Derivative Of Sin X Quotient Rule . Quotient rule in calculus is a method used to find the derivative of any function given in the form of a quotient obtained from the result of the division of. [ article:topic, derivative of sine function, derivative of cosine function, derivative of tangent function, derivative of cotangent. Since the remaining four trigonometric functions may be expressed as quotients involving sine, cosine, or both, we can use the quotient rule to.
from www.youtube.com
Since the remaining four trigonometric functions may be expressed as quotients involving sine, cosine, or both, we can use the quotient rule to. Quotient rule in calculus is a method used to find the derivative of any function given in the form of a quotient obtained from the result of the division of. [ article:topic, derivative of sine function, derivative of cosine function, derivative of tangent function, derivative of cotangent.
Calculus Derivative Using Quotient Rule Trigonometric Functions YouTube
Derivative Of Sin X Quotient Rule Quotient rule in calculus is a method used to find the derivative of any function given in the form of a quotient obtained from the result of the division of. Quotient rule in calculus is a method used to find the derivative of any function given in the form of a quotient obtained from the result of the division of. [ article:topic, derivative of sine function, derivative of cosine function, derivative of tangent function, derivative of cotangent. Since the remaining four trigonometric functions may be expressed as quotients involving sine, cosine, or both, we can use the quotient rule to.
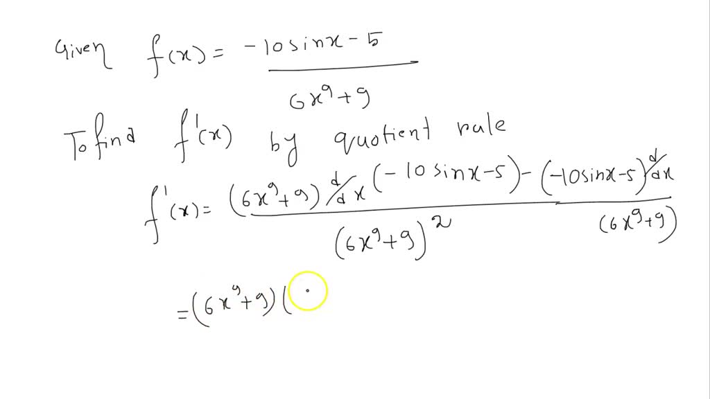
From derivativeit.com
The Quotient Rule DerivativeIt Derivative Of Sin X Quotient Rule [ article:topic, derivative of sine function, derivative of cosine function, derivative of tangent function, derivative of cotangent. Since the remaining four trigonometric functions may be expressed as quotients involving sine, cosine, or both, we can use the quotient rule to. Quotient rule in calculus is a method used to find the derivative of any function given in the form of. Derivative Of Sin X Quotient Rule.
From www.geneseo.edu
Geneseo Math 221 02 Product and Quotient Rules 2 Derivative Of Sin X Quotient Rule Since the remaining four trigonometric functions may be expressed as quotients involving sine, cosine, or both, we can use the quotient rule to. Quotient rule in calculus is a method used to find the derivative of any function given in the form of a quotient obtained from the result of the division of. [ article:topic, derivative of sine function, derivative. Derivative Of Sin X Quotient Rule.
From www.youtube.com
Proof of the derivative of sin(x) Derivatives introduction AP Derivative Of Sin X Quotient Rule [ article:topic, derivative of sine function, derivative of cosine function, derivative of tangent function, derivative of cotangent. Quotient rule in calculus is a method used to find the derivative of any function given in the form of a quotient obtained from the result of the division of. Since the remaining four trigonometric functions may be expressed as quotients involving sine,. Derivative Of Sin X Quotient Rule.
From www.youtube.com
Quotient Rule For Derivatives YouTube Derivative Of Sin X Quotient Rule Quotient rule in calculus is a method used to find the derivative of any function given in the form of a quotient obtained from the result of the division of. [ article:topic, derivative of sine function, derivative of cosine function, derivative of tangent function, derivative of cotangent. Since the remaining four trigonometric functions may be expressed as quotients involving sine,. Derivative Of Sin X Quotient Rule.
From www.teachoo.com
Example 22 Find the derivative of (x^5 cos x) / sin x Teachoo Derivative Of Sin X Quotient Rule Quotient rule in calculus is a method used to find the derivative of any function given in the form of a quotient obtained from the result of the division of. Since the remaining four trigonometric functions may be expressed as quotients involving sine, cosine, or both, we can use the quotient rule to. [ article:topic, derivative of sine function, derivative. Derivative Of Sin X Quotient Rule.
From www.coursehero.com
[Solved] 3. Use the quotient rule and the derivatives of sin x and cos Derivative Of Sin X Quotient Rule Quotient rule in calculus is a method used to find the derivative of any function given in the form of a quotient obtained from the result of the division of. Since the remaining four trigonometric functions may be expressed as quotients involving sine, cosine, or both, we can use the quotient rule to. [ article:topic, derivative of sine function, derivative. Derivative Of Sin X Quotient Rule.
From www.youtube.com
Derivative of sin(x) by the definition of a derivative YouTube Derivative Of Sin X Quotient Rule Since the remaining four trigonometric functions may be expressed as quotients involving sine, cosine, or both, we can use the quotient rule to. [ article:topic, derivative of sine function, derivative of cosine function, derivative of tangent function, derivative of cotangent. Quotient rule in calculus is a method used to find the derivative of any function given in the form of. Derivative Of Sin X Quotient Rule.
From www.chegg.com
Solved Follow the steps to find the derivative of the Derivative Of Sin X Quotient Rule Since the remaining four trigonometric functions may be expressed as quotients involving sine, cosine, or both, we can use the quotient rule to. Quotient rule in calculus is a method used to find the derivative of any function given in the form of a quotient obtained from the result of the division of. [ article:topic, derivative of sine function, derivative. Derivative Of Sin X Quotient Rule.
From www.numerade.com
SOLVEDUse the quotient rule and the derivatives of the sine and cosine Derivative Of Sin X Quotient Rule Since the remaining four trigonometric functions may be expressed as quotients involving sine, cosine, or both, we can use the quotient rule to. [ article:topic, derivative of sine function, derivative of cosine function, derivative of tangent function, derivative of cotangent. Quotient rule in calculus is a method used to find the derivative of any function given in the form of. Derivative Of Sin X Quotient Rule.
From calcworkshop.com
Quotient Rule For Calculus (w/ StepbyStep Examples!) Derivative Of Sin X Quotient Rule Quotient rule in calculus is a method used to find the derivative of any function given in the form of a quotient obtained from the result of the division of. [ article:topic, derivative of sine function, derivative of cosine function, derivative of tangent function, derivative of cotangent. Since the remaining four trigonometric functions may be expressed as quotients involving sine,. Derivative Of Sin X Quotient Rule.
From www.numerade.com
SOLVED Use the quotient rule to find the derivative of 10 sin(x) / f Derivative Of Sin X Quotient Rule Since the remaining four trigonometric functions may be expressed as quotients involving sine, cosine, or both, we can use the quotient rule to. [ article:topic, derivative of sine function, derivative of cosine function, derivative of tangent function, derivative of cotangent. Quotient rule in calculus is a method used to find the derivative of any function given in the form of. Derivative Of Sin X Quotient Rule.
From www.coursehero.com
[Solved] 3. Use the quotient rule and the derivatives of sin x and cos Derivative Of Sin X Quotient Rule Quotient rule in calculus is a method used to find the derivative of any function given in the form of a quotient obtained from the result of the division of. Since the remaining four trigonometric functions may be expressed as quotients involving sine, cosine, or both, we can use the quotient rule to. [ article:topic, derivative of sine function, derivative. Derivative Of Sin X Quotient Rule.
From www.nagwa.com
Question Video Finding the First Derivative of the Quotient of Derivative Of Sin X Quotient Rule [ article:topic, derivative of sine function, derivative of cosine function, derivative of tangent function, derivative of cotangent. Quotient rule in calculus is a method used to find the derivative of any function given in the form of a quotient obtained from the result of the division of. Since the remaining four trigonometric functions may be expressed as quotients involving sine,. Derivative Of Sin X Quotient Rule.
From machinelearningmastery.com
The Power, Product and Quotient Rules Derivative Of Sin X Quotient Rule [ article:topic, derivative of sine function, derivative of cosine function, derivative of tangent function, derivative of cotangent. Quotient rule in calculus is a method used to find the derivative of any function given in the form of a quotient obtained from the result of the division of. Since the remaining four trigonometric functions may be expressed as quotients involving sine,. Derivative Of Sin X Quotient Rule.
From www.youtube.com
Find the derivative of cos x /(1+sin x) Quotient Rule Derivative Of Sin X Quotient Rule [ article:topic, derivative of sine function, derivative of cosine function, derivative of tangent function, derivative of cotangent. Since the remaining four trigonometric functions may be expressed as quotients involving sine, cosine, or both, we can use the quotient rule to. Quotient rule in calculus is a method used to find the derivative of any function given in the form of. Derivative Of Sin X Quotient Rule.
From www.chegg.com
Solved 1. Apply the quotient rule to find the derivative of Derivative Of Sin X Quotient Rule Since the remaining four trigonometric functions may be expressed as quotients involving sine, cosine, or both, we can use the quotient rule to. [ article:topic, derivative of sine function, derivative of cosine function, derivative of tangent function, derivative of cotangent. Quotient rule in calculus is a method used to find the derivative of any function given in the form of. Derivative Of Sin X Quotient Rule.
From www.youtube.com
Ex 3 Determine a Derivative Using the Quotient Rule YouTube Derivative Of Sin X Quotient Rule [ article:topic, derivative of sine function, derivative of cosine function, derivative of tangent function, derivative of cotangent. Quotient rule in calculus is a method used to find the derivative of any function given in the form of a quotient obtained from the result of the division of. Since the remaining four trigonometric functions may be expressed as quotients involving sine,. Derivative Of Sin X Quotient Rule.
From www.youtube.com
derivative x/sin(x) by quotient rule derivatives by quotient rule Derivative Of Sin X Quotient Rule Quotient rule in calculus is a method used to find the derivative of any function given in the form of a quotient obtained from the result of the division of. [ article:topic, derivative of sine function, derivative of cosine function, derivative of tangent function, derivative of cotangent. Since the remaining four trigonometric functions may be expressed as quotients involving sine,. Derivative Of Sin X Quotient Rule.
From www.youtube.com
Derivative of cos(x)/sin(x) YouTube Derivative Of Sin X Quotient Rule [ article:topic, derivative of sine function, derivative of cosine function, derivative of tangent function, derivative of cotangent. Since the remaining four trigonometric functions may be expressed as quotients involving sine, cosine, or both, we can use the quotient rule to. Quotient rule in calculus is a method used to find the derivative of any function given in the form of. Derivative Of Sin X Quotient Rule.
From www.nagwa.com
Question Video Finding the First Derivative of the Quotient of Derivative Of Sin X Quotient Rule Since the remaining four trigonometric functions may be expressed as quotients involving sine, cosine, or both, we can use the quotient rule to. Quotient rule in calculus is a method used to find the derivative of any function given in the form of a quotient obtained from the result of the division of. [ article:topic, derivative of sine function, derivative. Derivative Of Sin X Quotient Rule.
From www.youtube.com
Calculus Differentiation Derivative of Sin x from first principle Derivative Of Sin X Quotient Rule [ article:topic, derivative of sine function, derivative of cosine function, derivative of tangent function, derivative of cotangent. Quotient rule in calculus is a method used to find the derivative of any function given in the form of a quotient obtained from the result of the division of. Since the remaining four trigonometric functions may be expressed as quotients involving sine,. Derivative Of Sin X Quotient Rule.
From kunduz.com
Derivative of Sin X Formula, Quotient Rule, Chain Rule, First Derivative Of Sin X Quotient Rule Since the remaining four trigonometric functions may be expressed as quotients involving sine, cosine, or both, we can use the quotient rule to. [ article:topic, derivative of sine function, derivative of cosine function, derivative of tangent function, derivative of cotangent. Quotient rule in calculus is a method used to find the derivative of any function given in the form of. Derivative Of Sin X Quotient Rule.
From www.youtube.com
Differentiate y = cos x/(1 sin x). Quotient Rule YouTube Derivative Of Sin X Quotient Rule Quotient rule in calculus is a method used to find the derivative of any function given in the form of a quotient obtained from the result of the division of. Since the remaining four trigonometric functions may be expressed as quotients involving sine, cosine, or both, we can use the quotient rule to. [ article:topic, derivative of sine function, derivative. Derivative Of Sin X Quotient Rule.
From www.teachoo.com
Example 16 Compute derivative of sin x using 1st principles Derivative Of Sin X Quotient Rule [ article:topic, derivative of sine function, derivative of cosine function, derivative of tangent function, derivative of cotangent. Since the remaining four trigonometric functions may be expressed as quotients involving sine, cosine, or both, we can use the quotient rule to. Quotient rule in calculus is a method used to find the derivative of any function given in the form of. Derivative Of Sin X Quotient Rule.
From math.stackexchange.com
calculus Derivative of x\sin x Mathematics Stack Exchange Derivative Of Sin X Quotient Rule Quotient rule in calculus is a method used to find the derivative of any function given in the form of a quotient obtained from the result of the division of. Since the remaining four trigonometric functions may be expressed as quotients involving sine, cosine, or both, we can use the quotient rule to. [ article:topic, derivative of sine function, derivative. Derivative Of Sin X Quotient Rule.
From www.cuemath.com
Derivative of Sin x Formula Differentiation of Sin x Derivative Of Sin X Quotient Rule Since the remaining four trigonometric functions may be expressed as quotients involving sine, cosine, or both, we can use the quotient rule to. Quotient rule in calculus is a method used to find the derivative of any function given in the form of a quotient obtained from the result of the division of. [ article:topic, derivative of sine function, derivative. Derivative Of Sin X Quotient Rule.
From www.youtube.com
Calculus Derivative Using Quotient Rule Trigonometric Functions YouTube Derivative Of Sin X Quotient Rule Quotient rule in calculus is a method used to find the derivative of any function given in the form of a quotient obtained from the result of the division of. [ article:topic, derivative of sine function, derivative of cosine function, derivative of tangent function, derivative of cotangent. Since the remaining four trigonometric functions may be expressed as quotients involving sine,. Derivative Of Sin X Quotient Rule.
From epsilonify.com
Derivative of sin(x) using First Principle of Derivatives Epsilonify Derivative Of Sin X Quotient Rule Quotient rule in calculus is a method used to find the derivative of any function given in the form of a quotient obtained from the result of the division of. Since the remaining four trigonometric functions may be expressed as quotients involving sine, cosine, or both, we can use the quotient rule to. [ article:topic, derivative of sine function, derivative. Derivative Of Sin X Quotient Rule.
From www.onlinemathlearning.com
Calculus Derivative Rules (formulas, examples, solutions, videos) Derivative Of Sin X Quotient Rule Since the remaining four trigonometric functions may be expressed as quotients involving sine, cosine, or both, we can use the quotient rule to. [ article:topic, derivative of sine function, derivative of cosine function, derivative of tangent function, derivative of cotangent. Quotient rule in calculus is a method used to find the derivative of any function given in the form of. Derivative Of Sin X Quotient Rule.
From www.numerade.com
SOLVEDUse the quotient rule and the derivatives of the sine and cosine Derivative Of Sin X Quotient Rule Quotient rule in calculus is a method used to find the derivative of any function given in the form of a quotient obtained from the result of the division of. [ article:topic, derivative of sine function, derivative of cosine function, derivative of tangent function, derivative of cotangent. Since the remaining four trigonometric functions may be expressed as quotients involving sine,. Derivative Of Sin X Quotient Rule.
From calcworkshop.com
Quotient Rule For Calculus (w/ StepbyStep Examples!) Derivative Of Sin X Quotient Rule [ article:topic, derivative of sine function, derivative of cosine function, derivative of tangent function, derivative of cotangent. Quotient rule in calculus is a method used to find the derivative of any function given in the form of a quotient obtained from the result of the division of. Since the remaining four trigonometric functions may be expressed as quotients involving sine,. Derivative Of Sin X Quotient Rule.
From www.cuemath.com
Differentiation of Trigonometric Functions Trig Derivatives Derivative Of Sin X Quotient Rule [ article:topic, derivative of sine function, derivative of cosine function, derivative of tangent function, derivative of cotangent. Since the remaining four trigonometric functions may be expressed as quotients involving sine, cosine, or both, we can use the quotient rule to. Quotient rule in calculus is a method used to find the derivative of any function given in the form of. Derivative Of Sin X Quotient Rule.
From www.teachoo.com
Example 7 Find derivative of sin x at x = 0 Class 11 Derivative Of Sin X Quotient Rule [ article:topic, derivative of sine function, derivative of cosine function, derivative of tangent function, derivative of cotangent. Quotient rule in calculus is a method used to find the derivative of any function given in the form of a quotient obtained from the result of the division of. Since the remaining four trigonometric functions may be expressed as quotients involving sine,. Derivative Of Sin X Quotient Rule.
From www.teachoo.com
Example 16 Compute derivative of sin x using 1st principles Derivative Of Sin X Quotient Rule [ article:topic, derivative of sine function, derivative of cosine function, derivative of tangent function, derivative of cotangent. Since the remaining four trigonometric functions may be expressed as quotients involving sine, cosine, or both, we can use the quotient rule to. Quotient rule in calculus is a method used to find the derivative of any function given in the form of. Derivative Of Sin X Quotient Rule.
From www.lessonplanet.com
Derivative of sin x Handout for 10th 12th Grade Lesson Derivative Of Sin X Quotient Rule Quotient rule in calculus is a method used to find the derivative of any function given in the form of a quotient obtained from the result of the division of. [ article:topic, derivative of sine function, derivative of cosine function, derivative of tangent function, derivative of cotangent. Since the remaining four trigonometric functions may be expressed as quotients involving sine,. Derivative Of Sin X Quotient Rule.