Charlie's ED Hamilton Requirements Hamilton college is a selective liberal arts college with an overall acceptance rate of 18% and an early decision rate of 46%. Learn how to derive and use hamilton's equations of motion, which describe the state of a system in terms of generalized coordinates and momenta. Learn how to apply to hamilton college, a distinctive liberal arts institution with generous. Hamilton Requirements.
From www.ourkids.net
Hamilton Montessori School Admissions Acceptance Rates and Hamilton Requirements Hamilton's rule (also known as hamilton's principle) states that organisms evolve to support genetic success more than individual. Find out about application deadlines, resources, and the class of 2027 profile. Learn how to apply to hamilton college, a distinctive liberal arts institution with generous financial aid. Hamilton’s rule asserts that a trait is favored by natural selection if the benefit. Hamilton Requirements.
From www.rahb.ca
RAHB Board of Directors Requirements REALTORS® Association of Hamilton Requirements Learn how to apply to hamilton college, a distinctive liberal arts institution with generous financial aid. Hamilton's rule (also known as hamilton's principle) states that organisms evolve to support genetic success more than individual. Hamilton college is a selective liberal arts college with an overall acceptance rate of 18% and an early decision rate of 46%. Hamilton characters breakdowns including. Hamilton Requirements.
From www.modusaustralia.com.au
Hamilton Camping Facility Modus Australia Restrooms Hamilton Requirements Hamilton's rule (also known as hamilton's principle) states that organisms evolve to support genetic success more than individual. Learn how to derive and use hamilton's equations of motion, which describe the state of a system in terms of generalized coordinates and momenta. Find out about application deadlines, resources, and the class of 2027 profile. Learn how to apply to hamilton. Hamilton Requirements.
From www.thepublicrecord.ca
Hamilton Ending Requirement for COVID Precautions in High Rise Hamilton Requirements Learn how to derive and use hamilton's equations of motion, which describe the state of a system in terms of generalized coordinates and momenta. Hamilton characters breakdowns including full descriptions with standard casting requirements and expert analysis. Hamilton's rule (also known as hamilton's principle) states that organisms evolve to support genetic success more than individual. Hamilton college is a selective. Hamilton Requirements.