How Much Does A Gallon Of E85 Weigh . Use this e85 calculator to accurately determine the amount of e85 fuel and gasoline you need to achieve your desired ethanol blend. From san diego to las vegas and back we used 50 gallons of e85 and achieved an average fuel economy of 13.5 mpg. Materials, substances and compounds volume to weight. E85 is a mixture of 85% ethanol alcohol and 15% gasoline. We spent $154.29 on ethanol for the trip. It’s usually 6.59 pounds per gallon. Or it’s supposed to be anyway—just as gas quality. 1 gallon of gasoline equals 5.8 to 6.5 lbs 1 gallon of ethanol equals. The e85 weight per gallon is slightly higher than the weight of regular gasoline. E85 is mixture of 85 percent denatured ethanol and 15 percent gasoline. Calculate weight of ethanol per volume, it weighs 789.3 kg/m³ (49.27439 lb/ft³).
from wou.edu
E85 is a mixture of 85% ethanol alcohol and 15% gasoline. The e85 weight per gallon is slightly higher than the weight of regular gasoline. From san diego to las vegas and back we used 50 gallons of e85 and achieved an average fuel economy of 13.5 mpg. Use this e85 calculator to accurately determine the amount of e85 fuel and gasoline you need to achieve your desired ethanol blend. Or it’s supposed to be anyway—just as gas quality. Calculate weight of ethanol per volume, it weighs 789.3 kg/m³ (49.27439 lb/ft³). Materials, substances and compounds volume to weight. It’s usually 6.59 pounds per gallon. E85 is mixture of 85 percent denatured ethanol and 15 percent gasoline. We spent $154.29 on ethanol for the trip.
CH105 Chapter 7 Alkanes and Halogenated Hydrocarbons Chemistry
How Much Does A Gallon Of E85 Weigh Materials, substances and compounds volume to weight. We spent $154.29 on ethanol for the trip. From san diego to las vegas and back we used 50 gallons of e85 and achieved an average fuel economy of 13.5 mpg. Or it’s supposed to be anyway—just as gas quality. Use this e85 calculator to accurately determine the amount of e85 fuel and gasoline you need to achieve your desired ethanol blend. E85 is mixture of 85 percent denatured ethanol and 15 percent gasoline. It’s usually 6.59 pounds per gallon. 1 gallon of gasoline equals 5.8 to 6.5 lbs 1 gallon of ethanol equals. Materials, substances and compounds volume to weight. Calculate weight of ethanol per volume, it weighs 789.3 kg/m³ (49.27439 lb/ft³). The e85 weight per gallon is slightly higher than the weight of regular gasoline. E85 is a mixture of 85% ethanol alcohol and 15% gasoline.
From gwatneyperformance.com
One Ethanol E85 Race Fuel 5 Gallons (112 S) Gwatney Performance How Much Does A Gallon Of E85 Weigh E85 is mixture of 85 percent denatured ethanol and 15 percent gasoline. The e85 weight per gallon is slightly higher than the weight of regular gasoline. E85 is a mixture of 85% ethanol alcohol and 15% gasoline. 1 gallon of gasoline equals 5.8 to 6.5 lbs 1 gallon of ethanol equals. Or it’s supposed to be anyway—just as gas quality.. How Much Does A Gallon Of E85 Weigh.
From www.streetmusclemag.com
Mixing E85 With Pump Gas Getting Higher Octane For Less Money How Much Does A Gallon Of E85 Weigh Use this e85 calculator to accurately determine the amount of e85 fuel and gasoline you need to achieve your desired ethanol blend. E85 is mixture of 85 percent denatured ethanol and 15 percent gasoline. Materials, substances and compounds volume to weight. We spent $154.29 on ethanol for the trip. The e85 weight per gallon is slightly higher than the weight. How Much Does A Gallon Of E85 Weigh.
From www.realstreetpowersports.com
One Ethanol "S" 112 Octane E85 Racing Fuel 5 Gallon Pail How Much Does A Gallon Of E85 Weigh 1 gallon of gasoline equals 5.8 to 6.5 lbs 1 gallon of ethanol equals. Calculate weight of ethanol per volume, it weighs 789.3 kg/m³ (49.27439 lb/ft³). The e85 weight per gallon is slightly higher than the weight of regular gasoline. We spent $154.29 on ethanol for the trip. It’s usually 6.59 pounds per gallon. Or it’s supposed to be anyway—just. How Much Does A Gallon Of E85 Weigh.
From eflexfuel.com
E85 Fuel eFlexFuel Technology How Much Does A Gallon Of E85 Weigh 1 gallon of gasoline equals 5.8 to 6.5 lbs 1 gallon of ethanol equals. It’s usually 6.59 pounds per gallon. We spent $154.29 on ethanol for the trip. The e85 weight per gallon is slightly higher than the weight of regular gasoline. E85 is a mixture of 85% ethanol alcohol and 15% gasoline. E85 is mixture of 85 percent denatured. How Much Does A Gallon Of E85 Weigh.
From www.reddit.com
How much ethanol is safe? r/Miata How Much Does A Gallon Of E85 Weigh It’s usually 6.59 pounds per gallon. E85 is a mixture of 85% ethanol alcohol and 15% gasoline. The e85 weight per gallon is slightly higher than the weight of regular gasoline. Materials, substances and compounds volume to weight. Calculate weight of ethanol per volume, it weighs 789.3 kg/m³ (49.27439 lb/ft³). Use this e85 calculator to accurately determine the amount of. How Much Does A Gallon Of E85 Weigh.
From powersportsguide.com
How Much Does a Gallon of Ethanol Weight? [Weight Chart] PowerSportsGuide How Much Does A Gallon Of E85 Weigh Or it’s supposed to be anyway—just as gas quality. The e85 weight per gallon is slightly higher than the weight of regular gasoline. E85 is a mixture of 85% ethanol alcohol and 15% gasoline. From san diego to las vegas and back we used 50 gallons of e85 and achieved an average fuel economy of 13.5 mpg. We spent $154.29. How Much Does A Gallon Of E85 Weigh.
From www.cspdailynews.com
Sheetz Cuts Prices on E85 to 1.85 per Gallon How Much Does A Gallon Of E85 Weigh Calculate weight of ethanol per volume, it weighs 789.3 kg/m³ (49.27439 lb/ft³). It’s usually 6.59 pounds per gallon. Use this e85 calculator to accurately determine the amount of e85 fuel and gasoline you need to achieve your desired ethanol blend. E85 is mixture of 85 percent denatured ethanol and 15 percent gasoline. 1 gallon of gasoline equals 5.8 to 6.5. How Much Does A Gallon Of E85 Weigh.
From www.enginelabs.com
Mixing E85 With Pump Gas Getting Higher Octane For Less Money How Much Does A Gallon Of E85 Weigh From san diego to las vegas and back we used 50 gallons of e85 and achieved an average fuel economy of 13.5 mpg. E85 is a mixture of 85% ethanol alcohol and 15% gasoline. Use this e85 calculator to accurately determine the amount of e85 fuel and gasoline you need to achieve your desired ethanol blend. 1 gallon of gasoline. How Much Does A Gallon Of E85 Weigh.
From japaneseclass.jp
Images of E85 JapaneseClass.jp How Much Does A Gallon Of E85 Weigh The e85 weight per gallon is slightly higher than the weight of regular gasoline. We spent $154.29 on ethanol for the trip. Or it’s supposed to be anyway—just as gas quality. It’s usually 6.59 pounds per gallon. E85 is mixture of 85 percent denatured ethanol and 15 percent gasoline. Calculate weight of ethanol per volume, it weighs 789.3 kg/m³ (49.27439. How Much Does A Gallon Of E85 Weigh.
From www.havocspeed.com
One Ethanol R 117+ Octane E85 Race Fuel 5 Gallon Pail Havoc Speed How Much Does A Gallon Of E85 Weigh Materials, substances and compounds volume to weight. E85 is a mixture of 85% ethanol alcohol and 15% gasoline. Or it’s supposed to be anyway—just as gas quality. Use this e85 calculator to accurately determine the amount of e85 fuel and gasoline you need to achieve your desired ethanol blend. We spent $154.29 on ethanol for the trip. 1 gallon of. How Much Does A Gallon Of E85 Weigh.
From www.youtube.com
14 GALLON E85 FILLUP FOR MY EVO 8 YouTube How Much Does A Gallon Of E85 Weigh E85 is mixture of 85 percent denatured ethanol and 15 percent gasoline. Or it’s supposed to be anyway—just as gas quality. 1 gallon of gasoline equals 5.8 to 6.5 lbs 1 gallon of ethanol equals. Use this e85 calculator to accurately determine the amount of e85 fuel and gasoline you need to achieve your desired ethanol blend. From san diego. How Much Does A Gallon Of E85 Weigh.
From discover.hubpages.com
Why CornBased Ethanol Is an Inferior Fuel Alternative HubPages How Much Does A Gallon Of E85 Weigh It’s usually 6.59 pounds per gallon. Calculate weight of ethanol per volume, it weighs 789.3 kg/m³ (49.27439 lb/ft³). The e85 weight per gallon is slightly higher than the weight of regular gasoline. E85 is a mixture of 85% ethanol alcohol and 15% gasoline. 1 gallon of gasoline equals 5.8 to 6.5 lbs 1 gallon of ethanol equals. We spent $154.29. How Much Does A Gallon Of E85 Weigh.
From www.numerade.com
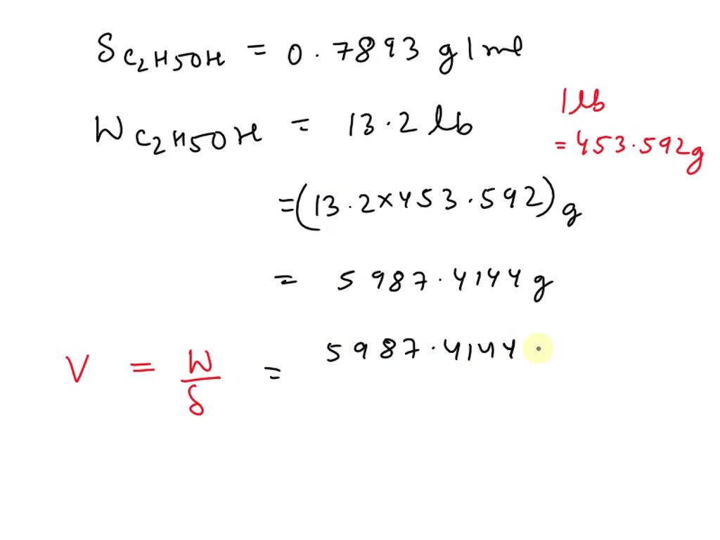
SOLVED How many pounds does 1.000 gallon of pure ethanol weigh How Much Does A Gallon Of E85 Weigh We spent $154.29 on ethanol for the trip. The e85 weight per gallon is slightly higher than the weight of regular gasoline. 1 gallon of gasoline equals 5.8 to 6.5 lbs 1 gallon of ethanol equals. Use this e85 calculator to accurately determine the amount of e85 fuel and gasoline you need to achieve your desired ethanol blend. It’s usually. How Much Does A Gallon Of E85 Weigh.
From gioepgrvx.blob.core.windows.net
How Much Co2 Does 1 Gallon Of Gas Produce at Matthew Packard blog How Much Does A Gallon Of E85 Weigh Use this e85 calculator to accurately determine the amount of e85 fuel and gasoline you need to achieve your desired ethanol blend. E85 is a mixture of 85% ethanol alcohol and 15% gasoline. The e85 weight per gallon is slightly higher than the weight of regular gasoline. Calculate weight of ethanol per volume, it weighs 789.3 kg/m³ (49.27439 lb/ft³). We. How Much Does A Gallon Of E85 Weigh.
From alternativefuelbidendo.blogspot.com
Alternative Fuel Benefits Of Alternative Fuel How Much Does A Gallon Of E85 Weigh Use this e85 calculator to accurately determine the amount of e85 fuel and gasoline you need to achieve your desired ethanol blend. 1 gallon of gasoline equals 5.8 to 6.5 lbs 1 gallon of ethanol equals. From san diego to las vegas and back we used 50 gallons of e85 and achieved an average fuel economy of 13.5 mpg. We. How Much Does A Gallon Of E85 Weigh.
From wou.edu
CH105 Chapter 7 Alkanes and Halogenated Hydrocarbons Chemistry How Much Does A Gallon Of E85 Weigh 1 gallon of gasoline equals 5.8 to 6.5 lbs 1 gallon of ethanol equals. Calculate weight of ethanol per volume, it weighs 789.3 kg/m³ (49.27439 lb/ft³). Or it’s supposed to be anyway—just as gas quality. Materials, substances and compounds volume to weight. We spent $154.29 on ethanol for the trip. It’s usually 6.59 pounds per gallon. Use this e85 calculator. How Much Does A Gallon Of E85 Weigh.
From www.semanticscholar.org
Table 1 from How Much Energy Does It Take to Make a Gallon of Ethanol How Much Does A Gallon Of E85 Weigh Or it’s supposed to be anyway—just as gas quality. Calculate weight of ethanol per volume, it weighs 789.3 kg/m³ (49.27439 lb/ft³). Materials, substances and compounds volume to weight. From san diego to las vegas and back we used 50 gallons of e85 and achieved an average fuel economy of 13.5 mpg. We spent $154.29 on ethanol for the trip. The. How Much Does A Gallon Of E85 Weigh.
From www.youtube.com
How much does E85 affect gas milage? YouTube How Much Does A Gallon Of E85 Weigh It’s usually 6.59 pounds per gallon. Use this e85 calculator to accurately determine the amount of e85 fuel and gasoline you need to achieve your desired ethanol blend. We spent $154.29 on ethanol for the trip. Calculate weight of ethanol per volume, it weighs 789.3 kg/m³ (49.27439 lb/ft³). Materials, substances and compounds volume to weight. From san diego to las. How Much Does A Gallon Of E85 Weigh.
From www.enginelabs.com
Mixing E85 With Pump Gas Getting Higher Octane For Less Money How Much Does A Gallon Of E85 Weigh Or it’s supposed to be anyway—just as gas quality. Materials, substances and compounds volume to weight. Use this e85 calculator to accurately determine the amount of e85 fuel and gasoline you need to achieve your desired ethanol blend. The e85 weight per gallon is slightly higher than the weight of regular gasoline. From san diego to las vegas and back. How Much Does A Gallon Of E85 Weigh.
From www.chegg.com
Solved 3. The United States currently consumes 10.8 billion How Much Does A Gallon Of E85 Weigh We spent $154.29 on ethanol for the trip. E85 is mixture of 85 percent denatured ethanol and 15 percent gasoline. Use this e85 calculator to accurately determine the amount of e85 fuel and gasoline you need to achieve your desired ethanol blend. It’s usually 6.59 pounds per gallon. From san diego to las vegas and back we used 50 gallons. How Much Does A Gallon Of E85 Weigh.
From www.focusrsforum.com
E30 mixing chart Focus RS Forum How Much Does A Gallon Of E85 Weigh E85 is a mixture of 85% ethanol alcohol and 15% gasoline. Or it’s supposed to be anyway—just as gas quality. Use this e85 calculator to accurately determine the amount of e85 fuel and gasoline you need to achieve your desired ethanol blend. We spent $154.29 on ethanol for the trip. Calculate weight of ethanol per volume, it weighs 789.3 kg/m³. How Much Does A Gallon Of E85 Weigh.
From www.usatoday.com
Sheetz E85 flex fuel price Gas station lowers price to 1.85 a gallon How Much Does A Gallon Of E85 Weigh We spent $154.29 on ethanol for the trip. Or it’s supposed to be anyway—just as gas quality. E85 is mixture of 85 percent denatured ethanol and 15 percent gasoline. E85 is a mixture of 85% ethanol alcohol and 15% gasoline. It’s usually 6.59 pounds per gallon. Use this e85 calculator to accurately determine the amount of e85 fuel and gasoline. How Much Does A Gallon Of E85 Weigh.
From www.semanticscholar.org
Table 2 from How Much Energy Does It Take to Make a Gallon of Ethanol How Much Does A Gallon Of E85 Weigh E85 is mixture of 85 percent denatured ethanol and 15 percent gasoline. Materials, substances and compounds volume to weight. The e85 weight per gallon is slightly higher than the weight of regular gasoline. Use this e85 calculator to accurately determine the amount of e85 fuel and gasoline you need to achieve your desired ethanol blend. From san diego to las. How Much Does A Gallon Of E85 Weigh.
From www.horsepowerinnovations.com
Stoichiometric ratios of ethanol, gasoline, and various E85 blends How Much Does A Gallon Of E85 Weigh E85 is a mixture of 85% ethanol alcohol and 15% gasoline. Or it’s supposed to be anyway—just as gas quality. From san diego to las vegas and back we used 50 gallons of e85 and achieved an average fuel economy of 13.5 mpg. Materials, substances and compounds volume to weight. We spent $154.29 on ethanol for the trip. It’s usually. How Much Does A Gallon Of E85 Weigh.
From hxexvqyfv.blob.core.windows.net
How Much Does A Gallon Of Corn Weight at Keith Callahan blog How Much Does A Gallon Of E85 Weigh 1 gallon of gasoline equals 5.8 to 6.5 lbs 1 gallon of ethanol equals. From san diego to las vegas and back we used 50 gallons of e85 and achieved an average fuel economy of 13.5 mpg. Materials, substances and compounds volume to weight. The e85 weight per gallon is slightly higher than the weight of regular gasoline. Or it’s. How Much Does A Gallon Of E85 Weigh.
From www.fastutv.com
Ignite Orange E85 55 Gallon Drum of Ignite Racing Fuel Fast UTV How Much Does A Gallon Of E85 Weigh Materials, substances and compounds volume to weight. E85 is mixture of 85 percent denatured ethanol and 15 percent gasoline. 1 gallon of gasoline equals 5.8 to 6.5 lbs 1 gallon of ethanol equals. Use this e85 calculator to accurately determine the amount of e85 fuel and gasoline you need to achieve your desired ethanol blend. We spent $154.29 on ethanol. How Much Does A Gallon Of E85 Weigh.
From fyoxouusm.blob.core.windows.net
How Much Does A Gallon Of Ethanol Free Gas Weigh at Joseph May blog How Much Does A Gallon Of E85 Weigh The e85 weight per gallon is slightly higher than the weight of regular gasoline. E85 is mixture of 85 percent denatured ethanol and 15 percent gasoline. 1 gallon of gasoline equals 5.8 to 6.5 lbs 1 gallon of ethanol equals. Calculate weight of ethanol per volume, it weighs 789.3 kg/m³ (49.27439 lb/ft³). Materials, substances and compounds volume to weight. We. How Much Does A Gallon Of E85 Weigh.
From www.realstreetperformance.com
One Ethanol "R" 117 Octane E85 Racing Fuel 54 Gallon Drum How Much Does A Gallon Of E85 Weigh 1 gallon of gasoline equals 5.8 to 6.5 lbs 1 gallon of ethanol equals. We spent $154.29 on ethanol for the trip. Materials, substances and compounds volume to weight. E85 is a mixture of 85% ethanol alcohol and 15% gasoline. Use this e85 calculator to accurately determine the amount of e85 fuel and gasoline you need to achieve your desired. How Much Does A Gallon Of E85 Weigh.
From petroleumservicecompany.com
Sunoco E85R 99 Octane Unleaded Race Fuel Order Online How Much Does A Gallon Of E85 Weigh From san diego to las vegas and back we used 50 gallons of e85 and achieved an average fuel economy of 13.5 mpg. E85 is a mixture of 85% ethanol alcohol and 15% gasoline. Calculate weight of ethanol per volume, it weighs 789.3 kg/m³ (49.27439 lb/ft³). Use this e85 calculator to accurately determine the amount of e85 fuel and gasoline. How Much Does A Gallon Of E85 Weigh.
From www.thedrive.com
Sheetz Is Selling E85 for 1.85 per Gallon, Provided Your Car Can How Much Does A Gallon Of E85 Weigh It’s usually 6.59 pounds per gallon. From san diego to las vegas and back we used 50 gallons of e85 and achieved an average fuel economy of 13.5 mpg. 1 gallon of gasoline equals 5.8 to 6.5 lbs 1 gallon of ethanol equals. Materials, substances and compounds volume to weight. We spent $154.29 on ethanol for the trip. Or it’s. How Much Does A Gallon Of E85 Weigh.
From www.thompsonsales.com
Guide for E85 Gasoline & New Vehicles by Thompson Sales How Much Does A Gallon Of E85 Weigh It’s usually 6.59 pounds per gallon. E85 is mixture of 85 percent denatured ethanol and 15 percent gasoline. From san diego to las vegas and back we used 50 gallons of e85 and achieved an average fuel economy of 13.5 mpg. We spent $154.29 on ethanol for the trip. 1 gallon of gasoline equals 5.8 to 6.5 lbs 1 gallon. How Much Does A Gallon Of E85 Weigh.
From www.youtube.com
How much E85 can a STOCK B58 handle? Flex Fuel Testing on my 340i How Much Does A Gallon Of E85 Weigh E85 is a mixture of 85% ethanol alcohol and 15% gasoline. Calculate weight of ethanol per volume, it weighs 789.3 kg/m³ (49.27439 lb/ft³). Materials, substances and compounds volume to weight. We spent $154.29 on ethanol for the trip. Use this e85 calculator to accurately determine the amount of e85 fuel and gasoline you need to achieve your desired ethanol blend.. How Much Does A Gallon Of E85 Weigh.
From garagesmallmoriches.z21.web.core.windows.net
Does E85 Clean Your Engine How Much Does A Gallon Of E85 Weigh We spent $154.29 on ethanol for the trip. 1 gallon of gasoline equals 5.8 to 6.5 lbs 1 gallon of ethanol equals. It’s usually 6.59 pounds per gallon. From san diego to las vegas and back we used 50 gallons of e85 and achieved an average fuel economy of 13.5 mpg. Calculate weight of ethanol per volume, it weighs 789.3. How Much Does A Gallon Of E85 Weigh.
From www.youtube.com
FBO E85 Coyote Mustang GT Dyno (How much power did E85 gain? ) YouTube How Much Does A Gallon Of E85 Weigh E85 is mixture of 85 percent denatured ethanol and 15 percent gasoline. Materials, substances and compounds volume to weight. Use this e85 calculator to accurately determine the amount of e85 fuel and gasoline you need to achieve your desired ethanol blend. E85 is a mixture of 85% ethanol alcohol and 15% gasoline. 1 gallon of gasoline equals 5.8 to 6.5. How Much Does A Gallon Of E85 Weigh.
From fyoxouusm.blob.core.windows.net
How Much Does A Gallon Of Ethanol Free Gas Weigh at Joseph May blog How Much Does A Gallon Of E85 Weigh Use this e85 calculator to accurately determine the amount of e85 fuel and gasoline you need to achieve your desired ethanol blend. Calculate weight of ethanol per volume, it weighs 789.3 kg/m³ (49.27439 lb/ft³). Or it’s supposed to be anyway—just as gas quality. We spent $154.29 on ethanol for the trip. E85 is a mixture of 85% ethanol alcohol and. How Much Does A Gallon Of E85 Weigh.