Harmonic Oscillator Spring Constant . See examples of mass and spring, ball in a bowl,. Learn how to calculate the frequency of simple harmonic motion of a mass on a spring using the spring constant and the mass. Learn how the resonance frequency of a spring depends on the spring constant and the mass of the oscillating object. See examples, graphs, and simulations of simple harmonic. Learn how to model simple harmonic motion using physical principles and differential equations. List the characteristics of simple harmonic motion; Write the equations of motion for the system of a. Explain the concept of phase shift; If the spring obeys hooke's law (force is proportional to extension) then the device is called a simple harmonic oscillator (often abbreviated.
from studylib.net
See examples of mass and spring, ball in a bowl,. If the spring obeys hooke's law (force is proportional to extension) then the device is called a simple harmonic oscillator (often abbreviated. List the characteristics of simple harmonic motion; Learn how the resonance frequency of a spring depends on the spring constant and the mass of the oscillating object. Write the equations of motion for the system of a. Learn how to calculate the frequency of simple harmonic motion of a mass on a spring using the spring constant and the mass. See examples, graphs, and simulations of simple harmonic. Explain the concept of phase shift; Learn how to model simple harmonic motion using physical principles and differential equations.
Spring Simple Harmonic Oscillator Spring constant Potential Energy
Harmonic Oscillator Spring Constant See examples, graphs, and simulations of simple harmonic. Write the equations of motion for the system of a. Explain the concept of phase shift; See examples, graphs, and simulations of simple harmonic. Learn how to model simple harmonic motion using physical principles and differential equations. List the characteristics of simple harmonic motion; See examples of mass and spring, ball in a bowl,. Learn how to calculate the frequency of simple harmonic motion of a mass on a spring using the spring constant and the mass. Learn how the resonance frequency of a spring depends on the spring constant and the mass of the oscillating object. If the spring obeys hooke's law (force is proportional to extension) then the device is called a simple harmonic oscillator (often abbreviated.
From www.webassign.net
Lab 9 Simple Harmonic Motion Harmonic Oscillator Spring Constant Learn how to calculate the frequency of simple harmonic motion of a mass on a spring using the spring constant and the mass. List the characteristics of simple harmonic motion; Learn how to model simple harmonic motion using physical principles and differential equations. Explain the concept of phase shift; Write the equations of motion for the system of a. See. Harmonic Oscillator Spring Constant.
From www.thequizing.com
Two harmonic oscillators A and B, of mass (m) and spring constants kA Harmonic Oscillator Spring Constant Explain the concept of phase shift; See examples, graphs, and simulations of simple harmonic. Learn how to model simple harmonic motion using physical principles and differential equations. Learn how the resonance frequency of a spring depends on the spring constant and the mass of the oscillating object. List the characteristics of simple harmonic motion; Write the equations of motion for. Harmonic Oscillator Spring Constant.
From www.chegg.com
Solved A simple harmonic oscillator consists of a mass m Harmonic Oscillator Spring Constant Learn how to model simple harmonic motion using physical principles and differential equations. Learn how the resonance frequency of a spring depends on the spring constant and the mass of the oscillating object. Explain the concept of phase shift; List the characteristics of simple harmonic motion; See examples of mass and spring, ball in a bowl,. If the spring obeys. Harmonic Oscillator Spring Constant.
From slidetodoc.com
Lecture D 31 Linear Harmonic Oscillator SpringMass System Harmonic Oscillator Spring Constant See examples of mass and spring, ball in a bowl,. Explain the concept of phase shift; Learn how to calculate the frequency of simple harmonic motion of a mass on a spring using the spring constant and the mass. If the spring obeys hooke's law (force is proportional to extension) then the device is called a simple harmonic oscillator (often. Harmonic Oscillator Spring Constant.
From www.numerade.com
SOLVED For a simple harmonic oscillator, such as a mass connected to a Harmonic Oscillator Spring Constant Learn how the resonance frequency of a spring depends on the spring constant and the mass of the oscillating object. Learn how to calculate the frequency of simple harmonic motion of a mass on a spring using the spring constant and the mass. See examples, graphs, and simulations of simple harmonic. Explain the concept of phase shift; If the spring. Harmonic Oscillator Spring Constant.
From www.chegg.com
Solved 1. The motion of a simple harmonic oscillator with Harmonic Oscillator Spring Constant List the characteristics of simple harmonic motion; Write the equations of motion for the system of a. Learn how to calculate the frequency of simple harmonic motion of a mass on a spring using the spring constant and the mass. Learn how the resonance frequency of a spring depends on the spring constant and the mass of the oscillating object.. Harmonic Oscillator Spring Constant.
From www.chegg.com
Solved Quantum Harmonic Oscillator spring constant En = (n Harmonic Oscillator Spring Constant Learn how to model simple harmonic motion using physical principles and differential equations. Learn how the resonance frequency of a spring depends on the spring constant and the mass of the oscillating object. Explain the concept of phase shift; Learn how to calculate the frequency of simple harmonic motion of a mass on a spring using the spring constant and. Harmonic Oscillator Spring Constant.
From www.numerade.com
SOLVED20. Simple Harmonic Oscillator A simple harmonic oscillator Harmonic Oscillator Spring Constant See examples of mass and spring, ball in a bowl,. Learn how the resonance frequency of a spring depends on the spring constant and the mass of the oscillating object. If the spring obeys hooke's law (force is proportional to extension) then the device is called a simple harmonic oscillator (often abbreviated. Learn how to calculate the frequency of simple. Harmonic Oscillator Spring Constant.
From en.ppt-online.org
Oscillatory motion. Simple harmonic motion. The simple pendulum. Damped Harmonic Oscillator Spring Constant Learn how to model simple harmonic motion using physical principles and differential equations. List the characteristics of simple harmonic motion; Write the equations of motion for the system of a. Learn how the resonance frequency of a spring depends on the spring constant and the mass of the oscillating object. See examples, graphs, and simulations of simple harmonic. See examples. Harmonic Oscillator Spring Constant.
From www.researchgate.net
Amplitude and phase of driven harmonic oscillator with effect of rising Harmonic Oscillator Spring Constant See examples of mass and spring, ball in a bowl,. If the spring obeys hooke's law (force is proportional to extension) then the device is called a simple harmonic oscillator (often abbreviated. Learn how the resonance frequency of a spring depends on the spring constant and the mass of the oscillating object. Write the equations of motion for the system. Harmonic Oscillator Spring Constant.
From www.numerade.com
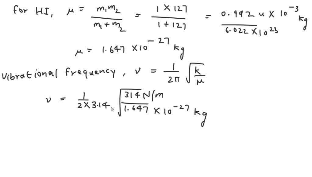
Pretend that the vibrations of the HI molecule can be approximated by Harmonic Oscillator Spring Constant List the characteristics of simple harmonic motion; See examples of mass and spring, ball in a bowl,. Write the equations of motion for the system of a. Learn how to model simple harmonic motion using physical principles and differential equations. See examples, graphs, and simulations of simple harmonic. Explain the concept of phase shift; Learn how to calculate the frequency. Harmonic Oscillator Spring Constant.
From demonstrations.wolfram.com
Mass on a Spring Simple Harmonic Oscillator Wolfram Demonstrations Harmonic Oscillator Spring Constant List the characteristics of simple harmonic motion; Write the equations of motion for the system of a. See examples, graphs, and simulations of simple harmonic. Learn how the resonance frequency of a spring depends on the spring constant and the mass of the oscillating object. See examples of mass and spring, ball in a bowl,. Explain the concept of phase. Harmonic Oscillator Spring Constant.
From www.numerade.com
SOLVEDConsider two identical oscillators, each with spring constant k Harmonic Oscillator Spring Constant See examples of mass and spring, ball in a bowl,. Learn how to model simple harmonic motion using physical principles and differential equations. Write the equations of motion for the system of a. If the spring obeys hooke's law (force is proportional to extension) then the device is called a simple harmonic oscillator (often abbreviated. See examples, graphs, and simulations. Harmonic Oscillator Spring Constant.
From www.numerade.com
SOLVEDA critically damped harmonic oscillator with mass m and spring Harmonic Oscillator Spring Constant Learn how the resonance frequency of a spring depends on the spring constant and the mass of the oscillating object. Learn how to model simple harmonic motion using physical principles and differential equations. See examples, graphs, and simulations of simple harmonic. Write the equations of motion for the system of a. See examples of mass and spring, ball in a. Harmonic Oscillator Spring Constant.
From pressbooks.bccampus.ca
Simple Harmonic Motion University Physics Volume 1 Harmonic Oscillator Spring Constant Learn how the resonance frequency of a spring depends on the spring constant and the mass of the oscillating object. Explain the concept of phase shift; See examples of mass and spring, ball in a bowl,. If the spring obeys hooke's law (force is proportional to extension) then the device is called a simple harmonic oscillator (often abbreviated. See examples,. Harmonic Oscillator Spring Constant.
From www.doubtnut.com
The variation of PEE of harmonic oscillator is as shown in figure. The Harmonic Oscillator Spring Constant Learn how the resonance frequency of a spring depends on the spring constant and the mass of the oscillating object. See examples, graphs, and simulations of simple harmonic. Learn how to model simple harmonic motion using physical principles and differential equations. See examples of mass and spring, ball in a bowl,. If the spring obeys hooke's law (force is proportional. Harmonic Oscillator Spring Constant.
From www.numerade.com
SOLVED If the spring constant of simple harmonic oscillator halved, bY Harmonic Oscillator Spring Constant Learn how to model simple harmonic motion using physical principles and differential equations. If the spring obeys hooke's law (force is proportional to extension) then the device is called a simple harmonic oscillator (often abbreviated. Learn how to calculate the frequency of simple harmonic motion of a mass on a spring using the spring constant and the mass. See examples,. Harmonic Oscillator Spring Constant.
From www.numerade.com
SOLVED QUESTION 2 simple harmonic oscillator has a frequency of 3 Harmonic Oscillator Spring Constant See examples, graphs, and simulations of simple harmonic. See examples of mass and spring, ball in a bowl,. Write the equations of motion for the system of a. If the spring obeys hooke's law (force is proportional to extension) then the device is called a simple harmonic oscillator (often abbreviated. Learn how to model simple harmonic motion using physical principles. Harmonic Oscillator Spring Constant.
From www.numerade.com
SOLVED A simple harmonic oscillator has a mass of 1 kg, spring Harmonic Oscillator Spring Constant Learn how to model simple harmonic motion using physical principles and differential equations. List the characteristics of simple harmonic motion; See examples of mass and spring, ball in a bowl,. Learn how the resonance frequency of a spring depends on the spring constant and the mass of the oscillating object. Explain the concept of phase shift; Write the equations of. Harmonic Oscillator Spring Constant.
From courses.lumenlearning.com
Simple Harmonic Motion A Special Periodic Motion Physics Harmonic Oscillator Spring Constant Write the equations of motion for the system of a. See examples, graphs, and simulations of simple harmonic. Learn how to model simple harmonic motion using physical principles and differential equations. See examples of mass and spring, ball in a bowl,. If the spring obeys hooke's law (force is proportional to extension) then the device is called a simple harmonic. Harmonic Oscillator Spring Constant.
From www.numerade.com
SOLVEDThe variation of potential energy of harmonic oscillator is as Harmonic Oscillator Spring Constant See examples of mass and spring, ball in a bowl,. Learn how to calculate the frequency of simple harmonic motion of a mass on a spring using the spring constant and the mass. See examples, graphs, and simulations of simple harmonic. List the characteristics of simple harmonic motion; Learn how the resonance frequency of a spring depends on the spring. Harmonic Oscillator Spring Constant.
From www.slideserve.com
PPT Simple Harmonic Motion PowerPoint Presentation, free download Harmonic Oscillator Spring Constant Write the equations of motion for the system of a. Learn how to model simple harmonic motion using physical principles and differential equations. See examples of mass and spring, ball in a bowl,. Explain the concept of phase shift; List the characteristics of simple harmonic motion; If the spring obeys hooke's law (force is proportional to extension) then the device. Harmonic Oscillator Spring Constant.
From studylib.net
Spring Simple Harmonic Oscillator Spring constant Potential Energy Harmonic Oscillator Spring Constant See examples of mass and spring, ball in a bowl,. If the spring obeys hooke's law (force is proportional to extension) then the device is called a simple harmonic oscillator (often abbreviated. Learn how to calculate the frequency of simple harmonic motion of a mass on a spring using the spring constant and the mass. Write the equations of motion. Harmonic Oscillator Spring Constant.
From lineagetips.blogspot.com
How To Find Amplitude Of A Spring Mass System lineagetips Harmonic Oscillator Spring Constant Learn how to model simple harmonic motion using physical principles and differential equations. Learn how the resonance frequency of a spring depends on the spring constant and the mass of the oscillating object. Explain the concept of phase shift; List the characteristics of simple harmonic motion; See examples, graphs, and simulations of simple harmonic. Write the equations of motion for. Harmonic Oscillator Spring Constant.
From www.chegg.com
3. (25 points) A damped harmonic oscillator has a Harmonic Oscillator Spring Constant Learn how the resonance frequency of a spring depends on the spring constant and the mass of the oscillating object. Learn how to calculate the frequency of simple harmonic motion of a mass on a spring using the spring constant and the mass. See examples, graphs, and simulations of simple harmonic. If the spring obeys hooke's law (force is proportional. Harmonic Oscillator Spring Constant.
From www.chegg.com
Solved Problem 3 Consider a simple harmonic oscillator (mass Harmonic Oscillator Spring Constant Explain the concept of phase shift; See examples, graphs, and simulations of simple harmonic. See examples of mass and spring, ball in a bowl,. List the characteristics of simple harmonic motion; Learn how the resonance frequency of a spring depends on the spring constant and the mass of the oscillating object. Learn how to calculate the frequency of simple harmonic. Harmonic Oscillator Spring Constant.
From www.numerade.com
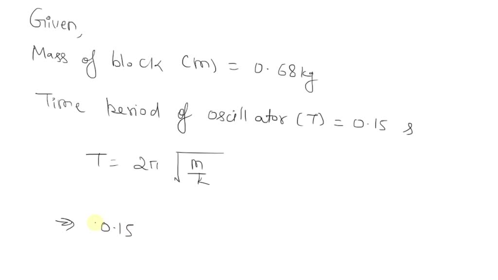
SOLVED A harmonic oscillator is made by using 0.680 kg frictionless Harmonic Oscillator Spring Constant Explain the concept of phase shift; Learn how to model simple harmonic motion using physical principles and differential equations. See examples, graphs, and simulations of simple harmonic. Write the equations of motion for the system of a. See examples of mass and spring, ball in a bowl,. List the characteristics of simple harmonic motion; Learn how to calculate the frequency. Harmonic Oscillator Spring Constant.
From www.numerade.com
SOLVED A simple harmonic oscillator is created by attaching two Harmonic Oscillator Spring Constant Learn how to calculate the frequency of simple harmonic motion of a mass on a spring using the spring constant and the mass. See examples of mass and spring, ball in a bowl,. Explain the concept of phase shift; List the characteristics of simple harmonic motion; Write the equations of motion for the system of a. Learn how to model. Harmonic Oscillator Spring Constant.
From www.youtube.com
Simple harmonic oscillator spring constant and frequency given mass Harmonic Oscillator Spring Constant Learn how to model simple harmonic motion using physical principles and differential equations. Write the equations of motion for the system of a. List the characteristics of simple harmonic motion; Learn how to calculate the frequency of simple harmonic motion of a mass on a spring using the spring constant and the mass. See examples, graphs, and simulations of simple. Harmonic Oscillator Spring Constant.
From courses.lumenlearning.com
Energy and the Simple Harmonic Oscillator Physics Harmonic Oscillator Spring Constant See examples, graphs, and simulations of simple harmonic. Learn how the resonance frequency of a spring depends on the spring constant and the mass of the oscillating object. Learn how to model simple harmonic motion using physical principles and differential equations. List the characteristics of simple harmonic motion; Explain the concept of phase shift; Learn how to calculate the frequency. Harmonic Oscillator Spring Constant.
From www.chegg.com
Solved A simple harmonic oscillator consists of a block of Harmonic Oscillator Spring Constant Learn how to model simple harmonic motion using physical principles and differential equations. See examples, graphs, and simulations of simple harmonic. See examples of mass and spring, ball in a bowl,. If the spring obeys hooke's law (force is proportional to extension) then the device is called a simple harmonic oscillator (often abbreviated. Write the equations of motion for the. Harmonic Oscillator Spring Constant.
From www.numerade.com
SOLVEDA simple harmonic oscillator with m=0.750 kg and total energy E Harmonic Oscillator Spring Constant See examples of mass and spring, ball in a bowl,. Write the equations of motion for the system of a. If the spring obeys hooke's law (force is proportional to extension) then the device is called a simple harmonic oscillator (often abbreviated. List the characteristics of simple harmonic motion; Explain the concept of phase shift; Learn how to model simple. Harmonic Oscillator Spring Constant.
From www.numerade.com
SOLVEDA simple harmonic oscillator has a spring with a spring constant Harmonic Oscillator Spring Constant See examples of mass and spring, ball in a bowl,. If the spring obeys hooke's law (force is proportional to extension) then the device is called a simple harmonic oscillator (often abbreviated. See examples, graphs, and simulations of simple harmonic. Explain the concept of phase shift; Learn how to calculate the frequency of simple harmonic motion of a mass on. Harmonic Oscillator Spring Constant.
From www.toppr.com
The variation of potential en energy of harmonic oscillator is as shown Harmonic Oscillator Spring Constant Learn how the resonance frequency of a spring depends on the spring constant and the mass of the oscillating object. List the characteristics of simple harmonic motion; Learn how to model simple harmonic motion using physical principles and differential equations. See examples, graphs, and simulations of simple harmonic. If the spring obeys hooke's law (force is proportional to extension) then. Harmonic Oscillator Spring Constant.
From www.chegg.com
Solved Quantum Harmonic Oscillator spring constant En = (n Harmonic Oscillator Spring Constant Learn how to calculate the frequency of simple harmonic motion of a mass on a spring using the spring constant and the mass. Write the equations of motion for the system of a. Learn how to model simple harmonic motion using physical principles and differential equations. See examples, graphs, and simulations of simple harmonic. If the spring obeys hooke's law. Harmonic Oscillator Spring Constant.