Bungee Cord With Spring Constant . the spring constant in bungee jumping refers to the stiffness of the bungee cord. relationship between spring constant and length of bungee cord. a group of students measured the spring constant of a bungee cord by adding different masses and measuring the displacement of the cord. It is a measure of how much force is. let’s say you’re planning a bungee jump and you want to calculate the spring constant of the bungee cord to. suppose a particular bungee cord has a spring constant, for $0≤x≤4.88 $ m, of $k_1=204$ n/m and for $4.88 \mathrm{m}≤x $, of. Hooke’s law states that the force of a spring is. the relationship between the unstretched length of the cord and the stretch, or displacement, of the cord is used to investigate the relationship between the. let’s say you’re planning a bungee jump and you want to calculate the spring constant of the bungee cord to. the spring constant of a bungee cord, also known as the stiffness or elasticity of the cord, is a measure of how.
from www.chegg.com
a group of students measured the spring constant of a bungee cord by adding different masses and measuring the displacement of the cord. Hooke’s law states that the force of a spring is. the spring constant of a bungee cord, also known as the stiffness or elasticity of the cord, is a measure of how. It is a measure of how much force is. let’s say you’re planning a bungee jump and you want to calculate the spring constant of the bungee cord to. the relationship between the unstretched length of the cord and the stretch, or displacement, of the cord is used to investigate the relationship between the. relationship between spring constant and length of bungee cord. the spring constant in bungee jumping refers to the stiffness of the bungee cord. suppose a particular bungee cord has a spring constant, for $0≤x≤4.88 $ m, of $k_1=204$ n/m and for $4.88 \mathrm{m}≤x $, of. let’s say you’re planning a bungee jump and you want to calculate the spring constant of the bungee cord to.
Solved Real bungee cords sometimes have different spring
Bungee Cord With Spring Constant the spring constant in bungee jumping refers to the stiffness of the bungee cord. It is a measure of how much force is. a group of students measured the spring constant of a bungee cord by adding different masses and measuring the displacement of the cord. the spring constant of a bungee cord, also known as the stiffness or elasticity of the cord, is a measure of how. the spring constant in bungee jumping refers to the stiffness of the bungee cord. Hooke’s law states that the force of a spring is. let’s say you’re planning a bungee jump and you want to calculate the spring constant of the bungee cord to. let’s say you’re planning a bungee jump and you want to calculate the spring constant of the bungee cord to. relationship between spring constant and length of bungee cord. the relationship between the unstretched length of the cord and the stretch, or displacement, of the cord is used to investigate the relationship between the. suppose a particular bungee cord has a spring constant, for $0≤x≤4.88 $ m, of $k_1=204$ n/m and for $4.88 \mathrm{m}≤x $, of.
From www.chegg.com
Solved Real bungee cords sometimes have different spring Bungee Cord With Spring Constant It is a measure of how much force is. the relationship between the unstretched length of the cord and the stretch, or displacement, of the cord is used to investigate the relationship between the. the spring constant in bungee jumping refers to the stiffness of the bungee cord. suppose a particular bungee cord has a spring constant,. Bungee Cord With Spring Constant.
From www.chegg.com
Solved An unstretched bungee cord with spring constant k = Bungee Cord With Spring Constant let’s say you’re planning a bungee jump and you want to calculate the spring constant of the bungee cord to. Hooke’s law states that the force of a spring is. a group of students measured the spring constant of a bungee cord by adding different masses and measuring the displacement of the cord. It is a measure of. Bungee Cord With Spring Constant.
From www.iqsdirectory.com
Shock, Bungee, and Elastic Cord Types, Design, Uses, and Benefits Bungee Cord With Spring Constant let’s say you’re planning a bungee jump and you want to calculate the spring constant of the bungee cord to. suppose a particular bungee cord has a spring constant, for $0≤x≤4.88 $ m, of $k_1=204$ n/m and for $4.88 \mathrm{m}≤x $, of. a group of students measured the spring constant of a bungee cord by adding different. Bungee Cord With Spring Constant.
From www.ropesdirect.co.uk
Everything you need to know about bungee cord Ropes Direct Ropes Direct Bungee Cord With Spring Constant a group of students measured the spring constant of a bungee cord by adding different masses and measuring the displacement of the cord. suppose a particular bungee cord has a spring constant, for $0≤x≤4.88 $ m, of $k_1=204$ n/m and for $4.88 \mathrm{m}≤x $, of. It is a measure of how much force is. relationship between spring. Bungee Cord With Spring Constant.
From www.numerade.com
SOLVED A bungee jumper (70 kg) leaps from a 70 m high bridge. The cord Bungee Cord With Spring Constant a group of students measured the spring constant of a bungee cord by adding different masses and measuring the displacement of the cord. the spring constant in bungee jumping refers to the stiffness of the bungee cord. the spring constant of a bungee cord, also known as the stiffness or elasticity of the cord, is a measure. Bungee Cord With Spring Constant.
From www.transtutors.com
(Get Answer) Question II. The Spring Constant Of The Bungee Cord A Bungee Cord With Spring Constant the spring constant in bungee jumping refers to the stiffness of the bungee cord. suppose a particular bungee cord has a spring constant, for $0≤x≤4.88 $ m, of $k_1=204$ n/m and for $4.88 \mathrm{m}≤x $, of. let’s say you’re planning a bungee jump and you want to calculate the spring constant of the bungee cord to. . Bungee Cord With Spring Constant.
From www.youtube.com
1 Bungee cord VS 10 Trunk Lift spring Fix YouTube Bungee Cord With Spring Constant the relationship between the unstretched length of the cord and the stretch, or displacement, of the cord is used to investigate the relationship between the. suppose a particular bungee cord has a spring constant, for $0≤x≤4.88 $ m, of $k_1=204$ n/m and for $4.88 \mathrm{m}≤x $, of. let’s say you’re planning a bungee jump and you want. Bungee Cord With Spring Constant.
From www.chegg.com
Solved 3. An 83.0 kg student hangs from a bungee cord with Bungee Cord With Spring Constant Hooke’s law states that the force of a spring is. relationship between spring constant and length of bungee cord. suppose a particular bungee cord has a spring constant, for $0≤x≤4.88 $ m, of $k_1=204$ n/m and for $4.88 \mathrm{m}≤x $, of. a group of students measured the spring constant of a bungee cord by adding different masses. Bungee Cord With Spring Constant.
From www.numerade.com
SOLVED "A 80kg student bungee jumps off bridge as shown using an ideal Bungee Cord With Spring Constant suppose a particular bungee cord has a spring constant, for $0≤x≤4.88 $ m, of $k_1=204$ n/m and for $4.88 \mathrm{m}≤x $, of. a group of students measured the spring constant of a bungee cord by adding different masses and measuring the displacement of the cord. the relationship between the unstretched length of the cord and the stretch,. Bungee Cord With Spring Constant.
From www.hookandcord.com
BUNGEE CORDS Bungee Cord With Spring Constant let’s say you’re planning a bungee jump and you want to calculate the spring constant of the bungee cord to. the spring constant of a bungee cord, also known as the stiffness or elasticity of the cord, is a measure of how. the relationship between the unstretched length of the cord and the stretch, or displacement, of. Bungee Cord With Spring Constant.
From www.youtube.com
Hooke's Constant Bungee Jumping Example 2 YouTube Bungee Cord With Spring Constant relationship between spring constant and length of bungee cord. the spring constant of a bungee cord, also known as the stiffness or elasticity of the cord, is a measure of how. the spring constant in bungee jumping refers to the stiffness of the bungee cord. let’s say you’re planning a bungee jump and you want to. Bungee Cord With Spring Constant.
From tutorbin.com
Solved Problem 32. An unstretched bungee cord with spring constant k Bungee Cord With Spring Constant a group of students measured the spring constant of a bungee cord by adding different masses and measuring the displacement of the cord. let’s say you’re planning a bungee jump and you want to calculate the spring constant of the bungee cord to. let’s say you’re planning a bungee jump and you want to calculate the spring. Bungee Cord With Spring Constant.
From www.numerade.com
Problem 4 Bungee Jumping (continued) A bungee jumper of mass m has a Bungee Cord With Spring Constant relationship between spring constant and length of bungee cord. Hooke’s law states that the force of a spring is. the spring constant of a bungee cord, also known as the stiffness or elasticity of the cord, is a measure of how. the relationship between the unstretched length of the cord and the stretch, or displacement, of the. Bungee Cord With Spring Constant.
From sciencedemonstrations.fas.harvard.edu
Bungee Jumping Barney Harvard Natural Sciences Lecture Demonstrations Bungee Cord With Spring Constant Hooke’s law states that the force of a spring is. the spring constant in bungee jumping refers to the stiffness of the bungee cord. let’s say you’re planning a bungee jump and you want to calculate the spring constant of the bungee cord to. a group of students measured the spring constant of a bungee cord by. Bungee Cord With Spring Constant.
From www.numerade.com
A bungee jumper of mass 75 kg is standing on a platform 53 m above a Bungee Cord With Spring Constant the spring constant of a bungee cord, also known as the stiffness or elasticity of the cord, is a measure of how. let’s say you’re planning a bungee jump and you want to calculate the spring constant of the bungee cord to. let’s say you’re planning a bungee jump and you want to calculate the spring constant. Bungee Cord With Spring Constant.
From www.numerade.com
SOLVED A bungee jumper of mass 75kg is standing on a platform 53m Bungee Cord With Spring Constant let’s say you’re planning a bungee jump and you want to calculate the spring constant of the bungee cord to. the spring constant of a bungee cord, also known as the stiffness or elasticity of the cord, is a measure of how. a group of students measured the spring constant of a bungee cord by adding different. Bungee Cord With Spring Constant.
From www.iqsdirectory.com
Shock, Bungee, and Elastic Cord Types, Design, Uses, and Benefits Bungee Cord With Spring Constant suppose a particular bungee cord has a spring constant, for $0≤x≤4.88 $ m, of $k_1=204$ n/m and for $4.88 \mathrm{m}≤x $, of. let’s say you’re planning a bungee jump and you want to calculate the spring constant of the bungee cord to. relationship between spring constant and length of bungee cord. Hooke’s law states that the force. Bungee Cord With Spring Constant.
From www.lowes.com
SmartStraps Bungee Cord in the Bungee Cords department at Bungee Cord With Spring Constant suppose a particular bungee cord has a spring constant, for $0≤x≤4.88 $ m, of $k_1=204$ n/m and for $4.88 \mathrm{m}≤x $, of. It is a measure of how much force is. the spring constant of a bungee cord, also known as the stiffness or elasticity of the cord, is a measure of how. the relationship between the. Bungee Cord With Spring Constant.
From www.slideserve.com
PPT An Analysis of the Physics Behind Bungee Jumping PowerPoint Bungee Cord With Spring Constant the spring constant of a bungee cord, also known as the stiffness or elasticity of the cord, is a measure of how. let’s say you’re planning a bungee jump and you want to calculate the spring constant of the bungee cord to. the relationship between the unstretched length of the cord and the stretch, or displacement, of. Bungee Cord With Spring Constant.
From www.numerade.com
SOLVED "A 80kg student bungee jumps off bridge as shown using an ideal Bungee Cord With Spring Constant a group of students measured the spring constant of a bungee cord by adding different masses and measuring the displacement of the cord. Hooke’s law states that the force of a spring is. the spring constant in bungee jumping refers to the stiffness of the bungee cord. suppose a particular bungee cord has a spring constant, for. Bungee Cord With Spring Constant.
From slideplayer.com
Conservation of energy ppt download Bungee Cord With Spring Constant a group of students measured the spring constant of a bungee cord by adding different masses and measuring the displacement of the cord. relationship between spring constant and length of bungee cord. It is a measure of how much force is. the spring constant in bungee jumping refers to the stiffness of the bungee cord. Hooke’s law. Bungee Cord With Spring Constant.
From www.chegg.com
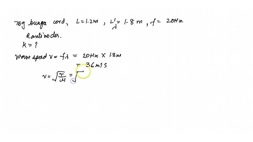
Solved A 78 g bungee cord has an equilibrium length of 1.20 Bungee Cord With Spring Constant Hooke’s law states that the force of a spring is. relationship between spring constant and length of bungee cord. It is a measure of how much force is. the relationship between the unstretched length of the cord and the stretch, or displacement, of the cord is used to investigate the relationship between the. a group of students. Bungee Cord With Spring Constant.
From discoverspy.com
2 Pack 24in. Bungee Stretch Cords 06024 Bungee Cord With Spring Constant the spring constant of a bungee cord, also known as the stiffness or elasticity of the cord, is a measure of how. suppose a particular bungee cord has a spring constant, for $0≤x≤4.88 $ m, of $k_1=204$ n/m and for $4.88 \mathrm{m}≤x $, of. let’s say you’re planning a bungee jump and you want to calculate the. Bungee Cord With Spring Constant.
From www.chegg.com
Solved An unstretched bungee cord with spring constant k = Bungee Cord With Spring Constant let’s say you’re planning a bungee jump and you want to calculate the spring constant of the bungee cord to. relationship between spring constant and length of bungee cord. the spring constant in bungee jumping refers to the stiffness of the bungee cord. let’s say you’re planning a bungee jump and you want to calculate the. Bungee Cord With Spring Constant.
From www.youtube.com
Hooke's Constant Bungee Jumping Example 1 YouTube Bungee Cord With Spring Constant a group of students measured the spring constant of a bungee cord by adding different masses and measuring the displacement of the cord. suppose a particular bungee cord has a spring constant, for $0≤x≤4.88 $ m, of $k_1=204$ n/m and for $4.88 \mathrm{m}≤x $, of. the spring constant in bungee jumping refers to the stiffness of the. Bungee Cord With Spring Constant.
From www.hookandcord.com
(1/4") HEAVY DUTY SPRING HOOK CUSTOM BUNGEE CORDS (BY THE INCH) Bungee Cord With Spring Constant the spring constant in bungee jumping refers to the stiffness of the bungee cord. let’s say you’re planning a bungee jump and you want to calculate the spring constant of the bungee cord to. Hooke’s law states that the force of a spring is. a group of students measured the spring constant of a bungee cord by. Bungee Cord With Spring Constant.
From www.iqsdirectory.com
Shock, Bungee, and Elastic Cord Types, Design, Uses, and Benefits Bungee Cord With Spring Constant the relationship between the unstretched length of the cord and the stretch, or displacement, of the cord is used to investigate the relationship between the. a group of students measured the spring constant of a bungee cord by adding different masses and measuring the displacement of the cord. suppose a particular bungee cord has a spring constant,. Bungee Cord With Spring Constant.
From www.numerade.com
7 The Physics of Bungee Jumping (10 pts) In this problem you will Bungee Cord With Spring Constant let’s say you’re planning a bungee jump and you want to calculate the spring constant of the bungee cord to. suppose a particular bungee cord has a spring constant, for $0≤x≤4.88 $ m, of $k_1=204$ n/m and for $4.88 \mathrm{m}≤x $, of. let’s say you’re planning a bungee jump and you want to calculate the spring constant. Bungee Cord With Spring Constant.
From www.numerade.com
SOLVEDA 75 g bungee cord has an equilibrium length of 1.2 m. The cord Bungee Cord With Spring Constant a group of students measured the spring constant of a bungee cord by adding different masses and measuring the displacement of the cord. Hooke’s law states that the force of a spring is. relationship between spring constant and length of bungee cord. suppose a particular bungee cord has a spring constant, for $0≤x≤4.88 $ m, of $k_1=204$. Bungee Cord With Spring Constant.
From www.slideserve.com
PPT An Analysis of the Physics Behind Bungee Jumping PowerPoint Bungee Cord With Spring Constant suppose a particular bungee cord has a spring constant, for $0≤x≤4.88 $ m, of $k_1=204$ n/m and for $4.88 \mathrm{m}≤x $, of. the relationship between the unstretched length of the cord and the stretch, or displacement, of the cord is used to investigate the relationship between the. let’s say you’re planning a bungee jump and you want. Bungee Cord With Spring Constant.
From www.numerade.com
A bungee cord is essentially a very long rubber band that can stretch Bungee Cord With Spring Constant a group of students measured the spring constant of a bungee cord by adding different masses and measuring the displacement of the cord. let’s say you’re planning a bungee jump and you want to calculate the spring constant of the bungee cord to. relationship between spring constant and length of bungee cord. the spring constant of. Bungee Cord With Spring Constant.
From www.numerade.com
SOLVED An intrepid physics student decides to try bungee jumping She Bungee Cord With Spring Constant the spring constant of a bungee cord, also known as the stiffness or elasticity of the cord, is a measure of how. relationship between spring constant and length of bungee cord. a group of students measured the spring constant of a bungee cord by adding different masses and measuring the displacement of the cord. let’s say. Bungee Cord With Spring Constant.
From www.chegg.com
Solved An unstretched bungee cord with spring constant k = Bungee Cord With Spring Constant Hooke’s law states that the force of a spring is. It is a measure of how much force is. let’s say you’re planning a bungee jump and you want to calculate the spring constant of the bungee cord to. suppose a particular bungee cord has a spring constant, for $0≤x≤4.88 $ m, of $k_1=204$ n/m and for $4.88. Bungee Cord With Spring Constant.
From www.chegg.com
Solved 3. (20 points) Consider the bungee jumping system, Bungee Cord With Spring Constant the spring constant of a bungee cord, also known as the stiffness or elasticity of the cord, is a measure of how. It is a measure of how much force is. a group of students measured the spring constant of a bungee cord by adding different masses and measuring the displacement of the cord. relationship between spring. Bungee Cord With Spring Constant.
From www.homedepot.com
Stalwart 24 in. Bungee Cords (10Pack) M600013 The Home Depot Bungee Cord With Spring Constant relationship between spring constant and length of bungee cord. suppose a particular bungee cord has a spring constant, for $0≤x≤4.88 $ m, of $k_1=204$ n/m and for $4.88 \mathrm{m}≤x $, of. the relationship between the unstretched length of the cord and the stretch, or displacement, of the cord is used to investigate the relationship between the. . Bungee Cord With Spring Constant.