Standard Deviation Calculator Large Sample . Instantly calculate standard deviation, variance, mean, and sum of squares. When you have the standard deviations of different samples, you can compare their distributions using statistical tests to make inferences about the larger populations they came from. This standard deviation calculator uses your data set and shows the work required for the calculations. Online calculator to compute standard deviation from a set of observations from a population or a sample. Calculates the sample standard deviation or the population standard deviation based on a sample. Given a discrete data set, the calculator calculates the mean, variance, and standard deviation of a sample or a population and shows all the. Standard deviation for binomial data (proportion) based. Enter a data set, separated by spaces, commas or line breaks. Free standard deviation calculator online: Standard deviation calculator for both sample and population data. Enter comma , space or enter after each data value.
from www.pmcalculators.com
Enter comma , space or enter after each data value. Enter a data set, separated by spaces, commas or line breaks. Standard deviation for binomial data (proportion) based. Online calculator to compute standard deviation from a set of observations from a population or a sample. This standard deviation calculator uses your data set and shows the work required for the calculations. Instantly calculate standard deviation, variance, mean, and sum of squares. Free standard deviation calculator online: Given a discrete data set, the calculator calculates the mean, variance, and standard deviation of a sample or a population and shows all the. When you have the standard deviations of different samples, you can compare their distributions using statistical tests to make inferences about the larger populations they came from. Standard deviation calculator for both sample and population data.
Standard Deviation Calculator Online (Step by step) π₯
Standard Deviation Calculator Large Sample When you have the standard deviations of different samples, you can compare their distributions using statistical tests to make inferences about the larger populations they came from. Free standard deviation calculator online: Online calculator to compute standard deviation from a set of observations from a population or a sample. When you have the standard deviations of different samples, you can compare their distributions using statistical tests to make inferences about the larger populations they came from. Enter comma , space or enter after each data value. Calculates the sample standard deviation or the population standard deviation based on a sample. Standard deviation calculator for both sample and population data. This standard deviation calculator uses your data set and shows the work required for the calculations. Given a discrete data set, the calculator calculates the mean, variance, and standard deviation of a sample or a population and shows all the. Standard deviation for binomial data (proportion) based. Enter a data set, separated by spaces, commas or line breaks. Instantly calculate standard deviation, variance, mean, and sum of squares.
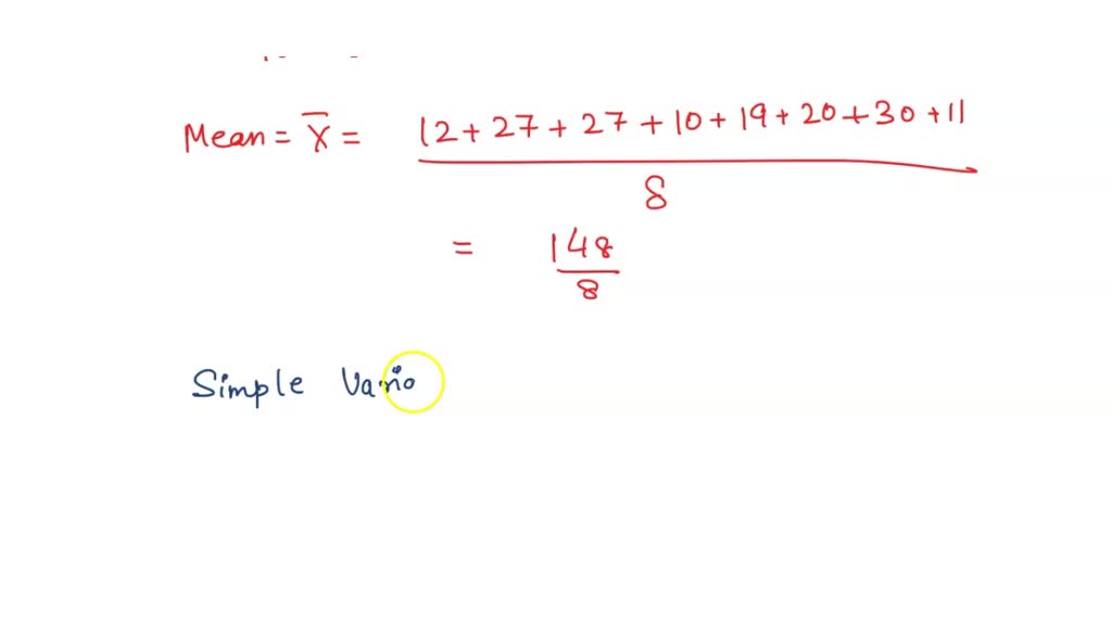
From articles.outlier.org
Sample Standard Deviation What is It & How to Calculate It Outlier Standard Deviation Calculator Large Sample This standard deviation calculator uses your data set and shows the work required for the calculations. Standard deviation calculator for both sample and population data. Given a discrete data set, the calculator calculates the mean, variance, and standard deviation of a sample or a population and shows all the. Free standard deviation calculator online: Standard deviation for binomial data (proportion). Standard Deviation Calculator Large Sample.
From www.cuemath.com
What Is Sample Standard Deviation Formula? Examples Standard Deviation Calculator Large Sample Calculates the sample standard deviation or the population standard deviation based on a sample. Instantly calculate standard deviation, variance, mean, and sum of squares. Free standard deviation calculator online: Given a discrete data set, the calculator calculates the mean, variance, and standard deviation of a sample or a population and shows all the. Standard deviation calculator for both sample and. Standard Deviation Calculator Large Sample.
From exyrzfyua.blob.core.windows.net
Probability Calculator Using Standard Deviation And Mean at Breanna Standard Deviation Calculator Large Sample Free standard deviation calculator online: Enter a data set, separated by spaces, commas or line breaks. Standard deviation calculator for both sample and population data. When you have the standard deviations of different samples, you can compare their distributions using statistical tests to make inferences about the larger populations they came from. Enter comma , space or enter after each. Standard Deviation Calculator Large Sample.
From www.oercommons.org
Calculating sample standard deviation OER Commons Standard Deviation Calculator Large Sample This standard deviation calculator uses your data set and shows the work required for the calculations. Enter comma , space or enter after each data value. Standard deviation for binomial data (proportion) based. Online calculator to compute standard deviation from a set of observations from a population or a sample. Calculates the sample standard deviation or the population standard deviation. Standard Deviation Calculator Large Sample.
From ncalculators.com
Standard Deviation Calculator (Simple Method) Standard Deviation Calculator Large Sample Free standard deviation calculator online: When you have the standard deviations of different samples, you can compare their distributions using statistical tests to make inferences about the larger populations they came from. Calculates the sample standard deviation or the population standard deviation based on a sample. Enter a data set, separated by spaces, commas or line breaks. Instantly calculate standard. Standard Deviation Calculator Large Sample.
From www.youtube.com
Calculator Steps to find The Standard Deviation (TI83 or TI84) YouTube Standard Deviation Calculator Large Sample Online calculator to compute standard deviation from a set of observations from a population or a sample. When you have the standard deviations of different samples, you can compare their distributions using statistical tests to make inferences about the larger populations they came from. Standard deviation for binomial data (proportion) based. Calculates the sample standard deviation or the population standard. Standard Deviation Calculator Large Sample.
From www.scribbr.co.uk
How to Calculate Standard Deviation (Guide) Calculator & Examples Standard Deviation Calculator Large Sample This standard deviation calculator uses your data set and shows the work required for the calculations. Enter comma , space or enter after each data value. Standard deviation for binomial data (proportion) based. Instantly calculate standard deviation, variance, mean, and sum of squares. Enter a data set, separated by spaces, commas or line breaks. When you have the standard deviations. Standard Deviation Calculator Large Sample.
From www.scribbr.com
The Standard Normal Distribution Examples, Explanations, Uses Standard Deviation Calculator Large Sample This standard deviation calculator uses your data set and shows the work required for the calculations. Standard deviation calculator for both sample and population data. Instantly calculate standard deviation, variance, mean, and sum of squares. Given a discrete data set, the calculator calculates the mean, variance, and standard deviation of a sample or a population and shows all the. When. Standard Deviation Calculator Large Sample.
From www.wikihow.com
How to Calculate Standard Deviation 12 Steps (with Pictures) Standard Deviation Calculator Large Sample This standard deviation calculator uses your data set and shows the work required for the calculations. Given a discrete data set, the calculator calculates the mean, variance, and standard deviation of a sample or a population and shows all the. Calculates the sample standard deviation or the population standard deviation based on a sample. Online calculator to compute standard deviation. Standard Deviation Calculator Large Sample.
From www.youtube.com
Standard Deviation With Examples Using Scientific Calculator Stdev Standard Deviation Calculator Large Sample Free standard deviation calculator online: Standard deviation for binomial data (proportion) based. Calculates the sample standard deviation or the population standard deviation based on a sample. Enter comma , space or enter after each data value. Enter a data set, separated by spaces, commas or line breaks. Online calculator to compute standard deviation from a set of observations from a. Standard Deviation Calculator Large Sample.
From www.youtube.com
Sample Sizes with Population Standard Deviation YouTube Standard Deviation Calculator Large Sample Calculates the sample standard deviation or the population standard deviation based on a sample. When you have the standard deviations of different samples, you can compare their distributions using statistical tests to make inferences about the larger populations they came from. Free standard deviation calculator online: This standard deviation calculator uses your data set and shows the work required for. Standard Deviation Calculator Large Sample.
From in.pinterest.com
How to calculate Standard Deviation in Excel Standard deviation Standard Deviation Calculator Large Sample Standard deviation for binomial data (proportion) based. Free standard deviation calculator online: Enter comma , space or enter after each data value. Standard deviation calculator for both sample and population data. Online calculator to compute standard deviation from a set of observations from a population or a sample. Enter a data set, separated by spaces, commas or line breaks. Calculates. Standard Deviation Calculator Large Sample.
From www.pmcalculators.com
Standard Deviation Calculator Online (Step by step) π₯ Standard Deviation Calculator Large Sample Calculates the sample standard deviation or the population standard deviation based on a sample. Given a discrete data set, the calculator calculates the mean, variance, and standard deviation of a sample or a population and shows all the. Standard deviation calculator for both sample and population data. This standard deviation calculator uses your data set and shows the work required. Standard Deviation Calculator Large Sample.
From www.youtube.com
How To Calculate The Standard Deviation YouTube Standard Deviation Calculator Large Sample Online calculator to compute standard deviation from a set of observations from a population or a sample. Given a discrete data set, the calculator calculates the mean, variance, and standard deviation of a sample or a population and shows all the. Standard deviation calculator for both sample and population data. Instantly calculate standard deviation, variance, mean, and sum of squares.. Standard Deviation Calculator Large Sample.
From www.wikihow.com
How to Calculate Sample Size 14 Steps (with Pictures) wikiHow Standard Deviation Calculator Large Sample When you have the standard deviations of different samples, you can compare their distributions using statistical tests to make inferences about the larger populations they came from. Enter comma , space or enter after each data value. Standard deviation for binomial data (proportion) based. This standard deviation calculator uses your data set and shows the work required for the calculations.. Standard Deviation Calculator Large Sample.
From www.youtube.com
Standard deviation using a CASIO scientific calculator Grade 12 Standard Deviation Calculator Large Sample When you have the standard deviations of different samples, you can compare their distributions using statistical tests to make inferences about the larger populations they came from. Instantly calculate standard deviation, variance, mean, and sum of squares. Free standard deviation calculator online: Standard deviation calculator for both sample and population data. Enter a data set, separated by spaces, commas or. Standard Deviation Calculator Large Sample.
From www.surveyking.com
Standard Deviation Calculator Statistical Resources Standard Deviation Calculator Large Sample Instantly calculate standard deviation, variance, mean, and sum of squares. Standard deviation for binomial data (proportion) based. This standard deviation calculator uses your data set and shows the work required for the calculations. Calculates the sample standard deviation or the population standard deviation based on a sample. Free standard deviation calculator online: Standard deviation calculator for both sample and population. Standard Deviation Calculator Large Sample.
From kierandixon.com
How To Calculate Standard Deviation In Google Sheets Kieran Dixon Standard Deviation Calculator Large Sample Free standard deviation calculator online: Instantly calculate standard deviation, variance, mean, and sum of squares. This standard deviation calculator uses your data set and shows the work required for the calculations. Enter comma , space or enter after each data value. Given a discrete data set, the calculator calculates the mean, variance, and standard deviation of a sample or a. Standard Deviation Calculator Large Sample.
From www.youtube.com
How To Calculate The Standard Deviation Clearly Explained! YouTube Standard Deviation Calculator Large Sample Standard deviation calculator for both sample and population data. Online calculator to compute standard deviation from a set of observations from a population or a sample. Instantly calculate standard deviation, variance, mean, and sum of squares. Enter comma , space or enter after each data value. Free standard deviation calculator online: Enter a data set, separated by spaces, commas or. Standard Deviation Calculator Large Sample.
From www.slideserve.com
PPT Descriptive Statistics PowerPoint Presentation, free download Standard Deviation Calculator Large Sample Enter a data set, separated by spaces, commas or line breaks. Online calculator to compute standard deviation from a set of observations from a population or a sample. This standard deviation calculator uses your data set and shows the work required for the calculations. Instantly calculate standard deviation, variance, mean, and sum of squares. When you have the standard deviations. Standard Deviation Calculator Large Sample.
From curvebreakerstestprep.com
Standard Deviation Variation from the Mean Curvebreakers Standard Deviation Calculator Large Sample Enter comma , space or enter after each data value. Online calculator to compute standard deviation from a set of observations from a population or a sample. This standard deviation calculator uses your data set and shows the work required for the calculations. Given a discrete data set, the calculator calculates the mean, variance, and standard deviation of a sample. Standard Deviation Calculator Large Sample.
From www.youtube.com
Sample Standard Deviation Example YouTube Standard Deviation Calculator Large Sample Enter a data set, separated by spaces, commas or line breaks. Online calculator to compute standard deviation from a set of observations from a population or a sample. Calculates the sample standard deviation or the population standard deviation based on a sample. Standard deviation calculator for both sample and population data. Free standard deviation calculator online: When you have the. Standard Deviation Calculator Large Sample.
From astartutorial.org
How To Calculate Sample Standard Deviation On Ti 84 Astar Tutorial Standard Deviation Calculator Large Sample This standard deviation calculator uses your data set and shows the work required for the calculations. Enter comma , space or enter after each data value. Standard deviation calculator for both sample and population data. When you have the standard deviations of different samples, you can compare their distributions using statistical tests to make inferences about the larger populations they. Standard Deviation Calculator Large Sample.
From www.thoughtco.com
How to Calculate a Sample Standard Deviation Standard Deviation Calculator Large Sample This standard deviation calculator uses your data set and shows the work required for the calculations. Given a discrete data set, the calculator calculates the mean, variance, and standard deviation of a sample or a population and shows all the. Instantly calculate standard deviation, variance, mean, and sum of squares. Enter comma , space or enter after each data value.. Standard Deviation Calculator Large Sample.
From www.kristakingmath.com
How to find Mean, variance, and standard deviation β Krista King Math Standard Deviation Calculator Large Sample Given a discrete data set, the calculator calculates the mean, variance, and standard deviation of a sample or a population and shows all the. When you have the standard deviations of different samples, you can compare their distributions using statistical tests to make inferences about the larger populations they came from. Standard deviation calculator for both sample and population data.. Standard Deviation Calculator Large Sample.
From www.youtube.com
How To Calculate Sample Standard Deviation (Step By Step) YouTube Standard Deviation Calculator Large Sample This standard deviation calculator uses your data set and shows the work required for the calculations. When you have the standard deviations of different samples, you can compare their distributions using statistical tests to make inferences about the larger populations they came from. Calculates the sample standard deviation or the population standard deviation based on a sample. Given a discrete. Standard Deviation Calculator Large Sample.
From www.youtube.com
How to Calculate Standard Deviation by Hand YouTube Standard Deviation Calculator Large Sample Online calculator to compute standard deviation from a set of observations from a population or a sample. Enter a data set, separated by spaces, commas or line breaks. Standard deviation for binomial data (proportion) based. Instantly calculate standard deviation, variance, mean, and sum of squares. When you have the standard deviations of different samples, you can compare their distributions using. Standard Deviation Calculator Large Sample.
From hubpages.com
How to Use Standard Deviation Formula For Equations (Statistics Help Standard Deviation Calculator Large Sample Standard deviation for binomial data (proportion) based. Standard deviation calculator for both sample and population data. Enter a data set, separated by spaces, commas or line breaks. Calculates the sample standard deviation or the population standard deviation based on a sample. Instantly calculate standard deviation, variance, mean, and sum of squares. When you have the standard deviations of different samples,. Standard Deviation Calculator Large Sample.
From www.numerade.com
SOLVED Calculate the sample standard deviation of the data shown Standard Deviation Calculator Large Sample Online calculator to compute standard deviation from a set of observations from a population or a sample. Enter a data set, separated by spaces, commas or line breaks. Given a discrete data set, the calculator calculates the mean, variance, and standard deviation of a sample or a population and shows all the. When you have the standard deviations of different. Standard Deviation Calculator Large Sample.
From elchoroukhost.net
Standard Deviation Table Example Elcho Table Standard Deviation Calculator Large Sample When you have the standard deviations of different samples, you can compare their distributions using statistical tests to make inferences about the larger populations they came from. Online calculator to compute standard deviation from a set of observations from a population or a sample. Standard deviation calculator for both sample and population data. Given a discrete data set, the calculator. Standard Deviation Calculator Large Sample.
From www.youtube.com
Standard deviation calculator.avi YouTube Standard Deviation Calculator Large Sample Enter a data set, separated by spaces, commas or line breaks. Standard deviation for binomial data (proportion) based. Given a discrete data set, the calculator calculates the mean, variance, and standard deviation of a sample or a population and shows all the. Enter comma , space or enter after each data value. Standard deviation calculator for both sample and population. Standard Deviation Calculator Large Sample.
From www.youtube.com
Finding Sample Size, Given Standard Deviation and Standard error of the Standard Deviation Calculator Large Sample Free standard deviation calculator online: Enter comma , space or enter after each data value. Enter a data set, separated by spaces, commas or line breaks. This standard deviation calculator uses your data set and shows the work required for the calculations. When you have the standard deviations of different samples, you can compare their distributions using statistical tests to. Standard Deviation Calculator Large Sample.
From dxotibwbh.blob.core.windows.net
Standard Deviation Sample Vs Population Calculator at Travis Parris blog Standard Deviation Calculator Large Sample Standard deviation for binomial data (proportion) based. Standard deviation calculator for both sample and population data. When you have the standard deviations of different samples, you can compare their distributions using statistical tests to make inferences about the larger populations they came from. Free standard deviation calculator online: Calculates the sample standard deviation or the population standard deviation based on. Standard Deviation Calculator Large Sample.
From www.itechguides.com
How to Calculate Standard Deviation in Excel Standard Deviation Calculator Large Sample Given a discrete data set, the calculator calculates the mean, variance, and standard deviation of a sample or a population and shows all the. Enter comma , space or enter after each data value. Standard deviation calculator for both sample and population data. Enter a data set, separated by spaces, commas or line breaks. Calculates the sample standard deviation or. Standard Deviation Calculator Large Sample.
From examples.yourdictionary.com
Examples of Standard Deviation and How Itβs Used Standard Deviation Calculator Large Sample When you have the standard deviations of different samples, you can compare their distributions using statistical tests to make inferences about the larger populations they came from. Online calculator to compute standard deviation from a set of observations from a population or a sample. Given a discrete data set, the calculator calculates the mean, variance, and standard deviation of a. Standard Deviation Calculator Large Sample.