Zener Diode Power Dissipation Calculation . P_z = i_z × v_z. Calculate zener diode parameters with our zener diode calculator. So obviously everyone knows how to calculate the power in a diode. Additional operating cases are tested in mass. Determine a suitable zener diode code based on the zener voltage and power. This zener diode calculator will compute the value of the required series resistor, and power dissipation of the diode in watts. By using this online zener diode power rating calculator, one can easily calculate the resistor value, power rating and resistor power rating based on the input values of source voltage,. = 0.15 a * 24 v. In this example, the zener diode should be rated for at least. P_d = i_z * v_z. Just the vf x current but, who do you figure out how much. Power dissipation would become quite high with p = vz * iz in case of a high breakdown voltage. P_z = 68.9 ma × 5.1 v = 351.39 mw. Calculate the maximum power dissipation (p_d): Determine current, voltage, and power dissipation for zener diode circuits.
from www.chegg.com
= 0.15 a * 24 v. Calculate the maximum power dissipation (p_d): Determine a suitable zener diode code based on the zener voltage and power. P_z = 68.9 ma × 5.1 v = 351.39 mw. Calculate the power dissipation in the zener diode (p_z): P_d = i_z * v_z. By using this online zener diode power rating calculator, one can easily calculate the resistor value, power rating and resistor power rating based on the input values of source voltage,. Calculate zener diode parameters with our zener diode calculator. In this example, the zener diode should be rated for at least. Just the vf x current but, who do you figure out how much.
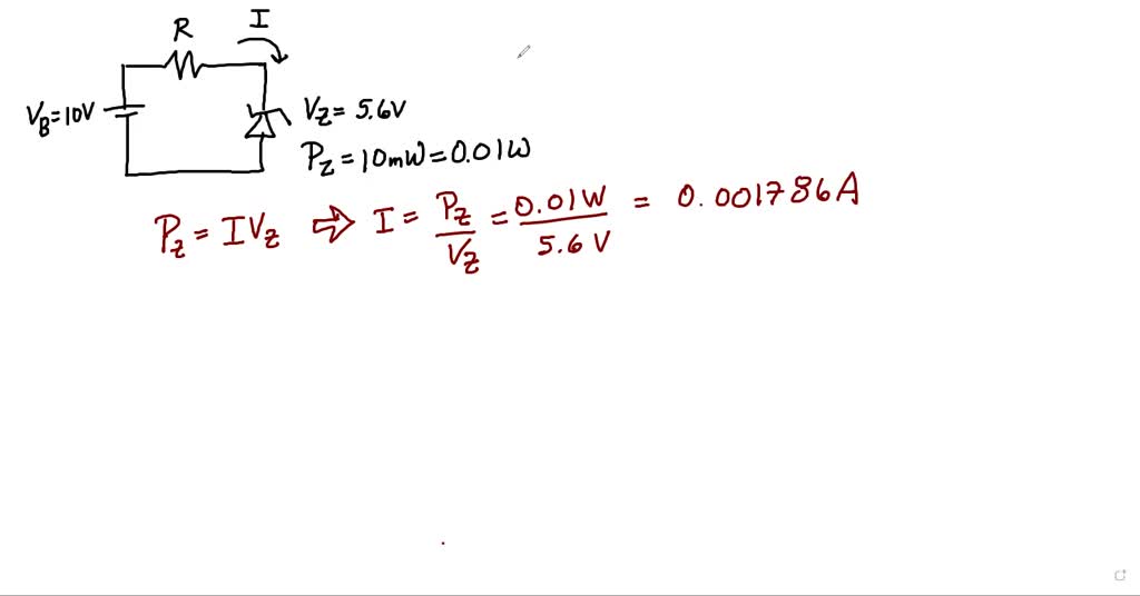
Solved For the Zener diode, maximum power dissipation given
Zener Diode Power Dissipation Calculation Additional operating cases are tested in mass. Calculate the maximum power dissipation (p_d): Just the vf x current but, who do you figure out how much. = 0.15 a * 24 v. Determine a suitable zener diode code based on the zener voltage and power. P_z = i_z × v_z. By using this online zener diode power rating calculator, one can easily calculate the resistor value, power rating and resistor power rating based on the input values of source voltage,. Power dissipation would become quite high with p = vz * iz in case of a high breakdown voltage. Calculate the power dissipation in the zener diode (p_z): Determine current, voltage, and power dissipation for zener diode circuits. Additional operating cases are tested in mass. Calculate zener diode parameters with our zener diode calculator. P_d = i_z * v_z. P_z = 68.9 ma × 5.1 v = 351.39 mw. In this example, the zener diode should be rated for at least. This article looks into the theory behind the algorithms, which.
From www.petervis.com
Zener Diode Calculator Theory Zener Diode Power Dissipation Calculation Determine a suitable zener diode code based on the zener voltage and power. P_z = i_z × v_z. Calculate the maximum power dissipation (p_d): P_d = i_z * v_z. P_z = 68.9 ma × 5.1 v = 351.39 mw. This zener diode calculator will compute the value of the required series resistor, and power dissipation of the diode in watts.. Zener Diode Power Dissipation Calculation.
From www.coursehero.com
[Solved] 3.80. What is power dissipation in the Zener diode in Fig. P3.80... Course Hero Zener Diode Power Dissipation Calculation Power dissipation would become quite high with p = vz * iz in case of a high breakdown voltage. Calculate the maximum power dissipation (p_d): Determine current, voltage, and power dissipation for zener diode circuits. By using this online zener diode power rating calculator, one can easily calculate the resistor value, power rating and resistor power rating based on the. Zener Diode Power Dissipation Calculation.
From www.chegg.com
Solved 13. Determine the power dissipated by the Zener diode Zener Diode Power Dissipation Calculation Calculate zener diode parameters with our zener diode calculator. Calculate the maximum power dissipation (p_d): Determine a suitable zener diode code based on the zener voltage and power. = 0.15 a * 24 v. P_z = 68.9 ma × 5.1 v = 351.39 mw. By using this online zener diode power rating calculator, one can easily calculate the resistor value,. Zener Diode Power Dissipation Calculation.
From eepower.com
Zener Diode Power Rating Calculation Power Electronics Calculators and Tools Zener Diode Power Dissipation Calculation P_d = i_z * v_z. So obviously everyone knows how to calculate the power in a diode. This zener diode calculator will compute the value of the required series resistor, and power dissipation of the diode in watts. P_z = i_z × v_z. Calculate the maximum power dissipation (p_d): Additional operating cases are tested in mass. Determine current, voltage, and. Zener Diode Power Dissipation Calculation.
From electricaltestmodules.blogspot.com
Electrical test modules Zener diode formula Zener Diode Power Dissipation Calculation Calculate the maximum power dissipation (p_d): Power dissipation would become quite high with p = vz * iz in case of a high breakdown voltage. In this example, the zener diode should be rated for at least. Calculate the power dissipation in the zener diode (p_z): This article looks into the theory behind the algorithms, which. Determine a suitable zener. Zener Diode Power Dissipation Calculation.
From www.chegg.com
Solved For the Zener diode, maximum power dissipation given Zener Diode Power Dissipation Calculation This article looks into the theory behind the algorithms, which. Just the vf x current but, who do you figure out how much. P_z = i_z × v_z. Power dissipation would become quite high with p = vz * iz in case of a high breakdown voltage. Calculate the maximum power dissipation (p_d): P_z = 68.9 ma × 5.1 v. Zener Diode Power Dissipation Calculation.
From www.numerade.com
SOLVED Q1 Consider the circuit shown below. The Zener diode voltage is Vz = 5 V. a) Determine Zener Diode Power Dissipation Calculation P_d = i_z * v_z. By using this online zener diode power rating calculator, one can easily calculate the resistor value, power rating and resistor power rating based on the input values of source voltage,. Determine current, voltage, and power dissipation for zener diode circuits. P_z = i_z × v_z. Power dissipation would become quite high with p = vz. Zener Diode Power Dissipation Calculation.
From www.chegg.com
2. Calculate the power dissipation of the zener diode Zener Diode Power Dissipation Calculation This article looks into the theory behind the algorithms, which. By using this online zener diode power rating calculator, one can easily calculate the resistor value, power rating and resistor power rating based on the input values of source voltage,. P_z = i_z × v_z. In this example, the zener diode should be rated for at least. Calculate the maximum. Zener Diode Power Dissipation Calculation.
From www.physicsforums.com
Power dissipation of 2 diodes (1 is a Zener diode) Zener Diode Power Dissipation Calculation = 0.15 a * 24 v. Just the vf x current but, who do you figure out how much. P_z = 68.9 ma × 5.1 v = 351.39 mw. So obviously everyone knows how to calculate the power in a diode. Calculate the maximum power dissipation (p_d): Determine a suitable zener diode code based on the zener voltage and power.. Zener Diode Power Dissipation Calculation.
From www.chegg.com
2. Calculate the power dissipation of the zener diode Zener Diode Power Dissipation Calculation Calculate the maximum power dissipation (p_d): Power dissipation would become quite high with p = vz * iz in case of a high breakdown voltage. So obviously everyone knows how to calculate the power in a diode. Additional operating cases are tested in mass. P_z = 68.9 ma × 5.1 v = 351.39 mw. = 0.15 a * 24 v.. Zener Diode Power Dissipation Calculation.
From www.youtube.com
Power Zener Diodes as Voltage Regulators Circuit Analysis & Efficiency YouTube Zener Diode Power Dissipation Calculation Just the vf x current but, who do you figure out how much. This article looks into the theory behind the algorithms, which. Calculate the maximum power dissipation (p_d): Determine a suitable zener diode code based on the zener voltage and power. P_z = i_z × v_z. Additional operating cases are tested in mass. = 0.15 a * 24 v.. Zener Diode Power Dissipation Calculation.
From www.vrogue.co
Zener Diode Power Rating Calculation Power Electronic vrogue.co Zener Diode Power Dissipation Calculation So obviously everyone knows how to calculate the power in a diode. Determine a suitable zener diode code based on the zener voltage and power. P_z = i_z × v_z. Determine current, voltage, and power dissipation for zener diode circuits. Additional operating cases are tested in mass. Power dissipation would become quite high with p = vz * iz in. Zener Diode Power Dissipation Calculation.
From www.chegg.com
Solved Calculate the power dissipated by the 5 V Zener Zener Diode Power Dissipation Calculation This zener diode calculator will compute the value of the required series resistor, and power dissipation of the diode in watts. Additional operating cases are tested in mass. P_z = 68.9 ma × 5.1 v = 351.39 mw. This article looks into the theory behind the algorithms, which. Power dissipation would become quite high with p = vz * iz. Zener Diode Power Dissipation Calculation.
From www.numerade.com
Transistor Calculate the transistor collector current and the power dissipation in the Zener Zener Diode Power Dissipation Calculation Just the vf x current but, who do you figure out how much. This article looks into the theory behind the algorithms, which. P_d = i_z * v_z. P_z = 68.9 ma × 5.1 v = 351.39 mw. So obviously everyone knows how to calculate the power in a diode. P_z = i_z × v_z. Determine current, voltage, and power. Zener Diode Power Dissipation Calculation.
From www.numerade.com
SOLVED 2 The circuit shown in fig.2 utilizes two Zener diodes. Assuming both diodes are ideal Zener Diode Power Dissipation Calculation P_d = i_z * v_z. So obviously everyone knows how to calculate the power in a diode. Calculate zener diode parameters with our zener diode calculator. This article looks into the theory behind the algorithms, which. Additional operating cases are tested in mass. Determine a suitable zener diode code based on the zener voltage and power. By using this online. Zener Diode Power Dissipation Calculation.
From www.numerade.com
SOLVED Consider the Zener diode shown below, where the Zener voltage is 24V. 1) Calculate the Zener Diode Power Dissipation Calculation Additional operating cases are tested in mass. This zener diode calculator will compute the value of the required series resistor, and power dissipation of the diode in watts. In this example, the zener diode should be rated for at least. By using this online zener diode power rating calculator, one can easily calculate the resistor value, power rating and resistor. Zener Diode Power Dissipation Calculation.
From www.youtube.com
GATE 2013 ECE Zener diode voltage regulator, minimum load resistance and power dissipation Zener Diode Power Dissipation Calculation = 0.15 a * 24 v. Power dissipation would become quite high with p = vz * iz in case of a high breakdown voltage. Additional operating cases are tested in mass. This zener diode calculator will compute the value of the required series resistor, and power dissipation of the diode in watts. Determine current, voltage, and power dissipation for. Zener Diode Power Dissipation Calculation.
From www.chegg.com
Solved 1. Calculate the zener diode current (Iz) for each Zener Diode Power Dissipation Calculation Calculate zener diode parameters with our zener diode calculator. Just the vf x current but, who do you figure out how much. Calculate the maximum power dissipation (p_d): P_z = i_z × v_z. = 0.15 a * 24 v. Determine a suitable zener diode code based on the zener voltage and power. So obviously everyone knows how to calculate the. Zener Diode Power Dissipation Calculation.
From www.chegg.com
Solved e maximum power dissipated in the Zener diode, Zener Diode Power Dissipation Calculation P_d = i_z * v_z. Calculate the power dissipation in the zener diode (p_z): Power dissipation would become quite high with p = vz * iz in case of a high breakdown voltage. P_z = 68.9 ma × 5.1 v = 351.39 mw. So obviously everyone knows how to calculate the power in a diode. This zener diode calculator will. Zener Diode Power Dissipation Calculation.
From www.electroniclinic.com
Zener Diodes Basic Operation and Equations Electronic Clinic Zener Diode Power Dissipation Calculation Determine current, voltage, and power dissipation for zener diode circuits. This article looks into the theory behind the algorithms, which. Determine a suitable zener diode code based on the zener voltage and power. Power dissipation would become quite high with p = vz * iz in case of a high breakdown voltage. So obviously everyone knows how to calculate the. Zener Diode Power Dissipation Calculation.
From www.chegg.com
Solved What is the power dissipation of the Zener diode in Zener Diode Power Dissipation Calculation Calculate the power dissipation in the zener diode (p_z): Calculate zener diode parameters with our zener diode calculator. P_z = 68.9 ma × 5.1 v = 351.39 mw. This zener diode calculator will compute the value of the required series resistor, and power dissipation of the diode in watts. So obviously everyone knows how to calculate the power in a. Zener Diode Power Dissipation Calculation.
From www.numerade.com
SOLVED Consider the circuit shown in figure. Determine the value of resistance R required to Zener Diode Power Dissipation Calculation This article looks into the theory behind the algorithms, which. Calculate the maximum power dissipation (p_d): By using this online zener diode power rating calculator, one can easily calculate the resistor value, power rating and resistor power rating based on the input values of source voltage,. So obviously everyone knows how to calculate the power in a diode. Determine a. Zener Diode Power Dissipation Calculation.
From www.toppr.com
From the Zener diode circuit shown in figure, the current through the Zener diode is Zener Diode Power Dissipation Calculation Power dissipation would become quite high with p = vz * iz in case of a high breakdown voltage. Determine current, voltage, and power dissipation for zener diode circuits. So obviously everyone knows how to calculate the power in a diode. Just the vf x current but, who do you figure out how much. In this example, the zener diode. Zener Diode Power Dissipation Calculation.
From electrical-information.com
[Zener Diode] What is Power Dissipation Pd? Electrical Information Zener Diode Power Dissipation Calculation Determine a suitable zener diode code based on the zener voltage and power. Calculate the maximum power dissipation (p_d): Determine current, voltage, and power dissipation for zener diode circuits. P_d = i_z * v_z. Additional operating cases are tested in mass. = 0.15 a * 24 v. This zener diode calculator will compute the value of the required series resistor,. Zener Diode Power Dissipation Calculation.
From www.numerade.com
SOLVED The circuit in Figure 9 is a basic Zener dioderegulated, fullwave rectified, DC power Zener Diode Power Dissipation Calculation Just the vf x current but, who do you figure out how much. So obviously everyone knows how to calculate the power in a diode. By using this online zener diode power rating calculator, one can easily calculate the resistor value, power rating and resistor power rating based on the input values of source voltage,. Calculate zener diode parameters with. Zener Diode Power Dissipation Calculation.
From www.chegg.com
Solved Calculate the power dissipated by the 5volt zener Zener Diode Power Dissipation Calculation So obviously everyone knows how to calculate the power in a diode. In this example, the zener diode should be rated for at least. Power dissipation would become quite high with p = vz * iz in case of a high breakdown voltage. Additional operating cases are tested in mass. By using this online zener diode power rating calculator, one. Zener Diode Power Dissipation Calculation.
From www.youtube.com
Gate 2006 OpAmp, Zener Diode, and BJT Mix Problem for the Power Dissipation Calculation in BJT Zener Diode Power Dissipation Calculation By using this online zener diode power rating calculator, one can easily calculate the resistor value, power rating and resistor power rating based on the input values of source voltage,. So obviously everyone knows how to calculate the power in a diode. Calculate the power dissipation in the zener diode (p_z): Power dissipation would become quite high with p =. Zener Diode Power Dissipation Calculation.
From byjus.com
In a zener regulated power supply a zener diode with Vz=6V is used for regulation. The load Zener Diode Power Dissipation Calculation P_z = 68.9 ma × 5.1 v = 351.39 mw. So obviously everyone knows how to calculate the power in a diode. = 0.15 a * 24 v. Power dissipation would become quite high with p = vz * iz in case of a high breakdown voltage. Determine a suitable zener diode code based on the zener voltage and power.. Zener Diode Power Dissipation Calculation.
From www.youtube.com
Zener Diode Calculations YouTube Zener Diode Power Dissipation Calculation Additional operating cases are tested in mass. Calculate the power dissipation in the zener diode (p_z): Determine current, voltage, and power dissipation for zener diode circuits. Power dissipation would become quite high with p = vz * iz in case of a high breakdown voltage. Calculate the maximum power dissipation (p_d): In this example, the zener diode should be rated. Zener Diode Power Dissipation Calculation.
From byjus.com
An experiment is performed to determine V I characteristic of a zener diode, which has a Zener Diode Power Dissipation Calculation Determine a suitable zener diode code based on the zener voltage and power. = 0.15 a * 24 v. Determine current, voltage, and power dissipation for zener diode circuits. P_z = 68.9 ma × 5.1 v = 351.39 mw. P_d = i_z * v_z. Calculate the maximum power dissipation (p_d): In this example, the zener diode should be rated for. Zener Diode Power Dissipation Calculation.
From www.chegg.com
Solved The power dissipated on the Zener diode in the Zener Diode Power Dissipation Calculation By using this online zener diode power rating calculator, one can easily calculate the resistor value, power rating and resistor power rating based on the input values of source voltage,. Calculate zener diode parameters with our zener diode calculator. = 0.15 a * 24 v. Determine current, voltage, and power dissipation for zener diode circuits. Determine a suitable zener diode. Zener Diode Power Dissipation Calculation.
From itecnotes.com
Electrical Zener Diode maximum current calculation based on max rated Power dissapation Zener Diode Power Dissipation Calculation So obviously everyone knows how to calculate the power in a diode. P_z = 68.9 ma × 5.1 v = 351.39 mw. Calculate zener diode parameters with our zener diode calculator. = 0.15 a * 24 v. In this example, the zener diode should be rated for at least. Calculate the maximum power dissipation (p_d): By using this online zener. Zener Diode Power Dissipation Calculation.
From electrical-information.com
[Zener Diode] What is Power Dissipation Pd? Electrical Information Zener Diode Power Dissipation Calculation P_d = i_z * v_z. P_z = 68.9 ma × 5.1 v = 351.39 mw. This article looks into the theory behind the algorithms, which. By using this online zener diode power rating calculator, one can easily calculate the resistor value, power rating and resistor power rating based on the input values of source voltage,. P_z = i_z × v_z.. Zener Diode Power Dissipation Calculation.
From www.toppr.com
An experiment is performed to determine the I−V characteristics of a Zener diode, which has a Zener Diode Power Dissipation Calculation Calculate the power dissipation in the zener diode (p_z): Additional operating cases are tested in mass. Determine current, voltage, and power dissipation for zener diode circuits. In this example, the zener diode should be rated for at least. Calculate the maximum power dissipation (p_d): So obviously everyone knows how to calculate the power in a diode. Calculate zener diode parameters. Zener Diode Power Dissipation Calculation.
From www.chegg.com
Solved 3.84. What is power dissipation in the Zener diode in Zener Diode Power Dissipation Calculation P_d = i_z * v_z. = 0.15 a * 24 v. So obviously everyone knows how to calculate the power in a diode. Determine a suitable zener diode code based on the zener voltage and power. This zener diode calculator will compute the value of the required series resistor, and power dissipation of the diode in watts. This article looks. Zener Diode Power Dissipation Calculation.