What Reacts With Lithium . Thus, lithium, which floats on water, is highly reactive with it and forms strong hydroxide solutions, yielding lithium hydroxide (lioh) and hydrogen gas. Lithium interacts with alcohols, forming alcoholates. Lithium, a highly reactive alkali metal, is renowned for its unique ability to ignite or even explode when it reacts with water. Lithium's density is only about half that of water, so it floats on the surface, fizzing and giving off hydrogen gas. Alkali metals are also known to react violently and explosively with water. This is because enough heat is given off during the. It also reacts with most acids, giving off hydrogen gas. When heated it reacts with sulfur, silicon, iodine and hydrogen, forming lithium. Lithium does not react with oxygen at. It reacts slowly with water at room temperature and more rapidly at higher temperatures. In this article, we will. Somewhat surprisingly it does not react with oxygen unless heated to 100 o c, but it will react with nitrogen from the atmosphere to form a red.
from www.sciencephoto.com
Somewhat surprisingly it does not react with oxygen unless heated to 100 o c, but it will react with nitrogen from the atmosphere to form a red. Thus, lithium, which floats on water, is highly reactive with it and forms strong hydroxide solutions, yielding lithium hydroxide (lioh) and hydrogen gas. Lithium's density is only about half that of water, so it floats on the surface, fizzing and giving off hydrogen gas. Alkali metals are also known to react violently and explosively with water. Lithium, a highly reactive alkali metal, is renowned for its unique ability to ignite or even explode when it reacts with water. It reacts slowly with water at room temperature and more rapidly at higher temperatures. It also reacts with most acids, giving off hydrogen gas. In this article, we will. This is because enough heat is given off during the. Lithium interacts with alcohols, forming alcoholates.
Lithium Reacts with Water Stock Image C039/1189 Science Photo Library
What Reacts With Lithium Thus, lithium, which floats on water, is highly reactive with it and forms strong hydroxide solutions, yielding lithium hydroxide (lioh) and hydrogen gas. This is because enough heat is given off during the. Alkali metals are also known to react violently and explosively with water. Lithium's density is only about half that of water, so it floats on the surface, fizzing and giving off hydrogen gas. Somewhat surprisingly it does not react with oxygen unless heated to 100 o c, but it will react with nitrogen from the atmosphere to form a red. It reacts slowly with water at room temperature and more rapidly at higher temperatures. Lithium, a highly reactive alkali metal, is renowned for its unique ability to ignite or even explode when it reacts with water. Lithium interacts with alcohols, forming alcoholates. In this article, we will. It also reacts with most acids, giving off hydrogen gas. When heated it reacts with sulfur, silicon, iodine and hydrogen, forming lithium. Lithium does not react with oxygen at. Thus, lithium, which floats on water, is highly reactive with it and forms strong hydroxide solutions, yielding lithium hydroxide (lioh) and hydrogen gas.
From www.sciencephoto.com
Lithium reacts with water, 3 of 3 Stock Image C050/4727 Science What Reacts With Lithium Lithium interacts with alcohols, forming alcoholates. This is because enough heat is given off during the. Alkali metals are also known to react violently and explosively with water. Lithium does not react with oxygen at. Thus, lithium, which floats on water, is highly reactive with it and forms strong hydroxide solutions, yielding lithium hydroxide (lioh) and hydrogen gas. Somewhat surprisingly. What Reacts With Lithium.
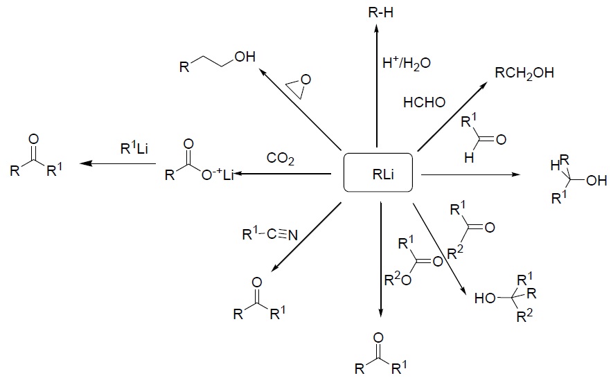
From www.chemistrysteps.com
The Mechanism of Grignard and Organolithium Reactions with Nitriles What Reacts With Lithium Lithium does not react with oxygen at. It reacts slowly with water at room temperature and more rapidly at higher temperatures. When heated it reacts with sulfur, silicon, iodine and hydrogen, forming lithium. This is because enough heat is given off during the. Alkali metals are also known to react violently and explosively with water. Lithium, a highly reactive alkali. What Reacts With Lithium.
From www.alamy.com
Lithium reacting with water. Lithium (Li) is a highly reactive metallic What Reacts With Lithium Lithium, a highly reactive alkali metal, is renowned for its unique ability to ignite or even explode when it reacts with water. Somewhat surprisingly it does not react with oxygen unless heated to 100 o c, but it will react with nitrogen from the atmosphere to form a red. Lithium's density is only about half that of water, so it. What Reacts With Lithium.
From www.youtube.com
Lithium in water reaction MVI 1334 YouTube What Reacts With Lithium Lithium does not react with oxygen at. Lithium's density is only about half that of water, so it floats on the surface, fizzing and giving off hydrogen gas. Somewhat surprisingly it does not react with oxygen unless heated to 100 o c, but it will react with nitrogen from the atmosphere to form a red. In this article, we will.. What Reacts With Lithium.
From www.electricity-magnetism.org
Lithiumion Battery How it works Reaction, Anode & Cathode What Reacts With Lithium Alkali metals are also known to react violently and explosively with water. When heated it reacts with sulfur, silicon, iodine and hydrogen, forming lithium. It reacts slowly with water at room temperature and more rapidly at higher temperatures. It also reacts with most acids, giving off hydrogen gas. Lithium does not react with oxygen at. This is because enough heat. What Reacts With Lithium.
From oneclass.com
OneClass Lithium nitride reacts with water to produce ammonia and What Reacts With Lithium Lithium interacts with alcohols, forming alcoholates. Thus, lithium, which floats on water, is highly reactive with it and forms strong hydroxide solutions, yielding lithium hydroxide (lioh) and hydrogen gas. When heated it reacts with sulfur, silicon, iodine and hydrogen, forming lithium. In this article, we will. It also reacts with most acids, giving off hydrogen gas. Somewhat surprisingly it does. What Reacts With Lithium.
From www.sciencephoto.com
Lithium reacts with water, 4 of 4 Stock Image C050/5015 Science What Reacts With Lithium It reacts slowly with water at room temperature and more rapidly at higher temperatures. When heated it reacts with sulfur, silicon, iodine and hydrogen, forming lithium. Lithium interacts with alcohols, forming alcoholates. Lithium's density is only about half that of water, so it floats on the surface, fizzing and giving off hydrogen gas. This is because enough heat is given. What Reacts With Lithium.
From www.sciencephoto.com
Lithium Reacts with Water Stock Image C039/1188 Science Photo Library What Reacts With Lithium It reacts slowly with water at room temperature and more rapidly at higher temperatures. Lithium, a highly reactive alkali metal, is renowned for its unique ability to ignite or even explode when it reacts with water. Lithium interacts with alcohols, forming alcoholates. It also reacts with most acids, giving off hydrogen gas. Thus, lithium, which floats on water, is highly. What Reacts With Lithium.
From www.youtube.com
Lithium reagiert mit Wasser lithium reacts with water YouTube What Reacts With Lithium Lithium does not react with oxygen at. Thus, lithium, which floats on water, is highly reactive with it and forms strong hydroxide solutions, yielding lithium hydroxide (lioh) and hydrogen gas. Alkali metals are also known to react violently and explosively with water. When heated it reacts with sulfur, silicon, iodine and hydrogen, forming lithium. Lithium interacts with alcohols, forming alcoholates.. What Reacts With Lithium.
From www.solvedlib.com
The reaction of lithium metal and water to form lithi… SolvedLib What Reacts With Lithium Lithium, a highly reactive alkali metal, is renowned for its unique ability to ignite or even explode when it reacts with water. Thus, lithium, which floats on water, is highly reactive with it and forms strong hydroxide solutions, yielding lithium hydroxide (lioh) and hydrogen gas. Somewhat surprisingly it does not react with oxygen unless heated to 100 o c, but. What Reacts With Lithium.
From www.sciencephoto.com
Lithium Reacts with Water Stock Image C039/1189 Science Photo Library What Reacts With Lithium When heated it reacts with sulfur, silicon, iodine and hydrogen, forming lithium. Lithium, a highly reactive alkali metal, is renowned for its unique ability to ignite or even explode when it reacts with water. Lithium interacts with alcohols, forming alcoholates. Lithium does not react with oxygen at. Somewhat surprisingly it does not react with oxygen unless heated to 100 o. What Reacts With Lithium.
From www.youtube.com
Li reacts directly with nitrogen to from lithium nitride. YouTube What Reacts With Lithium This is because enough heat is given off during the. Lithium's density is only about half that of water, so it floats on the surface, fizzing and giving off hydrogen gas. In this article, we will. It also reacts with most acids, giving off hydrogen gas. Thus, lithium, which floats on water, is highly reactive with it and forms strong. What Reacts With Lithium.
From www.youtube.com
Reaction of Lithium with Water and with Air YouTube What Reacts With Lithium Thus, lithium, which floats on water, is highly reactive with it and forms strong hydroxide solutions, yielding lithium hydroxide (lioh) and hydrogen gas. When heated it reacts with sulfur, silicon, iodine and hydrogen, forming lithium. Lithium interacts with alcohols, forming alcoholates. Lithium does not react with oxygen at. In this article, we will. This is because enough heat is given. What Reacts With Lithium.
From fphoto.photoshelter.com
science chemistry exothermic reaction lithium water Fundamental What Reacts With Lithium It reacts slowly with water at room temperature and more rapidly at higher temperatures. In this article, we will. Alkali metals are also known to react violently and explosively with water. It also reacts with most acids, giving off hydrogen gas. Thus, lithium, which floats on water, is highly reactive with it and forms strong hydroxide solutions, yielding lithium hydroxide. What Reacts With Lithium.
From www.sciencephoto.com
Lithium Reacts with Water, 2 of 4 Stock Image C039/1202 Science What Reacts With Lithium It also reacts with most acids, giving off hydrogen gas. Lithium interacts with alcohols, forming alcoholates. Lithium, a highly reactive alkali metal, is renowned for its unique ability to ignite or even explode when it reacts with water. Lithium does not react with oxygen at. When heated it reacts with sulfur, silicon, iodine and hydrogen, forming lithium. This is because. What Reacts With Lithium.
From www.sciencephoto.com
Lithium Reacts with Water Stock Image C039/1183 Science Photo Library What Reacts With Lithium It reacts slowly with water at room temperature and more rapidly at higher temperatures. When heated it reacts with sulfur, silicon, iodine and hydrogen, forming lithium. This is because enough heat is given off during the. In this article, we will. Lithium does not react with oxygen at. Alkali metals are also known to react violently and explosively with water.. What Reacts With Lithium.
From mammothmemory.net
Lithium reacting with water gives off hydrogen gas hydroxide What Reacts With Lithium It also reacts with most acids, giving off hydrogen gas. Lithium's density is only about half that of water, so it floats on the surface, fizzing and giving off hydrogen gas. It reacts slowly with water at room temperature and more rapidly at higher temperatures. This is because enough heat is given off during the. When heated it reacts with. What Reacts With Lithium.
From www.youtube.com
Electrochemical Reaction in Lithium Ion Battery YouTube What Reacts With Lithium Lithium's density is only about half that of water, so it floats on the surface, fizzing and giving off hydrogen gas. Lithium interacts with alcohols, forming alcoholates. It also reacts with most acids, giving off hydrogen gas. In this article, we will. Lithium, a highly reactive alkali metal, is renowned for its unique ability to ignite or even explode when. What Reacts With Lithium.
From www.chegg.com
Solved Lithium metal reacts with nitrogen gas to form What Reacts With Lithium Lithium, a highly reactive alkali metal, is renowned for its unique ability to ignite or even explode when it reacts with water. When heated it reacts with sulfur, silicon, iodine and hydrogen, forming lithium. Alkali metals are also known to react violently and explosively with water. Lithium does not react with oxygen at. Somewhat surprisingly it does not react with. What Reacts With Lithium.
From www.slideserve.com
PPT KS4 Chemistry PowerPoint Presentation, free download ID797217 What Reacts With Lithium In this article, we will. When heated it reacts with sulfur, silicon, iodine and hydrogen, forming lithium. Lithium's density is only about half that of water, so it floats on the surface, fizzing and giving off hydrogen gas. Thus, lithium, which floats on water, is highly reactive with it and forms strong hydroxide solutions, yielding lithium hydroxide (lioh) and hydrogen. What Reacts With Lithium.
From www.chemtube3d.com
Lithium enolates in aldol reactions What Reacts With Lithium This is because enough heat is given off during the. It reacts slowly with water at room temperature and more rapidly at higher temperatures. It also reacts with most acids, giving off hydrogen gas. Lithium, a highly reactive alkali metal, is renowned for its unique ability to ignite or even explode when it reacts with water. Lithium's density is only. What Reacts With Lithium.
From www.coursehero.com
[Solved] 20. Solid lithium reacts with gaseous nitrogen. Type of What Reacts With Lithium Lithium interacts with alcohols, forming alcoholates. In this article, we will. It reacts slowly with water at room temperature and more rapidly at higher temperatures. Lithium, a highly reactive alkali metal, is renowned for its unique ability to ignite or even explode when it reacts with water. Alkali metals are also known to react violently and explosively with water. Lithium's. What Reacts With Lithium.
From quizlet.com
Lithium nitride reacts with water to produce ammonia and lit Quizlet What Reacts With Lithium This is because enough heat is given off during the. Somewhat surprisingly it does not react with oxygen unless heated to 100 o c, but it will react with nitrogen from the atmosphere to form a red. It reacts slowly with water at room temperature and more rapidly at higher temperatures. It also reacts with most acids, giving off hydrogen. What Reacts With Lithium.
From www.youtube.com
Reaction of Lithium with Nitrogen YouTube What Reacts With Lithium When heated it reacts with sulfur, silicon, iodine and hydrogen, forming lithium. In this article, we will. It reacts slowly with water at room temperature and more rapidly at higher temperatures. Lithium, a highly reactive alkali metal, is renowned for its unique ability to ignite or even explode when it reacts with water. Alkali metals are also known to react. What Reacts With Lithium.
From www.youtube.com
Reaction of Oxygen with Lithium YouTube What Reacts With Lithium Alkali metals are also known to react violently and explosively with water. Thus, lithium, which floats on water, is highly reactive with it and forms strong hydroxide solutions, yielding lithium hydroxide (lioh) and hydrogen gas. It reacts slowly with water at room temperature and more rapidly at higher temperatures. When heated it reacts with sulfur, silicon, iodine and hydrogen, forming. What Reacts With Lithium.
From www.sciencephoto.com
Lithium reacts with water, 1 of 3 Stock Image C050/4742 Science What Reacts With Lithium Lithium, a highly reactive alkali metal, is renowned for its unique ability to ignite or even explode when it reacts with water. In this article, we will. When heated it reacts with sulfur, silicon, iodine and hydrogen, forming lithium. This is because enough heat is given off during the. It reacts slowly with water at room temperature and more rapidly. What Reacts With Lithium.
From www.masterorganicchemistry.com
organolithium formn What Reacts With Lithium Lithium interacts with alcohols, forming alcoholates. It also reacts with most acids, giving off hydrogen gas. Lithium does not react with oxygen at. Alkali metals are also known to react violently and explosively with water. Lithium's density is only about half that of water, so it floats on the surface, fizzing and giving off hydrogen gas. Lithium, a highly reactive. What Reacts With Lithium.
From www.sciencephoto.com
Lithium reacts with water, 1 of 3 Stock Image C050/4896 Science What Reacts With Lithium In this article, we will. Lithium, a highly reactive alkali metal, is renowned for its unique ability to ignite or even explode when it reacts with water. Alkali metals are also known to react violently and explosively with water. Lithium's density is only about half that of water, so it floats on the surface, fizzing and giving off hydrogen gas.. What Reacts With Lithium.
From www.sciencephoto.com
Lithium Reacting With Water Stock Image A500/0674 Science Photo What Reacts With Lithium This is because enough heat is given off during the. Thus, lithium, which floats on water, is highly reactive with it and forms strong hydroxide solutions, yielding lithium hydroxide (lioh) and hydrogen gas. Somewhat surprisingly it does not react with oxygen unless heated to 100 o c, but it will react with nitrogen from the atmosphere to form a red.. What Reacts With Lithium.
From periodictableguide.com
Lithium (Li) Periodic Table (Element Information & More) What Reacts With Lithium Lithium does not react with oxygen at. Lithium, a highly reactive alkali metal, is renowned for its unique ability to ignite or even explode when it reacts with water. Lithium's density is only about half that of water, so it floats on the surface, fizzing and giving off hydrogen gas. Thus, lithium, which floats on water, is highly reactive with. What Reacts With Lithium.
From www.youtube.com
Lithium metal reaction with water YouTube What Reacts With Lithium Lithium does not react with oxygen at. Lithium interacts with alcohols, forming alcoholates. Somewhat surprisingly it does not react with oxygen unless heated to 100 o c, but it will react with nitrogen from the atmosphere to form a red. Thus, lithium, which floats on water, is highly reactive with it and forms strong hydroxide solutions, yielding lithium hydroxide (lioh). What Reacts With Lithium.
From www.chemohollic.com
OrganoLithium Reagents All 'Bout Chemistry What Reacts With Lithium Lithium does not react with oxygen at. It reacts slowly with water at room temperature and more rapidly at higher temperatures. When heated it reacts with sulfur, silicon, iodine and hydrogen, forming lithium. Lithium's density is only about half that of water, so it floats on the surface, fizzing and giving off hydrogen gas. Thus, lithium, which floats on water,. What Reacts With Lithium.
From www.sciencephoto.com
Lithium reacts with water, 3 of 3 Stock Image C050/5018 Science What Reacts With Lithium Lithium does not react with oxygen at. When heated it reacts with sulfur, silicon, iodine and hydrogen, forming lithium. It also reacts with most acids, giving off hydrogen gas. Lithium's density is only about half that of water, so it floats on the surface, fizzing and giving off hydrogen gas. Lithium, a highly reactive alkali metal, is renowned for its. What Reacts With Lithium.
From www.numerade.com
When heated, lithium reacts with nitrogen to form… What Reacts With Lithium Lithium's density is only about half that of water, so it floats on the surface, fizzing and giving off hydrogen gas. Lithium, a highly reactive alkali metal, is renowned for its unique ability to ignite or even explode when it reacts with water. This is because enough heat is given off during the. Somewhat surprisingly it does not react with. What Reacts With Lithium.
From www.nagwa.com
Question Video Deducing the Name of the Compound Formed When Lithium What Reacts With Lithium Lithium does not react with oxygen at. Somewhat surprisingly it does not react with oxygen unless heated to 100 o c, but it will react with nitrogen from the atmosphere to form a red. It reacts slowly with water at room temperature and more rapidly at higher temperatures. When heated it reacts with sulfur, silicon, iodine and hydrogen, forming lithium.. What Reacts With Lithium.