Solenoids Are Wound Around . a long wire wound in the form of a helical coil is known as a solenoid. electromechanical solenoids consist of an electromagnetically inductive coil, wound around a movable steel or iron slug. a solenoid has 300 turns wound around a cylinder of diameter 1.20 cm and length 14.0 cm. When an electrical current signal. a solenoid has 300 turns wound around a cylinder of diameter 1.20 cm and length 14.0 cm. Solenoids are commonly used in experimental research. a solenoid is a long piece of wire that is wound in the shape of a helical coil. within the category of finite solenoids, there are those that are sparsely wound with a single pitch, those that are sparsely. a long wire wound in the form of a helical coil is known as a solenoid. If the current through the coils is. Solenoids are commonly used in.
from www.toppr.com
If the current through the coils is. a solenoid has 300 turns wound around a cylinder of diameter 1.20 cm and length 14.0 cm. a long wire wound in the form of a helical coil is known as a solenoid. a solenoid is a long piece of wire that is wound in the shape of a helical coil. Solenoids are commonly used in. Solenoids are commonly used in experimental research. a solenoid has 300 turns wound around a cylinder of diameter 1.20 cm and length 14.0 cm. within the category of finite solenoids, there are those that are sparsely wound with a single pitch, those that are sparsely. electromechanical solenoids consist of an electromagnetically inductive coil, wound around a movable steel or iron slug. a long wire wound in the form of a helical coil is known as a solenoid.
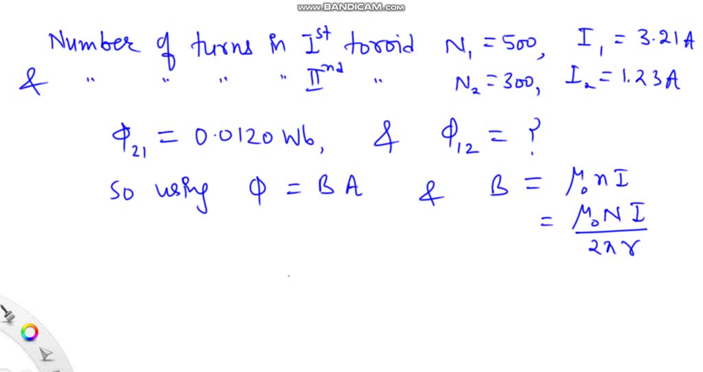
Two toroidal solenoids are wound around the same pipe so that the field of one passes
Solenoids Are Wound Around If the current through the coils is. electromechanical solenoids consist of an electromagnetically inductive coil, wound around a movable steel or iron slug. a solenoid has 300 turns wound around a cylinder of diameter 1.20 cm and length 14.0 cm. a solenoid has 300 turns wound around a cylinder of diameter 1.20 cm and length 14.0 cm. When an electrical current signal. a long wire wound in the form of a helical coil is known as a solenoid. Solenoids are commonly used in experimental research. If the current through the coils is. a long wire wound in the form of a helical coil is known as a solenoid. a solenoid is a long piece of wire that is wound in the shape of a helical coil. within the category of finite solenoids, there are those that are sparsely wound with a single pitch, those that are sparsely. Solenoids are commonly used in.
From www.toppr.com
Two solenoids are wound around the same pipe so that the field of one passes through Solenoids Are Wound Around a long wire wound in the form of a helical coil is known as a solenoid. If the current through the coils is. a solenoid has 300 turns wound around a cylinder of diameter 1.20 cm and length 14.0 cm. Solenoids are commonly used in experimental research. within the category of finite solenoids, there are those that. Solenoids Are Wound Around.
From www.doubtnut.com
Two toroidal solenoids are wound around the same pipe so that the magn Solenoids Are Wound Around a long wire wound in the form of a helical coil is known as a solenoid. When an electrical current signal. Solenoids are commonly used in. Solenoids are commonly used in experimental research. within the category of finite solenoids, there are those that are sparsely wound with a single pitch, those that are sparsely. a long wire. Solenoids Are Wound Around.
From www.numerade.com
SOLVED Two toroidal solenoids are wound around the same form so that the field of one Solenoids Are Wound Around a solenoid has 300 turns wound around a cylinder of diameter 1.20 cm and length 14.0 cm. Solenoids are commonly used in experimental research. a solenoid has 300 turns wound around a cylinder of diameter 1.20 cm and length 14.0 cm. If the current through the coils is. within the category of finite solenoids, there are those. Solenoids Are Wound Around.
From www.doubtnut.com
A plane of coil of 10 turns is tightly wound around a solenoid of diam Solenoids Are Wound Around a solenoid has 300 turns wound around a cylinder of diameter 1.20 cm and length 14.0 cm. electromechanical solenoids consist of an electromagnetically inductive coil, wound around a movable steel or iron slug. a long wire wound in the form of a helical coil is known as a solenoid. within the category of finite solenoids, there. Solenoids Are Wound Around.
From www.numerade.com
SOLVED A solenoid is formed by a wire wound around in manv coils. as shown in the figure below Solenoids Are Wound Around a long wire wound in the form of a helical coil is known as a solenoid. Solenoids are commonly used in experimental research. electromechanical solenoids consist of an electromagnetically inductive coil, wound around a movable steel or iron slug. a long wire wound in the form of a helical coil is known as a solenoid. a. Solenoids Are Wound Around.
From www.numerade.com
SOLVED Questtion 5 An ideal solenoid consists of 1000 turns of wire per metre wound around an Solenoids Are Wound Around a solenoid has 300 turns wound around a cylinder of diameter 1.20 cm and length 14.0 cm. Solenoids are commonly used in experimental research. Solenoids are commonly used in. a long wire wound in the form of a helical coil is known as a solenoid. a solenoid is a long piece of wire that is wound in. Solenoids Are Wound Around.
From www.toppr.com
Two solenoids are wound around the same pipe so that the field of one passes through Solenoids Are Wound Around a solenoid is a long piece of wire that is wound in the shape of a helical coil. If the current through the coils is. a long wire wound in the form of a helical coil is known as a solenoid. electromechanical solenoids consist of an electromagnetically inductive coil, wound around a movable steel or iron slug.. Solenoids Are Wound Around.
From www.toppr.com
Two solenoids are wound around the same pipe so that the field of one passes through Solenoids Are Wound Around within the category of finite solenoids, there are those that are sparsely wound with a single pitch, those that are sparsely. When an electrical current signal. a long wire wound in the form of a helical coil is known as a solenoid. Solenoids are commonly used in experimental research. electromechanical solenoids consist of an electromagnetically inductive coil,. Solenoids Are Wound Around.
From www.chegg.com
Solved Two toroidal solenoids are wound around the same form Solenoids Are Wound Around When an electrical current signal. a long wire wound in the form of a helical coil is known as a solenoid. within the category of finite solenoids, there are those that are sparsely wound with a single pitch, those that are sparsely. Solenoids are commonly used in experimental research. a solenoid is a long piece of wire. Solenoids Are Wound Around.
From www.numerade.com
SOLVEDTwo toroidal solenoids are wound around the same form so that the field of one Solenoids Are Wound Around electromechanical solenoids consist of an electromagnetically inductive coil, wound around a movable steel or iron slug. a long wire wound in the form of a helical coil is known as a solenoid. If the current through the coils is. a long wire wound in the form of a helical coil is known as a solenoid. a. Solenoids Are Wound Around.
From www.numerade.com
SOLVED Two toroidal solenoids are wound around the same form so that the field of one Solenoids Are Wound Around Solenoids are commonly used in experimental research. a solenoid has 300 turns wound around a cylinder of diameter 1.20 cm and length 14.0 cm. a long wire wound in the form of a helical coil is known as a solenoid. If the current through the coils is. a solenoid has 300 turns wound around a cylinder of. Solenoids Are Wound Around.
From www.numerade.com
SOLVED9V 200 A cylindrical solenoid 20 cm long with radius of mm has 425 tighllywound turns of Solenoids Are Wound Around a solenoid has 300 turns wound around a cylinder of diameter 1.20 cm and length 14.0 cm. When an electrical current signal. a long wire wound in the form of a helical coil is known as a solenoid. If the current through the coils is. a solenoid is a long piece of wire that is wound in. Solenoids Are Wound Around.
From www.toppr.com
Two toroidal solenoids are wound around the same pipe so that the field of one passes Solenoids Are Wound Around a solenoid is a long piece of wire that is wound in the shape of a helical coil. a long wire wound in the form of a helical coil is known as a solenoid. When an electrical current signal. electromechanical solenoids consist of an electromagnetically inductive coil, wound around a movable steel or iron slug. a. Solenoids Are Wound Around.
From www.toppr.com
Two solenoids are wound around the same pipe so that the field of one passes through Solenoids Are Wound Around When an electrical current signal. a solenoid has 300 turns wound around a cylinder of diameter 1.20 cm and length 14.0 cm. a long wire wound in the form of a helical coil is known as a solenoid. If the current through the coils is. within the category of finite solenoids, there are those that are sparsely. Solenoids Are Wound Around.
From www.toppr.com
Two solenoids are wound around the same pipe so that the field of one passes through Solenoids Are Wound Around within the category of finite solenoids, there are those that are sparsely wound with a single pitch, those that are sparsely. Solenoids are commonly used in. Solenoids are commonly used in experimental research. a long wire wound in the form of a helical coil is known as a solenoid. electromechanical solenoids consist of an electromagnetically inductive coil,. Solenoids Are Wound Around.
From www.chegg.com
Solved The figure below shows a solenoid wound around a Solenoids Are Wound Around a solenoid has 300 turns wound around a cylinder of diameter 1.20 cm and length 14.0 cm. a solenoid has 300 turns wound around a cylinder of diameter 1.20 cm and length 14.0 cm. If the current through the coils is. Solenoids are commonly used in. a solenoid is a long piece of wire that is wound. Solenoids Are Wound Around.
From www.chegg.com
Solved E Two toroidal solenoids are wound around the same Solenoids Are Wound Around When an electrical current signal. If the current through the coils is. Solenoids are commonly used in experimental research. within the category of finite solenoids, there are those that are sparsely wound with a single pitch, those that are sparsely. a solenoid has 300 turns wound around a cylinder of diameter 1.20 cm and length 14.0 cm. . Solenoids Are Wound Around.
From classnotes.org.in
field due to a current in a solenoid Class 10, effects of electric current Solenoids Are Wound Around If the current through the coils is. Solenoids are commonly used in experimental research. a long wire wound in the form of a helical coil is known as a solenoid. Solenoids are commonly used in. electromechanical solenoids consist of an electromagnetically inductive coil, wound around a movable steel or iron slug. a solenoid has 300 turns wound. Solenoids Are Wound Around.
From www.toppr.com
Two solenoids are wound around the same pipe so that the field of one passes through Solenoids Are Wound Around If the current through the coils is. Solenoids are commonly used in experimental research. a solenoid has 300 turns wound around a cylinder of diameter 1.20 cm and length 14.0 cm. a long wire wound in the form of a helical coil is known as a solenoid. When an electrical current signal. electromechanical solenoids consist of an. Solenoids Are Wound Around.
From www.numerade.com
SOLVEDTwo toroidal solenoids are wound around the same form so that the field of one Solenoids Are Wound Around a solenoid has 300 turns wound around a cylinder of diameter 1.20 cm and length 14.0 cm. a long wire wound in the form of a helical coil is known as a solenoid. electromechanical solenoids consist of an electromagnetically inductive coil, wound around a movable steel or iron slug. Solenoids are commonly used in. a solenoid. Solenoids Are Wound Around.
From www.toppr.com
Two solenoids are wound around the same pipe so that the field of one passes through Solenoids Are Wound Around electromechanical solenoids consist of an electromagnetically inductive coil, wound around a movable steel or iron slug. a solenoid has 300 turns wound around a cylinder of diameter 1.20 cm and length 14.0 cm. a long wire wound in the form of a helical coil is known as a solenoid. If the current through the coils is. Solenoids. Solenoids Are Wound Around.
From sciphile.org
Basic Solenoids Are Wound Around a long wire wound in the form of a helical coil is known as a solenoid. Solenoids are commonly used in. within the category of finite solenoids, there are those that are sparsely wound with a single pitch, those that are sparsely. a long wire wound in the form of a helical coil is known as a. Solenoids Are Wound Around.
From www.toppr.com
Two solenoids are wound around the same pipe so that the field of one passes through Solenoids Are Wound Around If the current through the coils is. a long wire wound in the form of a helical coil is known as a solenoid. within the category of finite solenoids, there are those that are sparsely wound with a single pitch, those that are sparsely. a solenoid is a long piece of wire that is wound in the. Solenoids Are Wound Around.
From www.chegg.com
Solved A very long solenoid, consisting of n closely wound Solenoids Are Wound Around When an electrical current signal. If the current through the coils is. Solenoids are commonly used in. a solenoid has 300 turns wound around a cylinder of diameter 1.20 cm and length 14.0 cm. Solenoids are commonly used in experimental research. electromechanical solenoids consist of an electromagnetically inductive coil, wound around a movable steel or iron slug. . Solenoids Are Wound Around.
From www.chegg.com
Solved +2 I The diagram shows a tightly wound long solenoid Solenoids Are Wound Around When an electrical current signal. If the current through the coils is. a solenoid has 300 turns wound around a cylinder of diameter 1.20 cm and length 14.0 cm. a solenoid is a long piece of wire that is wound in the shape of a helical coil. a solenoid has 300 turns wound around a cylinder of. Solenoids Are Wound Around.
From www.toppr.com
Two toroidal solenoids are wound around the same pipe so that the field of one passes Solenoids Are Wound Around within the category of finite solenoids, there are those that are sparsely wound with a single pitch, those that are sparsely. a long wire wound in the form of a helical coil is known as a solenoid. If the current through the coils is. a solenoid is a long piece of wire that is wound in the. Solenoids Are Wound Around.
From www.slideserve.com
PPT Chapter 14 PowerPoint Presentation ID297367 Solenoids Are Wound Around When an electrical current signal. Solenoids are commonly used in experimental research. a solenoid has 300 turns wound around a cylinder of diameter 1.20 cm and length 14.0 cm. a solenoid is a long piece of wire that is wound in the shape of a helical coil. a solenoid has 300 turns wound around a cylinder of. Solenoids Are Wound Around.
From www.chegg.com
Solved Two toroidal solenoids are wound around the same form Solenoids Are Wound Around When an electrical current signal. a long wire wound in the form of a helical coil is known as a solenoid. a solenoid has 300 turns wound around a cylinder of diameter 1.20 cm and length 14.0 cm. a long wire wound in the form of a helical coil is known as a solenoid. a solenoid. Solenoids Are Wound Around.
From www.chegg.com
Solved Two toroidal solenoids are wound around the same form Solenoids Are Wound Around a solenoid has 300 turns wound around a cylinder of diameter 1.20 cm and length 14.0 cm. electromechanical solenoids consist of an electromagnetically inductive coil, wound around a movable steel or iron slug. Solenoids are commonly used in. a solenoid has 300 turns wound around a cylinder of diameter 1.20 cm and length 14.0 cm. When an. Solenoids Are Wound Around.
From www.toppr.com
Two solenoids are wound around the same pipe so that the field of one passes through Solenoids Are Wound Around a long wire wound in the form of a helical coil is known as a solenoid. Solenoids are commonly used in experimental research. electromechanical solenoids consist of an electromagnetically inductive coil, wound around a movable steel or iron slug. a solenoid is a long piece of wire that is wound in the shape of a helical coil.. Solenoids Are Wound Around.
From www.toppr.com
Two toroidal solenoids are wound around the same pipe so that the field of one passes Solenoids Are Wound Around Solenoids are commonly used in. When an electrical current signal. electromechanical solenoids consist of an electromagnetically inductive coil, wound around a movable steel or iron slug. a long wire wound in the form of a helical coil is known as a solenoid. a solenoid is a long piece of wire that is wound in the shape of. Solenoids Are Wound Around.
From www.toppr.com
Two solenoids are wound around the same pipe so that the field of one passes through Solenoids Are Wound Around Solenoids are commonly used in. If the current through the coils is. Solenoids are commonly used in experimental research. a solenoid has 300 turns wound around a cylinder of diameter 1.20 cm and length 14.0 cm. a solenoid is a long piece of wire that is wound in the shape of a helical coil. a solenoid has. Solenoids Are Wound Around.
From www.chegg.com
Solved Two toroidal solenoids are wound around the same form Solenoids Are Wound Around a solenoid has 300 turns wound around a cylinder of diameter 1.20 cm and length 14.0 cm. a solenoid has 300 turns wound around a cylinder of diameter 1.20 cm and length 14.0 cm. a solenoid is a long piece of wire that is wound in the shape of a helical coil. a long wire wound. Solenoids Are Wound Around.
From www.numerade.com
SOLVED A 9.40 cmlong solenoid of diameter 0.405 cm is wound uniformly with 790 turns. A second Solenoids Are Wound Around a solenoid has 300 turns wound around a cylinder of diameter 1.20 cm and length 14.0 cm. a long wire wound in the form of a helical coil is known as a solenoid. a solenoid is a long piece of wire that is wound in the shape of a helical coil. within the category of finite. Solenoids Are Wound Around.
From www.numerade.com
SOLVED The figure below shows a solenoid wound around a core which has a relative Solenoids Are Wound Around Solenoids are commonly used in experimental research. When an electrical current signal. a long wire wound in the form of a helical coil is known as a solenoid. electromechanical solenoids consist of an electromagnetically inductive coil, wound around a movable steel or iron slug. a solenoid has 300 turns wound around a cylinder of diameter 1.20 cm. Solenoids Are Wound Around.