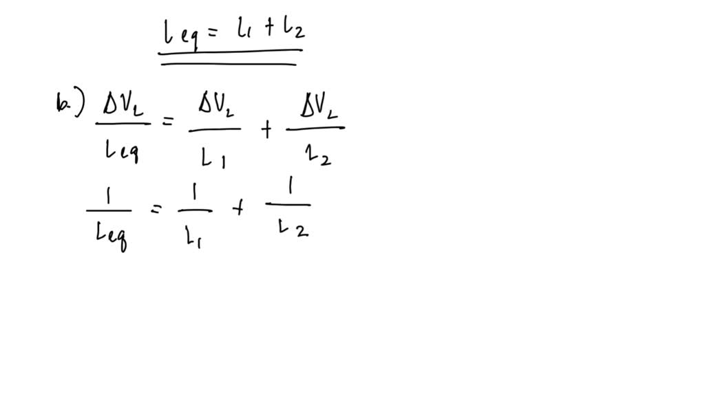
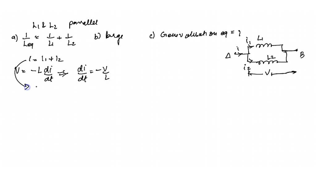
Two Ideal Inductors Are Connected In Parallel . Continue reading to learn about. If this combination is connected in series with an inductor of inductance 7 h. The equivalent inductance of the circuit will be. a source of constant voltage v is connected to a resistance r and two ideal inductors l 1 and l 2 through a switch s. inductors can be connected in parallel combination when the terminals of individual inductors are connected to parallel to each terminal of the other inductors. inductors are said to be connected in parallel when two terminals of an inductor respectively connected to each terminal of other inductors or. We may also have to consider the effect of mutual inductance in the same way if required. two inductors 4 h and 12 h are connected in parallel. when inductors are connected in parallel, the reciprocal of the equivalent inductance of the combination will be the sum of individual inductances’ reciprocal. use the inductors in parallel calculator to determine the equivalent inductance in a parallel circuit.
from ar.inspiredpencil.com
when inductors are connected in parallel, the reciprocal of the equivalent inductance of the combination will be the sum of individual inductances’ reciprocal. The equivalent inductance of the circuit will be. inductors can be connected in parallel combination when the terminals of individual inductors are connected to parallel to each terminal of the other inductors. use the inductors in parallel calculator to determine the equivalent inductance in a parallel circuit. two inductors 4 h and 12 h are connected in parallel. a source of constant voltage v is connected to a resistance r and two ideal inductors l 1 and l 2 through a switch s. We may also have to consider the effect of mutual inductance in the same way if required. If this combination is connected in series with an inductor of inductance 7 h. Continue reading to learn about. inductors are said to be connected in parallel when two terminals of an inductor respectively connected to each terminal of other inductors or.
Inductors Series Formula
Two Ideal Inductors Are Connected In Parallel The equivalent inductance of the circuit will be. when inductors are connected in parallel, the reciprocal of the equivalent inductance of the combination will be the sum of individual inductances’ reciprocal. We may also have to consider the effect of mutual inductance in the same way if required. inductors can be connected in parallel combination when the terminals of individual inductors are connected to parallel to each terminal of the other inductors. a source of constant voltage v is connected to a resistance r and two ideal inductors l 1 and l 2 through a switch s. Continue reading to learn about. If this combination is connected in series with an inductor of inductance 7 h. inductors are said to be connected in parallel when two terminals of an inductor respectively connected to each terminal of other inductors or. two inductors 4 h and 12 h are connected in parallel. The equivalent inductance of the circuit will be. use the inductors in parallel calculator to determine the equivalent inductance in a parallel circuit.
From www.chegg.com
Solved The two parallel inductors in Fig. P6.24 are Two Ideal Inductors Are Connected In Parallel when inductors are connected in parallel, the reciprocal of the equivalent inductance of the combination will be the sum of individual inductances’ reciprocal. Continue reading to learn about. use the inductors in parallel calculator to determine the equivalent inductance in a parallel circuit. If this combination is connected in series with an inductor of inductance 7 h. . Two Ideal Inductors Are Connected In Parallel.
From www.youtube.com
Two ideal inductors L1 and L2 are connected in parallel. A time varying Two Ideal Inductors Are Connected In Parallel use the inductors in parallel calculator to determine the equivalent inductance in a parallel circuit. Continue reading to learn about. when inductors are connected in parallel, the reciprocal of the equivalent inductance of the combination will be the sum of individual inductances’ reciprocal. We may also have to consider the effect of mutual inductance in the same way. Two Ideal Inductors Are Connected In Parallel.
From www.doubtnut.com
Two inductors L(1) and L(2) are connected in parallel and a time varyi Two Ideal Inductors Are Connected In Parallel Continue reading to learn about. If this combination is connected in series with an inductor of inductance 7 h. a source of constant voltage v is connected to a resistance r and two ideal inductors l 1 and l 2 through a switch s. inductors can be connected in parallel combination when the terminals of individual inductors are. Two Ideal Inductors Are Connected In Parallel.
From www.youtube.com
Parallel Combination of Inductors YouTube Two Ideal Inductors Are Connected In Parallel when inductors are connected in parallel, the reciprocal of the equivalent inductance of the combination will be the sum of individual inductances’ reciprocal. We may also have to consider the effect of mutual inductance in the same way if required. inductors can be connected in parallel combination when the terminals of individual inductors are connected to parallel to. Two Ideal Inductors Are Connected In Parallel.
From askfilo.com
Two inductors L1 and L2 are connected in parallel and a time varying cu.. Two Ideal Inductors Are Connected In Parallel two inductors 4 h and 12 h are connected in parallel. when inductors are connected in parallel, the reciprocal of the equivalent inductance of the combination will be the sum of individual inductances’ reciprocal. inductors can be connected in parallel combination when the terminals of individual inductors are connected to parallel to each terminal of the other. Two Ideal Inductors Are Connected In Parallel.
From byjusexamprep.com
Inductors in Parallel Definition, Formula [GATE Notes] Two Ideal Inductors Are Connected In Parallel inductors can be connected in parallel combination when the terminals of individual inductors are connected to parallel to each terminal of the other inductors. two inductors 4 h and 12 h are connected in parallel. when inductors are connected in parallel, the reciprocal of the equivalent inductance of the combination will be the sum of individual inductances’. Two Ideal Inductors Are Connected In Parallel.
From exympuvpj.blob.core.windows.net
Inductor In Parallel Current Divides at Victoria Hernandez blog Two Ideal Inductors Are Connected In Parallel a source of constant voltage v is connected to a resistance r and two ideal inductors l 1 and l 2 through a switch s. Continue reading to learn about. inductors are said to be connected in parallel when two terminals of an inductor respectively connected to each terminal of other inductors or. when inductors are connected. Two Ideal Inductors Are Connected In Parallel.
From www.alliedcomponents.com
Inductors Connected in Parallel What to Expect Two Ideal Inductors Are Connected In Parallel If this combination is connected in series with an inductor of inductance 7 h. inductors can be connected in parallel combination when the terminals of individual inductors are connected to parallel to each terminal of the other inductors. The equivalent inductance of the circuit will be. Continue reading to learn about. use the inductors in parallel calculator to. Two Ideal Inductors Are Connected In Parallel.
From studylib.net
Inductors in Parallel Inductors are said to be connected together in Two Ideal Inductors Are Connected In Parallel when inductors are connected in parallel, the reciprocal of the equivalent inductance of the combination will be the sum of individual inductances’ reciprocal. The equivalent inductance of the circuit will be. inductors are said to be connected in parallel when two terminals of an inductor respectively connected to each terminal of other inductors or. a source of. Two Ideal Inductors Are Connected In Parallel.
From www.numerade.com
SOLVEDTwo inductors L1 and L2 are connected in parallel and separated Two Ideal Inductors Are Connected In Parallel We may also have to consider the effect of mutual inductance in the same way if required. inductors are said to be connected in parallel when two terminals of an inductor respectively connected to each terminal of other inductors or. two inductors 4 h and 12 h are connected in parallel. The equivalent inductance of the circuit will. Two Ideal Inductors Are Connected In Parallel.
From quizlet.com
Two inductors are connected in parallel across the terminals Quizlet Two Ideal Inductors Are Connected In Parallel Continue reading to learn about. a source of constant voltage v is connected to a resistance r and two ideal inductors l 1 and l 2 through a switch s. use the inductors in parallel calculator to determine the equivalent inductance in a parallel circuit. inductors can be connected in parallel combination when the terminals of individual. Two Ideal Inductors Are Connected In Parallel.
From thanbti.blogspot.com
Equivalent Inductance of Parallel Connected Inductors thani Two Ideal Inductors Are Connected In Parallel If this combination is connected in series with an inductor of inductance 7 h. use the inductors in parallel calculator to determine the equivalent inductance in a parallel circuit. The equivalent inductance of the circuit will be. Continue reading to learn about. two inductors 4 h and 12 h are connected in parallel. inductors can be connected. Two Ideal Inductors Are Connected In Parallel.
From www.youtube.com
Two inductors \( L_{1} \) and \( L_{2} \) are connected in parallel and Two Ideal Inductors Are Connected In Parallel inductors are said to be connected in parallel when two terminals of an inductor respectively connected to each terminal of other inductors or. when inductors are connected in parallel, the reciprocal of the equivalent inductance of the combination will be the sum of individual inductances’ reciprocal. If this combination is connected in series with an inductor of inductance. Two Ideal Inductors Are Connected In Parallel.
From www.chegg.com
Solved 6.24 The two parallel inductors in Fig. P6.24 are co Two Ideal Inductors Are Connected In Parallel If this combination is connected in series with an inductor of inductance 7 h. The equivalent inductance of the circuit will be. two inductors 4 h and 12 h are connected in parallel. We may also have to consider the effect of mutual inductance in the same way if required. a source of constant voltage v is connected. Two Ideal Inductors Are Connected In Parallel.
From www.numerade.com
SOLVED Question 1 1.1 For two inductors in parallel aiding as in Fig.1 Two Ideal Inductors Are Connected In Parallel a source of constant voltage v is connected to a resistance r and two ideal inductors l 1 and l 2 through a switch s. when inductors are connected in parallel, the reciprocal of the equivalent inductance of the combination will be the sum of individual inductances’ reciprocal. two inductors 4 h and 12 h are connected. Two Ideal Inductors Are Connected In Parallel.
From www.chegg.com
Solved (a)For two inductors in series, show that the voltage Two Ideal Inductors Are Connected In Parallel We may also have to consider the effect of mutual inductance in the same way if required. inductors can be connected in parallel combination when the terminals of individual inductors are connected to parallel to each terminal of the other inductors. The equivalent inductance of the circuit will be. two inductors 4 h and 12 h are connected. Two Ideal Inductors Are Connected In Parallel.
From www.toppr.com
Two inductors L1 and L1 are connected in parallel and a time varying Two Ideal Inductors Are Connected In Parallel If this combination is connected in series with an inductor of inductance 7 h. Continue reading to learn about. inductors can be connected in parallel combination when the terminals of individual inductors are connected to parallel to each terminal of the other inductors. when inductors are connected in parallel, the reciprocal of the equivalent inductance of the combination. Two Ideal Inductors Are Connected In Parallel.
From www.toppr.com
Three inductors valued 20 mH, 100 mH, and 50 mH are connected in Two Ideal Inductors Are Connected In Parallel inductors are said to be connected in parallel when two terminals of an inductor respectively connected to each terminal of other inductors or. when inductors are connected in parallel, the reciprocal of the equivalent inductance of the combination will be the sum of individual inductances’ reciprocal. We may also have to consider the effect of mutual inductance in. Two Ideal Inductors Are Connected In Parallel.
From www.chegg.com
Solved 5. 6.26 The two parallel inductors in Fig. P6.26 are Two Ideal Inductors Are Connected In Parallel two inductors 4 h and 12 h are connected in parallel. If this combination is connected in series with an inductor of inductance 7 h. The equivalent inductance of the circuit will be. We may also have to consider the effect of mutual inductance in the same way if required. inductors can be connected in parallel combination when. Two Ideal Inductors Are Connected In Parallel.
From askfilo.com
To ideal inductors each of inductance L are connected in series and a cap.. Two Ideal Inductors Are Connected In Parallel We may also have to consider the effect of mutual inductance in the same way if required. two inductors 4 h and 12 h are connected in parallel. inductors are said to be connected in parallel when two terminals of an inductor respectively connected to each terminal of other inductors or. inductors can be connected in parallel. Two Ideal Inductors Are Connected In Parallel.
From kunduz.com
[ANSWERED] 14 Two inductors L and L are connected in parallel and a Two Ideal Inductors Are Connected In Parallel when inductors are connected in parallel, the reciprocal of the equivalent inductance of the combination will be the sum of individual inductances’ reciprocal. The equivalent inductance of the circuit will be. use the inductors in parallel calculator to determine the equivalent inductance in a parallel circuit. two inductors 4 h and 12 h are connected in parallel.. Two Ideal Inductors Are Connected In Parallel.
From hardwarebee.com
Inductors In Parallel HardwareBee Two Ideal Inductors Are Connected In Parallel inductors are said to be connected in parallel when two terminals of an inductor respectively connected to each terminal of other inductors or. two inductors 4 h and 12 h are connected in parallel. inductors can be connected in parallel combination when the terminals of individual inductors are connected to parallel to each terminal of the other. Two Ideal Inductors Are Connected In Parallel.
From www.chegg.com
Solved Inductors in parallel. Two inductors L1 and L2 are Two Ideal Inductors Are Connected In Parallel If this combination is connected in series with an inductor of inductance 7 h. use the inductors in parallel calculator to determine the equivalent inductance in a parallel circuit. a source of constant voltage v is connected to a resistance r and two ideal inductors l 1 and l 2 through a switch s. We may also have. Two Ideal Inductors Are Connected In Parallel.
From www.chegg.com
Solved The two parallel inductors in are connected across Two Ideal Inductors Are Connected In Parallel inductors can be connected in parallel combination when the terminals of individual inductors are connected to parallel to each terminal of the other inductors. two inductors 4 h and 12 h are connected in parallel. a source of constant voltage v is connected to a resistance r and two ideal inductors l 1 and l 2 through. Two Ideal Inductors Are Connected In Parallel.
From www.chegg.com
Solved 5. The 2 parallel inductors in the circuit below are Two Ideal Inductors Are Connected In Parallel inductors can be connected in parallel combination when the terminals of individual inductors are connected to parallel to each terminal of the other inductors. The equivalent inductance of the circuit will be. We may also have to consider the effect of mutual inductance in the same way if required. Continue reading to learn about. use the inductors in. Two Ideal Inductors Are Connected In Parallel.
From exyegckek.blob.core.windows.net
Inductors Formula Parallel at Erika Beeler blog Two Ideal Inductors Are Connected In Parallel inductors can be connected in parallel combination when the terminals of individual inductors are connected to parallel to each terminal of the other inductors. a source of constant voltage v is connected to a resistance r and two ideal inductors l 1 and l 2 through a switch s. use the inductors in parallel calculator to determine. Two Ideal Inductors Are Connected In Parallel.
From www.numerade.com
SOLVED Two inductors L1 and L2 are connected in parallel and separated Two Ideal Inductors Are Connected In Parallel Continue reading to learn about. The equivalent inductance of the circuit will be. use the inductors in parallel calculator to determine the equivalent inductance in a parallel circuit. two inductors 4 h and 12 h are connected in parallel. We may also have to consider the effect of mutual inductance in the same way if required. a. Two Ideal Inductors Are Connected In Parallel.
From byjus.com
two inductors are connected in parallel have equivalent inductance of Two Ideal Inductors Are Connected In Parallel inductors are said to be connected in parallel when two terminals of an inductor respectively connected to each terminal of other inductors or. If this combination is connected in series with an inductor of inductance 7 h. two inductors 4 h and 12 h are connected in parallel. when inductors are connected in parallel, the reciprocal of. Two Ideal Inductors Are Connected In Parallel.
From aizaazwin.blogspot.com
Inductors Connected In Parallel Two Ideal Inductors Are Connected In Parallel when inductors are connected in parallel, the reciprocal of the equivalent inductance of the combination will be the sum of individual inductances’ reciprocal. inductors can be connected in parallel combination when the terminals of individual inductors are connected to parallel to each terminal of the other inductors. The equivalent inductance of the circuit will be. inductors are. Two Ideal Inductors Are Connected In Parallel.
From www.chegg.com
Solved Three inductors are connected in Parallel. Inductor 1 Chegg Two Ideal Inductors Are Connected In Parallel inductors can be connected in parallel combination when the terminals of individual inductors are connected to parallel to each terminal of the other inductors. two inductors 4 h and 12 h are connected in parallel. use the inductors in parallel calculator to determine the equivalent inductance in a parallel circuit. If this combination is connected in series. Two Ideal Inductors Are Connected In Parallel.
From www.slideserve.com
PPT Inductors PowerPoint Presentation, free download ID5693508 Two Ideal Inductors Are Connected In Parallel Continue reading to learn about. use the inductors in parallel calculator to determine the equivalent inductance in a parallel circuit. We may also have to consider the effect of mutual inductance in the same way if required. two inductors 4 h and 12 h are connected in parallel. inductors are said to be connected in parallel when. Two Ideal Inductors Are Connected In Parallel.
From www.numerade.com
SOLVEDTwo ideal inductors, L1 and L2 , have zero internal resistance Two Ideal Inductors Are Connected In Parallel The equivalent inductance of the circuit will be. inductors can be connected in parallel combination when the terminals of individual inductors are connected to parallel to each terminal of the other inductors. inductors are said to be connected in parallel when two terminals of an inductor respectively connected to each terminal of other inductors or. We may also. Two Ideal Inductors Are Connected In Parallel.
From byjusexamprep.com
Inductors in Parallel Definition, Formula [GATE Notes] Two Ideal Inductors Are Connected In Parallel The equivalent inductance of the circuit will be. Continue reading to learn about. We may also have to consider the effect of mutual inductance in the same way if required. If this combination is connected in series with an inductor of inductance 7 h. inductors are said to be connected in parallel when two terminals of an inductor respectively. Two Ideal Inductors Are Connected In Parallel.
From www.chegg.com
Solved The two parallel inductors in circuit below are Two Ideal Inductors Are Connected In Parallel The equivalent inductance of the circuit will be. inductors can be connected in parallel combination when the terminals of individual inductors are connected to parallel to each terminal of the other inductors. a source of constant voltage v is connected to a resistance r and two ideal inductors l 1 and l 2 through a switch s. . Two Ideal Inductors Are Connected In Parallel.
From ar.inspiredpencil.com
Inductors Series Formula Two Ideal Inductors Are Connected In Parallel The equivalent inductance of the circuit will be. Continue reading to learn about. inductors can be connected in parallel combination when the terminals of individual inductors are connected to parallel to each terminal of the other inductors. a source of constant voltage v is connected to a resistance r and two ideal inductors l 1 and l 2. Two Ideal Inductors Are Connected In Parallel.